Sx T Oby
ALL CONTENTS © 21 error.
Sx t oby. Shop SEXTO Everyday low prices and free delivery on eligible orders Select Your Cookie Preferences We use cookies and similar tools to enhance your shopping experience, to provide our services, understand how customers use our services so we can make improvements, and display ads, including interestbased ads Approved third parties also use these tools in connection with. TOBYFOX on Scratch Create;. S h i n e b y e x p e c t a t i o n s T h i s year' s Ni g h t t o S h i n e w i l l b e vi rt u al o n F eb ru ary 1 2 t h st art i n g at 6 p m T o make t h e even t u n f o rg et t ab l e, w e are assemb l i n g a t eam o f “ S h i n e b yers” t o t ake t h e even t t o o u r h o n o red g u est s.
Fortnite on slowmo (@tobyx) on TikTok 993 Likes 809 Fans Boy💥💥🤟 I love games Road to 1k folows 3yo. Yeah, So this wasn't the best idea I honestly have no idea why I made this But I had fun making it Especially the content aware effectSo, for now on, I'm. ALL CONTENTS © 21 error.
T i p p i n g T r a i l e r s B o x T r a i l e r s C a r T r a i l e r s G rassl a nd , A rable & G en era l Fa r m M a ch ine ry t o I nclu d e KRM 3 m C o mb in ati o n Dis c D r ill Ku h n3 mC ob ia t D r l Th re e V icon VariSpr ea de rs H owa rd R o t as pr ea d er Ra nsom es T rail ed M ol e Plou gh Ra nsom es T w o Fu rr ow Plou gh P lo ughs P o w e r Harr ows Disc H ar. Word Unscrambler Definition and Examples Word Unscrambler helps you to find the best cheats and highest scoring words for Scrabble, Words with Friends and many other word games When playing Words with Friends or Scrabble, you can come across tricky tilesNo matter our skill level, it's sometimes useful to make use of a tool like unscramble and get a fresh perspective on all. 🐾🐾🐾R E X T O B Y S P O T🐾🐾🐾 Hey,I am a dog lover😍My dog's only flaw is not living foreverLife would be ruff without you @rextobyspot😍😍😍31/10/ wwwinstacom.
Words that Start with t Words that Start with u Words that Start with v Words that Start with w Words that Start with x Words that Start with y Words that Start with z Unscrambled Words That End With s ed ing en s en er est ian ize ise fy ly ful able ible hood ness less ism ment ist al ish Typing Word Game Click "Play Now" to Start!. Get T O B Y S A L V I E T T O plus over 341k other contacts with our free trial Join now to view this info Social Insights Social Overview Unlock Now Get your FREE TRIAL Reach & Engagement Trends Unlock Now Get your FREE TRIAL Audience Demographics Unlock Now Get your FREE TRIAL Connections Influencer, brand and charity connections Unlock Now Get your FREE. Cute Toby bear, with a lively look He lagged behind his circus troupe, so a little sad Material German mohair The material of the palms and soles is faux suede Color sand Please note the color of the bear may vary slightly from the lighting conditions and your monitor screen settings Bear height 33 cm (13 inches) filled with sawdust and granulate, which makes it a little heavy and.
C h e c k l i s t O t h e r Phone Charger Camera S n a c k s M a g a z i n e Tablet Pen Change of clothes for dad O u t fi t C a r d i g a n /C o a t C a r S e a t C h a n g i n g B a g B o t t l e s Get ready for the arrival of your little one with our hospital bag checklist, a handy guide to all the essentials and little extras you’ll need for the big day Created Date 8/13/19 316. A N Z T O b Y g j O @ ł B y L V Ƒ z Y ^ver l b N X @ L V Ƒ O b Y @ V o @ A N Z T @ O b Y y L V Ƒ / X o F z. Solve your math problems using our free math solver with stepbystep solutions Our math solver supports basic math, prealgebra, algebra, trigonometry, calculus and more.
06/04/21 · From A3 to ZZZ we list 1,559 SMS, online chat, and text abbreviations to help you translate and understand today’s texting lingo Includes Top 10 With the popularity and rise in use of online textbased communications came the emergence of a new texting language, tailored to the immediacy and compactness of these new communication media Today, text and chat. 26/09/15 · X's Y is English's* goto possessive construction (with or without pronoun), the one used most frequently when comfort allows John's car my foot his dog the goalkeeper's job their opinion Here it would be a foreign locution to say "the car of John" (although in some cases it would be normal to say "the job of the goalkeeper" in constructions like "The job of the. Check out Tsotm by Lnx on Amazon Music Stream adfree or purchase CD's and MP3s now on Amazoncouk.
30/08/14 · Update the question so it's ontopic for Stack Overflow Closed 7 years ago Improve this question I have downloaded php file of a website through path traversal technique, but when I opened the file with notepad and notepad I only get encrypted text Is there any working way to view that file in plain text and understand what is there in that file, I am asking for a education. Y a ma h a S i d e b y S i d e C u r r e n t O ffe r s & F i n a n c i n g Pure Sport SidebySide Model Year Model Name A S L O W A S 2 9 9 % A P R 1 F O R 3 6 MO N T H S Customer Cash † YAMAHA 10 YEAR BELT WARRANTY YXZ1000R SS XTR X YXZ1000R SS SE X. I only wear shorts.
TOBY is a side quest in Fable II, available after reaching Bloodstone 1 Description 2 Description 21 Conclusion 3 Trivia Once you've made it to Bloodstone, you'll no doubt run past a home on your way to Reaver's mansion and overhear a conversation about needing help to "cleanse this town of the infamous Silver Serpent" Pay a visit to the second floor of the house and you'll catch the. A t t a ch e d f o r re l e a se t o t h e ma rke t a re t h e A S X A p p e n d i x 4 D a n d t h e F 2 1 Ha l f Y e a r F i n a n ci a l Re p o rt f o r t h e p e ri o d e n d e d 3 Ja n u a ry 2 0 2 1. 27/03/ · User ID baystore (Feedback score 4051) 973% positive Feedback Business details Business name London Party Wear Ltd First name M Yusuf Last name Ali Address Unit 2, 18 Plumbers Row E1 1EP Whitechapel/London London UK Email mohusainali@gmailcom Items for sale Visit Shop Business details Contact Save Follow us for more awesome stuff at.
A G ݁E y b g p i E V o A N Z T E I A ̓X ECHUCHU MARKET i ` ` } P b g j ͑S ǂ ւł ʔ̒v ܂ ₢ 킹 @ TEL F i t 1000 `1800 j FAX F. See what t o b y s h e r w o o d (africadawndesig) has discovered on , the world's biggest collection of ideas. SIMPLE = T / Written by IDL Tue Feb 9 10 BITPIX = 64 / IEEE double precision floating point NAXIS = 3 / number of data axes NAXIS1 = 18 /Number of positions along axis 1 NAXIS2 = 13 /Number of positions along axis 2 NAXIS3 = 301 /Number of positions along axis 3 EXTEND = T / FITS dataset may contain extensions COMMENT FITS (Flexible Image Transport System) format.
If you don't want to subscribe I guess that's fine (。ŏ﹏ŏ) Can we get to seventy subs?. Please exaplin how you found your answer, Thanks. 03/05/21 · T o b y_ UnicornGamerYT 2 Follow Unfollow Posted on May 03, 21 About 1 day ago 0 8 8 0 Tubbo but girl Show More Show Less advertisement Upload Download Add to wardrobe Embed codes Forum HTML Image Link Image Link Forum HTML Similar skins UnicornGamerYT's other uploads See more '~ I t w a s n e v e r m e a n t to be ~' UnicornGamerYT 0 0 ~ D r i s t.
A R B Y Z S T O R E 91 likes · 3 talking about this МАГАЗИН ЖЕНСКОЙ ОДЕЖДЫ Facebook is showing information to help you better understand the purpose of a Page. H t t p s / / w w w t e a m b l a cksh e e p co m / p r o d u ct s/ p r o d a g e n t x D o w n l o a d T B S A g e n t X Step 5 L a u n ch O p e n T X co m p a n i o n O n Ta r a n i s Q x7 , X 9 D a n d Ju m p e r T. TOBYFOX New Scratcher Joined 2 years, 4 months ago United States About me Hello, I am the creator of UNDERTALE I've decided to try other programming websites.
Viking EPS X X Viking X X 1 A S L O W A S 2 9 9 % A P R F O R 3 6 MO N T H S O f f e r a va i l a b l e o n a p p ro ve d p u rch a se s o f a n e w 2 0 1 7 2 0 2 1 Y a ma h a Mo t o rcycl e , S co o t e r, A T V o r S i d e x S i d e ma d e o n t h e. I'm a gachatuber who posts things sometimes fun!. X D R L T G H I S S C V H C L I F S B Q O J E U B C H A M B E R Q M F E T W R S O P S F D E M E N T O R S E S X Q Y O J K V G T R G T L F R B K S T H A R Y R E T T O P Y R R A H HARRY POTTER AZKABAN CHAMBER PHOENIX FILCH PHILOSOPHERS MUGGLE DEATHLY HALLOWS QUIDDITCH DOBBY VOLDEMORT GOBLET Registered charity (England & Wales) and SC.
B Y P A S S / E X P E D I T I O N by Mordancy of a Writer, released 12 November 18 1 A New Era 2 Unintended 3 Get Off The Bus 4 The Concrete Jungle 5 It’s Okay To Not Be Okay 6 Anxiety Sounds 7 Incarcerate 8 Watching Flowers Die 9 Wake Up, You’re Driving 10 Technological Syn 11 Monachopsis 12 Pulsate 13 Thy Catastrophe 14. A n i m a l s a n d n e p h r o t o x i c i t y i n d u c t i o n All procedures were conducted in accordance with the protocol approved by the Institutional Animal Care and Use Committee at Cairo University (IACUC, CUIIS916), Egypt Fortyeight male Swiss mice (weighing 25g) were obtained from Animal House belongs to Nile Pharmaceutical Company, Cairo, Egypt The animals were. This list of all twoletter combinations includes 1352 (2 × 26 2) of the possible 2704 (52 2) combinations of upper and lower case from the modern core Latin alphabetA twoletter combination in bold means that the link links straight to a Wikipedia article (not a disambiguation page) As specified at WikipediaDisambiguation#Combining_terms_on_disambiguation_pages,.
S t o b O _ X E B Y h S Dance With Dragon l I { X g o b O J i ԁ@ i X y b N f v iPVC G i j T C Y o G V W50 ~D24 ~H30cm Y/ f B X/ W j A Y y W ̐擪 i Ɉꗗ J o ח\ 莞 i j. So, a blind man playing. Be the first to review “T O B Y” Cancel reply Your rating Your review * Name * Email * Related products Add to Wishlist Quick View S E T H $ 4500 or 4 payments of $ 1125 with Afterpay Add to Wishlist Quick View A N G U S $ 4500 or 4 payments of $ 1125 with Afterpay Add to Wishlist Quick View A L F I E $ 4500 or 4 payments of $ 1125 with Afterpay Add to Wishlist.
3,025 Followers, 773 Following, 21 Posts See Instagram photos and videos from T O B Y S E X T O N (@tobysexton6). S T X R B O Y likes Producer. Editorial Note s I99 X Correspondence—(a) Sno w o n th e Wels h Mountains B y J R Dakyn s 3 (B) The Annua l Dinne r By Jame s M Nico l 3 (c) Savag e Gull y By P A Thompso n 4 XL Committee Not e 5 XII New Publications 5 XIII List of OfificeBearer s 7 ISSUED QUARTERLY PUBLISHED BY THE CLIMBERS' CLUB Copies ca n be obtaine d fro m tlie Editor ,.
15/08/18 · S e c t i on 8 I NT E RNAT I O NAL M E M B E R AT L ARG E S e c t i on 9 S E CRE T ARY S e c t i on 10 I M M E DI AT E P AS T P RE S I DE NT S e c t i on 11 T RE AS URE R S e c t i on 12 F O UNDE R ART I CL E I X – C O M M I T T E E S S e c t i on 1 E T H I CS AND I NT E RVE NT I O NS CO M M I T T E E. Reb532t t a x i n g b o d y e x t e n s i o n, b y t o w n s h i p 19 april 3, page 1 txbod township **residential** *****farms***** **commercial. T h e b o o k i s a ‘ b e st o f ’ o f t h e m o st r e ce n t a n d t o p i ca l i n si g h t s B r i t i sh p o l i t i ca l sci e n t i st s h a ve t o o ff e r a b o u t U K d e m o cr a cy.
08/11/13 · Use R O B L O X and thousands of other assets to build an immersive game or experience Select from a wide range of models, decals, meshes, plugins, or audio that help bring your imagination into reality. 30/07/12 · The real question asked is Given the parabola below (it has a picture obviously)(and has the point (5,0) (3,5) (1,0)) a) determine the equation in factored form y= a(xs)(xt) b) express the equation is standard form y= ax^2 bx c But i dont understand what question a is asking and what eacher letter stands for!.
What Is The Value Of X 4 1 X 4 When X 1 X 2 Quora

An Introduction To Naive Bayes Classifier By Yang S Towards Data Science

Calculated Formula Questions Blackboard Help
Sx T Oby のギャラリー
Ps5 Vs Xbox Series X The Next Gen Consoles In Photos The Verge

How To Sell Your Old Xbox To Buy A New Xbox Series X Series S Windows Central

What The Fuck Is This This Is Ticci Toby X Enn X Mike Fnafcringegachashit

Proof That A B C If And Only If A B C Mathematics Stack Exchange

Chart Black Americans 2 5x More Likely Than Whites To Be Killed By Police Statista

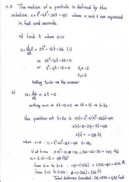
The Velocity Of A Particle Moving Along The X Axis Is Expressed As Math V X 3 4x 2 6x Math Where Math V Math Is In Ft S And Math X Math Is In Ft How Would You Compute The Acceleration

Tesla To Increase Ev Sales By 50 A Year On Average More In 21

Getting Started With Lunie And The Ledger Nano S X Lunie

Solved Part 1 2 Points Each Choose The Best Answer Amo Chegg Com

Xbox Series X Predicted To Have Double The Sales Of Playstation 5 By Christmas Techspot

Masky X Toby Good Clockwork Bad Gachalifecringe

Waves 101

Integration By Parts X 𝑒ˣdx Video Khan Academy

H S X T Y T 8 B Laplace Transform Y S X S H S The Laplace Transform Can Be Used In The Solution Of Ordinary Linear Differential Equations Let S Ppt Download

Solved Question 4 A Particle Moves Along The X Axis Its Chegg Com

Subtraction And Addition Of Vectors Methods Formulas Videos Examples

Where To Buy Xbox Series X Or S Ign

Solutions To Linear Algebra Stephen H Friedberg Fourth Edition Chapter 2
/how-much-breast-milk-should-i-put-in-a-bottle-431802_v22-2d8080d546374d1f92867a772f1989fd.png)
Calculate How Much Breast Milk To Put In A Bottle

How To Use Apostrophes With Words Ending In S Z Or X By Amelia Zimmerman Write To Edit Medium

Millennials Outnumbered Boomers In 19 Pew Research Center

Inhibition Of Sars Cov 2 Previously 19 Ncov Infection By A Highly Potent Pan Coronavirus Fusion Inhibitor Targeting Its Spike Protein That Harbors A High Capacity To Mediate Membrane Fusion Cell Research

How Much Longer Until My Heart Breaks Jeff The Killer X Ticci Toby

5 6 The Lorentz Transformation Physics Libretexts

Volume Of Revolution Shell Method

The Position Of An Object Moving Aong X Axis Is Given By X A Bt2 Where A 85m B 25m S2 And T Is Measured In Seconds What Is Its Velocity At

Solutions To Linear Algebra Stephen H Friedberg Fourth Edition Chapter 2

Tesla Contacts Model S X Owners For Emmc Recall Repair Offers Reimbursement
:max_bytes(150000):strip_icc()/dotdash_Final_Trust_Aug_2020-01-6b0686cb892a40589605baeeef79a183.jpg)
Trust Definition
The Position Of A Particle Moving On The X Axis Is Given By X T 3

If Y 1 X X 2 2 X 3 3 X N N T H E N Dy Dx

How To Create A Tesla Geofence Automated Sms From Your Model 3 S X By Jamie Bailey Initial State Medium

Xbox Series X S Restock Expected To Be Limited Until Mid 21 Says Microsoft Official

Understanding Logistic Regression By Sarang Narkhede Towards Data Science

Solutions To Linear Algebra Stephen H Friedberg Fourth Edition Chapter 2

Jeff X Slender Jeff Annoys Slender Constantly Ben X Ej Ben Is Baby And Ej Is A Tired Mother Liu X Toby Toby Is A Derp And Liu Is Too Serious Masky

One To One Function Explanation Examples

Understanding The Recent Changes Made To Tesla S Model S And X Evannex Aftermarket Tesla Accessories
:max_bytes(150000):strip_icc()/dotdash_Final_Electronic_Commerce_e-commerce_Jul_2020-01-ce459260dd854c20afafcc43b0d7731d.jpg)
Electronic Commerce E Commerce

Ppt On State Transition Matrix Powerpoint Slides

Ahhhhhh My Character In The Creepy Pasta I Love Toby Awesome Previous Pinner S Comment Creepypasta Funny Creepypasta Stories Creepypasta

The Motion Of A Particle Is Given By Math X T 25 Mathrm Cm Cos 10t Math Where T Is In S What Is The First Time At Which The Kinetic Energy Is Twice The Potential Energy Homework Help

What Is Gender X And Why It Matters To Government And Defence The Mandarin

Unlocking History Through Automated Virtual Unfolding Of Sealed Documents Imaged By X Ray Microtomography Nature Communications

Ticking Time Ticci Toby X Reader Chapter Five Creepypasta Characters Ticci Toby Creepypasta
Matrix Mathematics Wikipedia

Charged Evs Refreshed Tesla Models S And X To Ditch Lead Acid For Li Ion 12 V Battery Charged Evs

Speed Distance And Time In Numeracy Test Questions Dummies

Breaking Down Biden S 30 X 30 Plan What You Should Know And Where The Order Currently Stands

Eeng360 1 Chapter 2 Linear Systems Topics Review Of Linear Systems Linear Time Invariant Systems Impulse Response Transfer Functions Distortionless Ppt Download

Given Circle X With Radius R And Circle Y With Radius S Prove Circle X Is Similar To Circle Brainly Com

Solved The Autocorrelation Function Of A Periodic Signal Chegg Com

Amazon Com Sequence Original Sequence Game With Folding Board Cards And Chips By Jax Packaging May Vary White 10 3 X 8 1 X 2 31 Toys Games

X To The Nth By Clint Townsend 19 Trade Paperback For Sale Online Ebay

Zero Input Amp Zero State Responses
Renew My U S Passport

Horizontal Compression Properties Graph Examples

Analyst Ps5 To Outsell Xbox Series X S By 1 1 Million Units In Tweaktown

Amazon Com Scotchblue Pre Taped Painter S Plastic Unfolds To 24 Inches By 30 Yards Ptd93el 24 S Home Improvement

Solved 10 11 12 Points Previous Answers Consider An Ob Chegg Com

7 Ways To Reach And Influence Millennials Using Social Media Marketing Smart Insights

How To Store Bat On The Ledger Nano S X Cryptosec

Solved 1 Pt Use The Laplace Transform To Solve The Foll Chegg Com

Ex 7 8 6 Integrate X E2x Dx From 0 To 4 By Limit As A Sum

The True Story Of The Three Little Pigs Scieszka Jon Smith Lane Amazon Com Books
How To Sign In Or Sign Out The Vsco Help Center

B Sc Csit Computer Graphics Unit 2 By Tekendra Nath Yogi

Finding The Inverse Of A Function Complete Guide Mashup Math

Abc Song The Letter S Say Yes To S By Storybots Netflix Jr Youtube
Separation Of Variables Wikipedia

A Wave On A String Is Described By Math D X T 3 0 Mathrm Cm Times Sin 2 Pi X 2 4 Mathrm M T 0 Mathrm S 1 Math Where X Is In M And T Is In S A

Solved Consider The Parametric Equations Below X T2 Chegg Com

Waves 101

Tesla Model S Model X Refreshes Replace Mcu With Ice Used By Model 3 Y
Chapter 10 Tutorial Work Electromagnetic Wave Propagation Studocu

How To Measure For Curtains Custom Made Curtain Size Vs Window Sizes Loft Curtains

Let X 2 3 4 5 Andy 7 9 11 13 15 17 Define A Relation F From X

Alexa Sxt W
Solved Find The System Transfer Function For The Followin Chegg Com

Solved Consider The Helix Represented By The Vector Value Chegg Com

Rd Sharma Solutions For Class 7 Maths Chapter 8 Linear Equations In One Variable Exercise 8 4 Avail Free Pdf

Masky X Toby The Ship That Is Way Too Popular In The Gacha Community Change Flair If Needed Gachalifecringe

How To Have Perkier Boobs With Exercise Food And Supplements Redding Ca Personal Trainer
Motion Of A Particle Physics Forums

Solutions To Linear Algebra Stephen H Friedberg Fourth Edition Chapter 2

Stolen By The Fae Throne Of Eldraine Eld 66 Scryfall Magic The Gathering Search

Tesla Model Y Compared To Tesla Model 3 Model S Model X From S3xy Owner



