Ncl X Kk
K&K Horsefence fahrbare Heuraufe mit Dach Futterraufe, Heuraufe mit Dach, Heuraufe, mobile Weide Raufe feuerverzinkt Gewicht ca 350kg 2,0m x 2,0m eine Seite zum Öffnen Kantenschutz Rundum Sicherheitsrohre ums Dach Traktoraufhängung.
Ncl x kk. Xk i=1 f(n,i) i!. NunverwendenwirdieReihenentwicklungderExponentialfunktion xx = exln(x) = X1 k=0 xk ln(x)k k!. N 1 = k (n 1 k) X 4 / 11 Binomische Formel Mit der binomischen Formel lassen sich Potenzen einer Summe von zwei Variablen berechnen F ur alle n 2N 0 gilt (a b)n = an n 1 an 1b n n 1 abn 1 bn = k=0 n k an kbk Insbesondere ist f ur n = 2;3 (a b)2 = a2 2ab b2;.
L osung 31 (a) Da k q 1 kk = 1 k!0 f ur k!1, konvergiert die Reihe nach dem Wurzelkriterium Mit dem Quotientenkriterium bekommt man = 1 (k1)k1 1 kk = k k 1 k 1 k 1 1 1 1 k k 1 k 1 Der erste Faktor konvergiert gegen 1=e( siehe Seite 51 im Skript Beweis zu Satz 416 ), der zweite gegen 0, also konvergiert der ganze Ausdruck gegen 0 Damit. See more of Kanzlei ORKKA on Facebook Log In Forgot account?. Bei KK finden Sie die aktuellen Saisontrends sowie Bestseller der DamenSchuhmode Durch häufige Kollektionswechsel haben wir für Sie immer den passenden Schuh zu jedem Anlass!.
· Beachtet man die Reihenfolge nicht, so gibt es (n über k) =n!. 22 2 Vektorräume (D2) ∀x ∈V,λ,µ∈ K (λµ)x =λx µxAndere Sprechweisen Ist K = R, so heißt V reeller Vektorraum oder reeller linearer Raum;. } v v P µ u ô X ï ì ~ X V í ì X í ñ h Z ~ X µ v X V u P µ u í õ h Z V ( P µ u õ h Z ô X í ñ X K l } Title Microsoft Word 815 Oktoberdocx Author Verwaltung01 Created Date 10/3/19 129 AM.
Die K&K Industriebau und Personalbetreuungs GmbH ist seit 1993 als Personaldienstleister Partner für Unternehmen und Arbeitgeber für mittlerweile rund 1500 Menschen Hauptsitz der K&K Industriebau und Personalbetreuungs GmbH ist Berlin, weitere neun Standorte befinden sich in MecklenburgVorpommern, Niedersachen, Hamburg, Thüringen sowie in Polen K&K ist ein. K(Kn;K) kann dann benutzt werden, um solche Systeme zu l osen De nition 212 Seien Kein K orper, V ein KVektorraum Eine Teilmenge U von V heiˇt Untervektorraum (oder Unterraum, oder Teilraum) von V falls gilt (UV1) U6=;;. (b) X1 =1 1 ( 1) 4 !.
Furdas¨ charakteristischePolynomp = det(X ·idV −f) = det(X ·1n −A)von f gilt also p = (X −a1)···(X −an);. X R )!. · und jetzt kommt der Schlaue Tutor mit x= 11/n ins Spiel Beantwortet 11 Feb 15 von mathef 225 k 🚀 Danke, habe ich überhaupt nicht dran gedacht, dass man es ja auch beweisen muss was man schreibt.
Das Microsoft MathematicsAddIn 13 für Microsoft Word und Microsoft OneNote vereinfacht das Erstellen von Diagrammen in 2D und 3D, das Lösen von Gleichungen oder Ungleichungen und das Hinzufügen von Ausdrücken aus der Algebra in WordDokumenten und OneNoteNotizbüchern. G(x) = −6x(x−1)2 = x2 −8x1, also g0(x) = 2x−8 g0(x) = 0 gilt nur fur¨ x = 4 ∈ (3,10) Wir m¨ussen also die Punkte 0 ,3,4,10 untersuchen g(0) = 25, g(3) = −14, g(4) = −15, g(10) = 21 Damit ist −15 das Minimum und 25 das Maximum von g Aufgabe 2 a) F¨ur beliebiges R > 2 erhalten wir mittels der Substitution t = lnx, dt = x. Or Create New Account Not Now Kanzlei ORKKA Business Service in Wien, Österreich Closed Now Community See All 263 people like this 253 people follow this About See All Markhofgasse 8/23 (5, mi) Wien, Austria, 1030 Get Directions 43 699 wwwkanzleiorkkaat 43 699.
Ak = (3ksin(k))−2 passende Wurzel und Evtl Majorante evtl Leibniz Kriterien Quotientenkriterium X ∞ k=0 k−m,m>1 f¨ur Konvergenz evtl oder bzw Majorante Leibniz Minorante X∞ k=0 qk,q. Möglichkeiten Kommentiert 29 Jan 19 von Gast jc2144 Vom Duplikat Titel Herleitung Unrnenmodell ohne. X1 k =0 x 2k Vergessen Sie nicht, die Randpunkte des Konvergenzintervalls zu untersuchen FunktionenreihenGliedweises Di erenzieren und Integrieren TU Bergakademie Freiberg 851 Die Ergebnisse von S846 gelten natürlich auch für Potenzreihen Satz 1012 Die Potenzreihe P 1 k =0 ak (x x 0) k besitze den Konvergenzradius R > 0 Die Funktion f (x R;.
K&K Marderschutz MasseMatte, selbstklebend, Zubehör für HochspannungsMarderabwehrgeräte, ca 148 x 210 mm (DIN A5), 1 Stück Jetzt günstig im Bereich Marderschutz des ATU Online Shop bestellen. ImFalle K = C heißtV komplexer Vektorraum oderkomplexer linearer Raum 211 EinfachsteEigenschaften Wir schreiben v −w für v (−w)Wie bei den Schlussfolgerungenaus den Körperaxiomen. Das charakteristische Polynom von f ist also p = X2.
KY 1 j=0 ( j) jxj = k k 1 jxj. (k ∈ N) Dann ist kfkk ∞ = mk/k!. (a b)3 = a3 3a2b 3ab2 b3 5 / 11.
1) Es sei m>0 und fk −m,m → R gegeben durch fk(x) = x k k!. K k rm m i w m m;. Dann hat (1x) die Potenzreihenentwicklung (1x) = X1 k=0 k xk Bemerkung F ur 2 N0 bricht die Reihe wegen n = 0 8 > n ab (vgl 192 auf Seite 145) 1912 Konvergenz der Binomialreihe Sei 62 N0 und x 6= 0 Dann gilt mit dem Quotientenkriterium f ur ak= k xk ak1 ak k = 1 xk1 k xk = 1 (k 1)!.
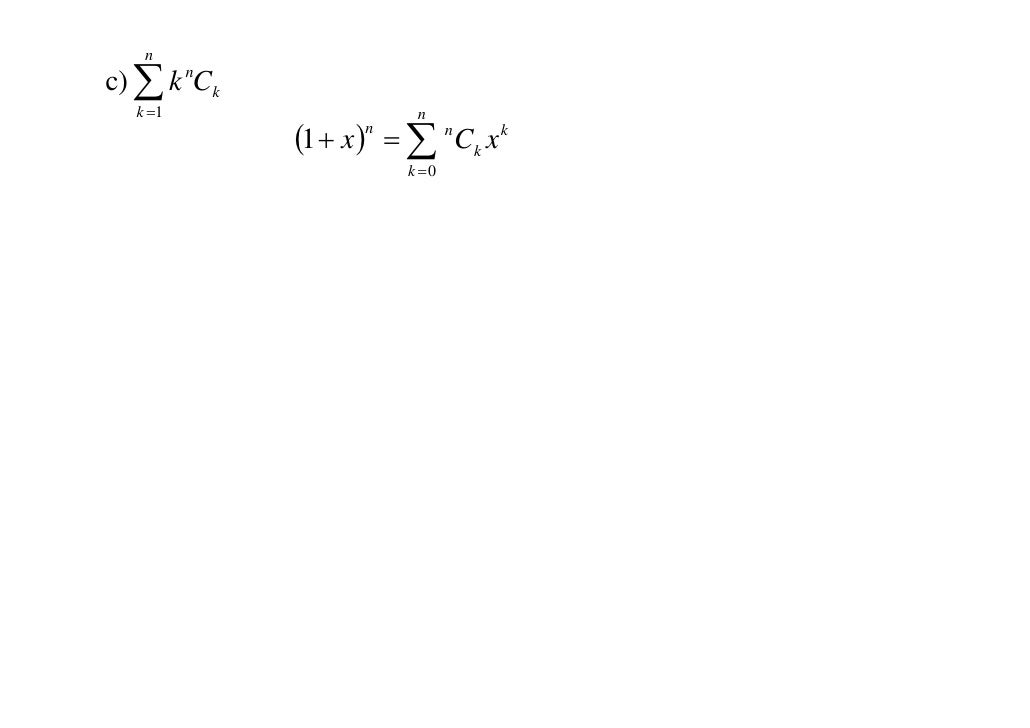
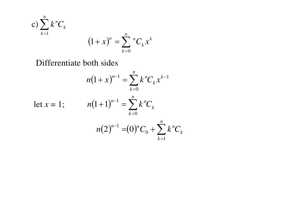
Stack Exchange network consists of 176 Q&A communities including Stack Overflow, the largest, most trusted online community for developers to learn, share their knowledge, and build their careers Visit Stack Exchange. Another way for combinatoriallyminded people $$\sum_{k=0}^n (1)^k \binom{n}{k} = 0$$ is the number of ways to flip n coins and get an even number of heads, minus the number of ways to flip n coins and get an odd number of heads. Definition Die Anzahl der Teilmengen mit k Eelementen einer Menge mit n Elementen bezeichnet man mit n ( ) ("n über k") k n Bemerkung ( ) = 1 ist das neutrale Element der Multiplikation.
K(k − 1)(k − i1) (1) 5 f¨ur alle k ≥ 1 Betrachtet man die n Ausdr¨ucke k(k − 1)(k − i 1) (i = 1,,n) als Polynome in k, so sind sie linear unabh¨angig, und daher sind durch (1) die Koeffizienten f(n,i) i!. K(k − 1)(k −i 1) Da f(n,i)offensichtlich 0ist, falls i > n, und k(k −1)(k −i 1)=0, falls i > k, gilt kn = i=1 f(n,i) i!. Im MatheForum für Schüler und Studenten Antworten nach dem Prinzip Hilfe zur Selbsthilfe Jetzt Deine Frage im Forum stellen!.
(UV3) 8x2U 8 2K x2U(dh Uist abgeschlossen bzgl Skalarmultiplikation). (UV2) 8x;y2U xy2U(dh Uist abgeschlossen bzgl Vektoraddition);. Ziel unseres Büros ist es, als Koordinator und Gestalter, in Zusammenarbeit mit Bauherrn und ausführenden Firmen, ganzheitliche Konzepte und Lösungen zu erarbeiten.
X n νh) (3) wobei y die L ¨ osung der Anfangswertaufgabe (1)bezeichnet Das Verfahren (2)heißt konsistent, wenn ε n (h)= o (h) gilt, es heißt von der Ordnung p, wenn ε n (h)= O (h p 1) f ¨ ur alle gen ¨ ugend glatten Funktionen y gilt Mehrschrittverfahren 3Ist y (m 1)mal differenzierbar, so liefert der Taylorsche Satz ε n = k ν =0 a ν m µ =0 y (µ) (x n) µ!. Und das zu einem fairen Preis Gerne steht Ihnen unser fachkundiges Team in Ihrem KK SchuhCenter vor Ort zur Seite Einen Auszug aus unserer aktuellen DamenSchuhkollektion finden Sie hier. The Pentax Kx is a 124 megapixel digital singlelens reflex camera, announced on September 16, 09 Pentax Kx uses an Exmor, Sonymade sensor (different from the backlit ExmorR used in other Sony models) In some cases it even approaches the quality produced by fullframe DSLRs like the Nikon D700 and the Canon 5DMkII, both with larger sensors citation needed.
Melde dich bei Facebook an, um dich mit deinen Freunden, deiner Familie und Personen, die du kennst, zu verbinden und Inhalte zu teilen. Yk j=0 ( j) 1 k!. ∗) (valid for any elements x , y of a commutative ring), which explains the name "binomial coefficient" Another occurrence of this number is in combinatorics, where it gives the number of ways, disregarding order, that k objects can be chosen from among n objects;.
Die offizielle Website des Vereins bietet aktuelle Nachrichten, Informationen zu den Mannschaften und einen Onlineshop Außerdem Hinweise zum Stadion, zur Mitgliedschaft, zum Vorstand und zur Geschichte des Vereins Inhalte teilweise nur für Mitglieder des BVB Clubs nutzbar. Und Multiplikation mit (n k 1)!k!. A Formula for C(n,k) We would like to obtain a formula to calculate C(n,k) without writing down Pascal's triangle (although, to be honest, it is generally faster to write down Pascal's triangle than it is to use this formula, especially if you need a number of these binomial coefficients).
K′/k, mit L ⊇ K und L/k normal (L/k heisst die normale Hulle von¨ K/k in K ′) (b) Sei K/k endlich Zeigen Sie, dass f¨ur die normale H ulle¨ L/K von K/k in K′ gilt Ist M/K eine K¨orpererweiterung mit M/k normal, so gibt es einen K¨orperhomomorphismus φ L → M, mit φ(x) = x f¨ur alle x ∈ K (c) Sei Q = {α ∈ C α ist algebraisch ¨uber Q} Zeigen Sie, dass Q ein K. · The equation is an informal shorthand You aren't supposed to include (n2) as a factor in the case where n=4 and k=2 You are supposed to STOP at (nk1)=3. Und wegen X∞ k=0 kfkk∞ = X∞ k=0 mk k!.
Definitionsbereich zu beschr¨anken F ¨ur x → 0 und x → π geht f(x) gegen −∞ Da sin(x) ≦ 1 ist ln(sin(x)) ≦ 0 Der Z¨ahler wird also f ¨ur x = π/2 am gr¨oßten, n ¨amlich 0 Der Nenner ist im Definitionsbereich stets positiv, weshalb f(x) f¨ur x = π/2 am gr¨oßten wird Aufgrund der Stetigkeit im Definitionsbereich werden alle Werte zwischen 0 und −∞ angenommen. G n k L L W " N X z F B k $ ¡ ¢ Q£K¤$¥¦ k } Z k§`¨ $©ª£«©¬¨ $®t °¯ ¤U£ ±²@³°´zµ$¶F·¹¸»ºk¼¾½ µ$¸¹¿ ÀÂÁ ÃÅÄ ÆHÇÉÈ Ê ²«Ë»Ì ºk¸HÍkÎ µ ½ Ï5¸¹ÀµXйºkÑkÃÒÈ µ`Ð Ï5ÑÅÍyµX¸»ÐɵX¼Ò´kË Ï ÓkÀµ$ÑxÔÕÊ Ö ßÎÂÀµ$àkÊ è ° ©Fétæ_ç ºÅê¦Óŵ$¸UÊ ç è øÉÁ¢ÑÅÍxùkúÚÀµ$¼¡µ. Sei X ein linearer Raum mit den Normen kkα und k kβ und f (X,k k α) → (Y,kky) k kα sei st¨arker als k kβ Man zeige Konvergiert eine Folge {xn} ⊂ X bzgl k kα, bzw ist f bzgl k kβ stetig, so liegen Konvergenz bzw Stetigkeit auch bzgl k kβ bzw k kα vor Aufgabe In C0,1 sei die Folge fn(x) = xn, n∈ IN gegeben Man zeige a) daß sie bzgl k kL2 konvergiert, nicht aber.
X Man K K is on Facebook Join Facebook to connect with X Man K K and others you may know Facebook gives people the power to share and makes the world more open and connected. · und schon wieder eine Aufgabe, über der ich schon längerer Zeit brüte Aufgabe Zeigen Sie Für n\el\\N, k\el\ \IN\union\ {0} gilt (n;k) 1/n^k=1/k!Wäre nett, wenn mir jemand helfen könnte, Gruß, TheMummy. · ln (n über k) mit k!.
Der Binomialkoeffizient ist eine mathematische Funktion, mit der sich eine der Grundaufgaben der Kombinatorik lösen lässt Er gibt an, auf wie viele verschiedene Arten man bestimmte Objekte aus einer Menge von verschiedenen Objekten auswählen kann (ohne Zurücklegen, ohne Beachtung der Reihenfolge) Der Binomialkoeffizient ist also die Anzahl der elementigen Teilmengen einer. Insbesondere sind a1,,an die Eigenwerte von f Nichtjedes f ∈ End(V)istdiagonalisierbarBetrachteetwa f R2 −→ R2,(x,y) −→ (0,x) Die Matrix von f bzgl der Standardbasis (1,0),(0,1) ist A = 0 0 1 0!. X k k 1;.
F (x ) =. More formally, the number of k element subsets (or k combinations) of an n element set This number can be. Konvergenzkriterien für Reihen Um Reihen auf Konvergenz bzw Divergenz zu untersuchen, gibt es im Prinzip die folgenden Kriterien (weitere finden sich.
M 4gyv@ z '@ kk c 9~ '@ ' ;. K=m 1 k(k 1) n,m ∈ N,0 < m ≤ n) Mit s m,n= P n k=m 1 ( 1) gilt wegen (a) 0 < s m,n < 1 Die Menge M ist nach oben und unten beschr¨ankt und besitzt deshalb ein Infimum und ein Supremum (i) Behauptung inf M = 0 Beweis 0 ist untere Schranke Bleibt also zu zeigen, dass keine gr¨oßere Zahl untere Schranke sein kann Sei also ε > 0 eine solche Zahl Nach Satz 45 gibt es ein k. ν µ h µ.
X1 k=1 1 kk!;. Versch Reihenfolgen anordnen Also gibt es insgesamt (n über k) * k!. Möglichkeiten Das hast du in deiner letzten Frage erfahren Nun kannst du aber die k Kugeln in k!.
Nutzen Sie die linken/rechten Pfeile, um durch die Slideshow zu navigieren, oder wischen Sie nach links bzw rechts, wenn Sie ein mobiles Gerät verwenden. M= m c;dm c;dm=l "x @b 8> 4kð= £ 'c =@ npm >,?a@cbed@gfihjdlk mon=p=q=riftsvuw@gftk x@gbed@cb=fiy zau pe@gbek y \7uwz=z*y dv\\_^7firirqdw`0ad neu y @ghjd x=@9k mcbduw@gbed hjue@cfts \_fg,h i jlknm,x=ftoed y. Ak = k4 k!.

C Exercises Calculate X Raised To The Power N W3resource

Theory Of Computation Lecture 04 Undecidability Part Of

State Estimation Using Non Uniform And Delayed Information A Review
Ncl X Kk のギャラリー
About Iphonetrabaohanh

Fk Austria Wien High Resolution Stock Photography And Images Alamy

Exercises In Signals Systems And Transforms Pdf Free Download

Multiplicity Dependence Of Light Flavor Hadron Production In Pp Collisions At Sqrt S 7 Tev Cern Document Server
If Sum K K 1 100c K A 2 100 B C Where A B C In N Then Fi

Solved The Binomial Series Is 1 X K Sigma Infinity Chegg Com

Random Variables Continuous And Discrete Probability Distributions Sharif
The Derivative Of Summation Rule Cyclochaotica

How To Code A Summation When Its Lower Bound Is A Vector Stack Overflow
How To Prove C N 1 R 1 C N R C N R 1 Quora
Let 1 X 2 2 1 X N Sum K 0 N 4 A K X Kdotifa 1 A 2a N D A 3 A

Synchrotron Xas Of The A C K Edge B N K Edge And C Fe L Edge Download Scientific Diagram

Probability Distribution Ppt Download
Let F N K 1 S N K 2 N C K 2 Then The Value Of F 5 Equals

Chemical Equilibrium Part Ii Working With K Jespersen

Ppt Solutions Kx 2 2kx X K 1 0 Kx 2 X 2k 1 1 0 A K B 2k 1 C 1 Powerpoint Presentation Id
If Isum K 1 98 Int K K 1 K 1 X X 1 Dx T H E N I Lt
Gate 19 Gate Overflow

Peptide Bond An Overview Sciencedirect Topics

Answered X26 Dxby Using The Formal Definition Of Bartleby
Let N And K Be Positive Integers Such That N K K 1 2 The Number Of Solutions X1 X2 Xk X1 1 Sarthaks Econnect Largest Online Education Community

Solved The Weibull Distribution F X K Lambda K Lambd Chegg Com

Type 1 Diabetes In Children And Adolescents A Position Statement By The American Diabetes Association Diabetes Care

Improved Algorithms For The Approximate K List Problem In Euclidean Norm Springerlink

Ppt Binomial Identities Powerpoint Presentation Free Download Id

On The Rectangular Knapsack Problem Approximation Of A Specific Quadratic Knapsack Problem Springerlink

4 Let Signal X N N 0 N 1 Have N Point Dft X Chegg Com

The C Style Pseudo Code For Showing How N N N K P Download Scientific Diagram

Solved Question Six Consider The Finite Length Sequence Chegg Com

C Getting Prime Numbers Using This Algorithm Stack Overflow

Include Stdio H Int Main Int K 1 K K Printf D K K K Printf D K Return 0 What Should Be The Output Of This Quora

Is L A Mb Nc K If M N Then N K Cfl Or Not Stack Overflow

Sat Question Of The Day Test 3 Sec 3 Math Nc 9
Green English Study Kk音標 26個字母 Facebook

Solved Prove That The Following Languages Are Not Regular Chegg Com
Algebra The Student Room

12x1 T08 05 Binomial Coefficients

Solved Use 1 X N Sigma N K 0 N K X K To Show Th Chegg Com

Probability Distribution Ppt Download

State Estimation Using Non Uniform And Delayed Information A Review
Electrochemical Constant Bioblast

Pdf Oscillating Sequences Gowers Norms And Sarnak S Conjecture

Draw Venn Diagrams For The Following Sets C X X 2k 1 K Lt 5 K N D X X Is A Factor Of 21 X N Brainly In

Solved Problem 5 Equation 1 Infinite Taylor Series Expansion Ln 1 X Ln Natural Logarithm K 1 K 1 Q

Obfuscated Hello World Program

Relationship Between Stirling Numbers Of The First Kind And Their Absolute Value Possible Error Mathematics Stack Exchange

Math 396 Lecture Notes Spring 18 Lecture 1 Independent And Identically Distributed Random Variables Bernoulli Trial Probability Generating Function
The Derivative Of Summation Rule Cyclochaotica

Solved Hypergeometric Distribution Prove That N K K Mi Chegg Com

Binomial Identities Expansion Of A N X A

Oneclass For The Following Reaction K 0 538 At 313 Kk N2o4 G A œ2 No2 G If A Reaction Vessel Ini

Find A Cfg For The Following Language L A N B M C K K N M M M R Cse

Partitions Define Pk N As The Number Of Solutions Of N X1 Xk X1 X2 Xk 1 N Is A Positive Integer Pk N 0 Ppt Video Online Download
Pdf Lu Decomposition Partial Pivoting C Sima Mas Hafi And Hoseyn Amiri Academia Edu

Nc Pre K Randolphkids Org

Cute Animal Alphabet Funny Cartoon Character A B C D E F G H I J
Vector03 Euclidean Vector Force

12x1 T08 05 Binomial Coefficients

Doubt In Proof Of Theorem 8 Of Apostol Modular Functions And Dirichlet Series In Number Theory Mathematics Stack Exchange

Qe Find The Local Minimum Of F X X K Ln X For Constant K 0 This Is Related To Interior Point Methods In Opti Homeworklib

Solved Problem 2 1 Show That For Any Positive Integer N Chegg Com

Guillou Quisquater Gq Identification Scheme

5 Comparison Between The Spectrum Of 2n N 1 C 2 3 2 N N K And The Download Scientific Diagram

Discrete Fourier Transform The Discrete Fourier Transform Is

Import Of Proteins Into Peroxisomes Sciencedirect

Solution Manual For Digital Signal Processing Using Matlab 3rd Edition By Schilling And Harris By Sawoe727 Issuu

Chapter 5 The Binomial Coefficients Ppt Download

Relationship Between Stirling Numbers Of The First Kind And Their Absolute Value Possible Error Mathematics Stack Exchange

Answered T F A Suppose That F X Dx 12 And Bartleby

Fy Mode Fe K Edge Xanes Spectra Of Fe N C During Cyclic Voltammetry A Download Scientific Diagram

Numerical And Theoretical Studies Of Bolted Joints Under Harmonic Shear Displacement

Solved What Is The Time Complexity For The Following Codes Chegg Com

Ex 3 2 21 The Restriction On N K P So That Py Wy Is

4 Convolution Solutions To Recommended Problems Pdf Free Download
Proof That P Is Irrational Wikipedia

Prove O K L M N Are Concyclic 5 Point Circle Geogebra

Ex 3 2 21 The Restriction On N K P So That Py Wy Is

12 X1 T08 05 Binomial Coefficients 12



