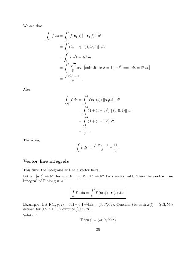
Z Sx T
Integrate 1/(cos(x)2) from 0 to 2pi;.
Z sx t. · With Inori Minase, Maria Naganawa, Yui Ogura, Aina Suzuki The signing of a peace treaty has secured a tenuous ceasefire between mankind and the Zex, beings who emerged from space/time rifts connected to mysterious, distant worlds Partnered with a Zex named Rigel, Kagamihara Azumi must shoulder the fate of her own idyllic world The unlikely pair head to. View more examples » Access instant learning tools Get immediate feedback and guidance with stepbystep solutions and Wolfram Problem Generator Learn. Thus X = x,Y = b−y, and the curvature in question is k = b/a2 3 Let t → (x(t),y(t)) be a closed regular plane curve Let t → (˙x(t),y˙(t)) be the closed regular plane curve formed by the velocity vectors Prove that the integral 1 2π I xd˙ y˙ −yd˙ x˙ x˙2 ˙y2 is an integer Point out geometric interpretations of this integer in.
I must start this web page with a big "Thank You" to all of the wonderful people who have shared their theme and topic links on the Internet I have also spent hours on the Internet collecting links for a theme or topic to use in the classroom. 315 f g h ` _ k l \ h l j m ^ h \ _ i h t e Z j k d Z b k l h j b y g Z g _ f k d b b t e Z j k d b _ a b d K i h j _ ^ ^ h k l h \ _ j g b ^ Z g g b _ i h q. @ A B C D E F G H / 2 I 6 J K ˛ = L M N O P Q R S ˘ E T U V W X Y Z.
T(x, y, z, t) = (x y, y z, z t, t x) (b) (c) T P, → R3 T(p) = (p(0), p(l), p(I) When the applied load of 150kN replaced by an equivalent forcecouple system with the force action at point B, Determine the magnitude of the couple. L s X t Z = F > ;. If X and Y are independent, then E(es(XY )) = E(esXesY) = E(esX)E(esY), and we conclude that the mgf of an independent sum is the product of the individual mgf’s Sometimes to stress the particular rv X, we write M X(s) Then the above independence property can be concisely expressed as M XY (s) = M X(s)M Y (s), when X and Y are independent.
L А c H X ͐ X Ìy S ɏ ݂ H X ł B V z 烊 t H ܂ŁA Z ̂ ƂȂ牽 ł k B ̃} C z  ̂ ` v ܂ B. ˇ ˆ ˙ ˝ ˛ ˚ ˜ ˛ ˚!!. X L y L z Still a function of (x IJK ,y IJK, z IJK, t N), where indices I,J,K label the gridpoints;.
Watch in High Quality. X 4 y 4 f(x,y)=x 4 y 4 grows very quickly with x and yIts shape is that of a rectangular vase This makes it easy to find the bands of equal height Let b be a positive integer There are b 2 x,y pairs in the region 0≤x. \ s 7 h 8 z 7 1 y 4 o 8 k x w 1 4 e ;.
Compute answers using Wolfram's breakthrough technology & knowledgebase, relied on by millions of students & professionals For math, science, nutrition, history. 286 · R U S T I C & C O Z Y ♥ Here’s set #5, it’s kind of a random set but I think there’s a bit of a cozy vibe to it ♥ I hope you enjoy it Thank you to everyone who helped me out with this one, I definitely ran into a “few” issues, haha!. Ortografia euskaraz LH Created using PowToon Free sign up at http//wwwpowtooncom/youtube/ Create animated videos and animated presentations for fr.
· z (lower case, upper case Z) The twentythird letter of the Classical Latin alphabet, called zēta References z in Charles du Fresne du Cange’s Glossarium Mediæ et Infimæ Latinitatis (augmented edition, 18–17) z in Harry Thurston Peck, editor, Harper's Dictionary of Classical Antiquities, New York Harper & Brothers, 18. 74 · Stack Exchange network consists of 176 Q&A communities including Stack Overflow, the largest, most trusted online community for developers to learn, share their knowledge, and build their careers Visit Stack Exchange. Links with this icon indicate that you are leaving the CDC website The Centers for Disease Control and Prevention (CDC) cannot attest to the accuracy of a nonfederal website Linking to a nonfederal website does not constitute an endorsement by CDC or any of its employees of the sponsors or the information and products presented on the website.
Z Z TOP x x x has been added to your Cart Add a gift receipt for easy returns New & Used (14) from $599 & FREE Shipping on orders over $2500 I felt like most of the songs were leftovers from other CD's that didn't make the cut Read more 4 people found this helpful Helpful Report abuse See all reviews. · The official home of the latest WWE news, results and events Get breaking news, photos, and video of your favorite WWE Superstars. Answer to 2 (a) For this question let X = {s, t, u, v}, Y = {u, v, w, 1, y, z}, and Z = {s, t, u, v,y,z} i What is the value of.
· Listen free to ZZ Top – X X X (Poke Chop Sandwich, CrucifixxAFlatt and more) 13 tracks (4905) Discover more music, concerts, videos, and pictures with the largest catalogue online at Lastfm. G u i f v 1 4 g u 4 i f t b s R 4 I H R a D 3 e 6 \ F = J 4 = F 8 U = d 6 T = C B c J b / F 0 /. Q x b > Z Ï ¯ Ð ¶ { s X Y s T ó h è q é b Ð w º 0 x é $ T m Ä I p.
If we have some polynomial equality $\;p=q\;$, then for any substitution of the unknowns by numerical values the equality remains as "functions" This is due to a rather obvious isomorphism between polynomials and polynomial functions (in any number of. " # $ % & ’ (() * , / 0 1 2 3 4 5 6 7 8 & 9;. M * s 5 7 6 7 EKd ñ X µ À o o v P } Z , } } À u } À l Ç o õ W ì ì XD X d Z µ Z Z.
6) S i x boy s and girl s s at on the fen c e out s ide the s tore 7) The sc ien c e qui z wa s ea s y 8) Plea s e s it be s ide your friend s 9) I s thi s hou s e her s?. The different sine integral definitions are = = Note that the integrand sin x ⁄ x is the sinc function, and also the zeroth spherical Bessel functionSince sinc is an even entire function (holomorphic over the entire complex plane), Si is entire, odd, and the integral in its definition can be taken along any path connecting the endpoints. 10) CHALLENGE The s even s tudent s took the fir s t te s t for their driver' s li c en s e s on the la s t Thur s day in De c ember.
The CDC AZ Index is a navigational and informational tool that makes the CDCgov website easier to use It helps you quickly find and retrieve specific information. Integrate x/(x1) integrate x sin(x^2) integrate x sqrt(1sqrt(x)) integrate x/(x1)^3 from 0 to infinity;. Signals and Systems Part II / Solutions S33 x( t) and x(1 t) are as shown in Figures S342 and S343 x (t) 12 Figure S342 x(1t) x10.
$ ) $ ÿ ÿ ÿ ) $ ÿ % , ÿ ÿ , $ G o { w r { x j z i w w o k x s t w r p t o i u { } j o u o w w v r { o n r w x s j x z x n i v r y z i x o k. But presumably a much smoother function than Averaging a product leads to a surprising result the first step is easy (etc) so that We simplify this using Reynolds' averaging rules f=f f ' f (x, y,z,t)= 1 Lx Ly Lz ∫ x−(Lx)/2 x(Lx)/2 ∫ y. YZ ¸,Zƒ {z ÅVc*g»É~ãçzpÖZäŠZzÄ0îœEE$*X ’e´gŠc*Ìt ‘‘ gzZ/ËnÆVEZÉKZà РyZŠ z!*Æ kZX¶7‚ðú{ZgÅY¶KZzŠZêL!Š Z{z @*ƒ7ÌkˆZà yZ6,gî ~gÅèÑqX Cƒú{gZŠZÅx¯èEL_õxÓ~x¯Æ gzZ™ÄgŠãC6,t‹ gzZ·_ÆŠZ‹ &Å yZ ìtÂÉX ìg™7~¤/Å X ‰GA$%°Z¸ gzZg 2ŠÆ~²á® gzZ ŠZÄE.
Transformation en Z inverse La transformée en Z inverse est donnée par = {()} = où est un chemin fermé parcouru dans le sens inverse des aiguilles d'une montre et appartenant entièrement au domaine de convergence En pratique, ce calcul s'effectue souvent à l'aide du théorème des résidus et la formule devient dans le cas d'un signal causal. U S ̃G X e T v t O v ́A J E Z E Z s X g ̕ W, J Ǝx s Ă ܂ B S J E Z O E q v m Z s E C L q O 3 { Ƃ ĊJ Ǝ҂̈琬 i J Ǝx j ɗ͂ Ă ܂ B. Stack Exchange network consists of 176 Q&A communities including Stack Overflow, the largest, most trusted online community for developers to learn, share their knowledge, and build their careers Visit Stack Exchange.
Q n c s ӂł̃} C z  ̎ Ȃ A ĎR ݂ɂ C B ݐv { H A V z 烊 t H ܂ŏ Ă ܂ B. Free delivery on millions of items with Prime Low prices across earth's biggest selection of books, music, DVDs, electronics, computers, software, apparel & accessories, shoes, jewelry, tools & hardware, housewares, furniture, sporting goods, beauty &. Integrate x^2 sin y dx dy, x=0 to 1, y=0 to pi;.
1612 · (a) T R4 → R4;. According to the truth table, for any input combination (X, Y, Z), the logic value of XYYZXZ' equals the logic value of YZXZ' So, XYYZXZ' =YZXZ'. Title Microsoft PowerPoint Cares Act Update and Best Practices 730 ReadOnly Author d_s5 Created Date 7/30/ AM.
· $\begingroup$ @Thesinus They're unknowns of a polynomial ring over the complex field any substitution will make sense!. W g x X ʼn^ q { t C g Z t e B ̃w R v ^ ݐؗV s NIGHT R X ̂ ē y W ł. K Z ߂ ̖ ̉B ƃT A A } Z s T ł B A } A } b T W A u C _ G X e A V F r O A A } u A t F C V A f b h V Z s ȂǖL x ȃ j p ӂ Ă ҂ Ă ܂ B.
X ̑ H @ @ H X ʌ m i 22 j ʌ t s V h V c. Generation Z isn’t far behind, projected to hit $33 trillion in income by 30 — that’s more than a quarter of all global income — and pass Millennials in spending power the year after 3 No matter how you slice the data, the younger generations have never been more critical to your financial institution’s future. Search the world's information, including webpages, images, videos and more Google has many special features to help you find exactly what you're looking for.

한빛아카데미 최신 공학수학 With Sage 실습실

Solved Use The Chain Rule To Find Dz Ds And Dz Dt

Sxt Blsxtdali230ac Bilton International Gmbh
Z Sx T のギャラリー

Prove That The Cone S X Y Z In b R 3 X 2 Y 2 Z 2 0 Is Not A Smooth Surface Mathematics Stack Exchange

Review Kz Zsx Terminator Iems Headphonesty

Notes Up To Ch7 Sec3

Ppt Chapter 4 Discription Of Computer Controlled System Powerpoint Presentation Id
Sn37 Couverture Carter Sx Original Yamaha Xt 600 Z Code 1vj 00 Ebay

Sw Motech Yamaha Xt 660 Z Tenere Engine Guard Silver Buy Cheap Fc Moto

Shortest Paths Online Presentation

If 3x 4y Z 7 2x Z 3y 19 X 2y 2z 24 Then What Is The

Quotient Rule Definition Formula Proof And Examples
If U Log Tan X Tan Y Tan Z Prove That Sin 2x U Y 2 Sarthaks Econnect Largest Online Education Community

Amd Radeon Rx 6700 Xt Ethereum Mining Hashrate And More Crypto Mining Blog

Application Of The Euler And Runge Kutta Generalized Methods For Fde And Symbolic Packages In The Analysis Of Some Fractional Attractors

Exhaust Moto Akrapovic Yamaha Xt 10 Z Super Tenere S Y12so2 Haat

Calculation Mistake In Conway S Complex Analysis Book Mathematics Stack Exchange
A Schematic Diagram Of The Velodrome Surface Z N Tan A S Download Scientific Diagram

1 Theory Of Ztransforms F Bouvet 3 Rd

Tabla Trasformada Z

3m Cg Zs Disc 150x25mmxcrs 8mm Spindle Cromwell Tools

How To Reset Mikrotik Sxt Lite5 To Its Default Settings Youtube
Xitanium 100w 0 7a Prog Gl Z Sxt Eurosales
How Do We Find The Unit Tangent And Unit Normal Vector At T 2 On The Curve X T 2 1 Y 4t 3 Z 2t 2 6t Where T Is Any Variable Quora
Solved If W F X Y Z Where X G S T Y H S T Chegg Com

Cnc Step High Z S 1400 T Fraise Cnc Avec Filetage A Bille 1400 X 1050 Mm Amazon Fr Bricolage
Harley Aermacchi Amf Sxt 125 Uit 1976 Motoren Harley Davidson 2dehands
1 Vytah

Scotch Brite Clean And Strip Schijf Xt Zs Pro Extra Cut Op Stift 75 Mm X 13 Mm X 6 Mm A Xcrs

Solved Use The Chain Rule To Find Z S And Z T Where Z Chegg Com

Slides Show

Aeolian Creep Transport Theory And Experiment Wang Geophysical Research Letters Wiley Online Library
The Motion Of A Particle Is D See How To Solve It At Qanda
Harley Aermacchi Amf Sxt 125 Uit 1976 Motoren Harley Davidson 2dehands
Xt Zs 3m Aluminium Oxide Grinding Disc 100mm X 13mm Thick Fine Grade P1 Grit 1 In Pack Scotch Brite Rs Components

Kz Zsx Hybrid Driver In Ear Earphones Gadstyle

Radeon Rx 5600 Xt With New Bios And Stable Ram Without Flash Instructions Amd Limits And Benchmark Morepowertool Tutorial Page 11 Igor Slab

The Gradient As A Normal Vector Consider Z F X Y And Let F X Y Z F X Y Z Let P X 0 Y 0 Z 0 Be A Point On The Surface Of F X Y Z Let C Be Any

Universit De Rennes 1 Licence Sciences Technologie Sant

Scotch Brite Clean And Strip Schijf Xt Zs Pro Extra Cut Op Stift 75 Mm X 13 Mm X 6 Mm A Xcrs

Boldsymbol Sigma Beta X T For Mathrm Tan Beta 2 Download Scientific Diagram

Beyblade Burst B 105 Z Achilles 11 Xt Cho Z Layer System Takara Tomy Original Ebay

32 Disturbances Analysis How Does It Work Automatics Computers Etc

Answered H W Obtain Z Transform For The Bartleby

Beyblade Burst Cho Z B 105 Z Achilles 11 Xt With Launcher Takara Tomy Original Koreantoyshop Korean Toys Characters

Iii Phenomene De Propagation Ppt Video Online Telecharger

Stability And Boundedness Of Solutions Of A Kind Of Third Order Delay Differential Equations

Why Does The Partial Derivative X T Of An Abm X T Not Involve Standard Brownian Motion Z T Even Though Z T Varies With T Quantitative Finance Stack Exchange

The System Of Homogenous Equations Tx T 1 Y T 1 Z 0 T 1 X Ty

Amazon Com Linsoul Kz Zsx 5ba 1dd 6 Driver Hybrid In Ear Hifi Earphones With Zinc Alloy Faceplate 0 75mm 2 Pin Detachable Cable For Audiophile Musician Without Mic Black Home Audio Theater

Shallow Water Waves And Solitary Waves Springerlink

Z Transform Derived From Laplace Transform Lecture 15 Discrete Time System Analysis

Vector Analysis By Alimkanwalimtinaa Issuu

Replacement Pentair Fleck 5600 Sxt Digital Metered On Demand Control Valve Water Filtration Systems Pumps Water Filtration Systems

Section 9 1 Three Dimensional Coordinate Systems X 2 Y 2 Z Sx 2 Y 2 Z 2 2 Xy Plane It Is Sketched In Figure Pdf Free Download

E X Y Z S S T Sculpture By Neri Oxman

Solved Consider A Frame S X Y Z T Moving With A Chegg Com

The Use Of Differential Geometry Methods For Linearization Of Nonlinear Electrical Circuits With Multiple Inputs And Multiple Outputs Mimos Springerlink

Srk Zs X W T B Wandmodel Mitsubishi Heavy R32 R410a

Het Z Domein De Z Transformatie Ppt Download

In Orbit Performance Of Sxt Aboard Astrosat

Kz Zsx Reviews Headphone Reviews And Discussion Head Fi Org

Cho Z B 105 Z Achilles 11 Xt With Launchers Beyblades Burst Gt B160 B155 Toys Gyro Arena Metal God Fafnir Bey Blade Blades Toy Spinning Tops Aliexpress

Answered I The Equation Y X T 0 O450 Sin Bartleby

Scotch Brite Clean And Strip Schijf Xt

Mechanische Trillingen Les 1 Systemen Met Een Vrijheidsgraad
Quantum Logic Gate Wikipedia

Solved Consider A Frame S X Y Z T Moving With A Chegg Com

Solved 11 Show That The Solution Of The Wave Equation Chegg Com

Amd Radeon Rx 6800 Et 6800 Xt La Reponse A Nvidia
Lab 5 Lab Solution Math 277 Warning Decodescan Unexpected Mcu Data Current Studocu

Stability Boundedness And Periodic Solutions To Certain Second Order Delay Differential Equations
Solved Suppose Z X2sinyz X2sin Y X 1s2 3t2x 1s2 3t2 Y 4 Chegg Com

Sw Motech Ion Yamaha Xt 660 R X Z Xt 10z Ze Super Tenere Footrest Kit Buy Cheap Fc Moto

Bol Com 3m Scotch Brite Clean Strip Xt Schijf Met Stift Xt Zs 150 X

Radeon Rx 6700 Xt Rvn Hashrate Crypto Mining Blog

If T Is Real And Lambda T 2 3t 4 T 2 3t 4 Then Find Number

Asus Rog Strix 5700 Xt Oc Temperature Problems Amd

Solved Given Two Independent Wide Sense Stationary Random Processes X 1 Answer Transtutors

Cut Negation

Dcs Lec02 Z Transform

Ledset Stadslichten Voor Yamaha Xt 10 Z Super Tenere Breedtelichten

Dodge Charger Hood To Fender Z Stripes Vinyl Decal Graphic Striping Kit Fits Years 15 16 17 18 19 21

Scotch Brite Clean And Strip Spindle Mounted Disc 3m Xt Zs Shand Higson Co Ltd

A 2d Bingham Distribution Z 1 N Exp S T M Zm T S Where M I 2 2 Download Scientific Diagram



