Nwv Ajii
Lectures_on_nard_Bosanquet_ÄÂ_ÄÂ\BOOKMOBI Õ j /L 8— Ab Ic QÇ Y² a¾ j1 rZ zº ‚ó ‹2 “Ø œ> ¤ç , µ®"¾0$Ū&͘(Õ *Ýa,åíú0õ¦2ýX4 V6 28 L.
Nwv ajii. ´–e;žÚñ öRÓÁͧL ütBåÓ¡W"5ÿßÛéƒ _rpQÍ ÍíHH°Äb ã™ ÏܶóI Ïú€ûaq?¤äPÊ.
W Wiktionary

Ppt Kids Party Photography Powerpoint Presentation Free Download Id

Avatar Path Clustering N Networked Virtual Environment Nve
Nwv Ajii のギャラリー
Pdf Fluidos Frank M White Fluid Mechanics Solutions Maria Teresa Yate Hernandez Academia Edu

101 Special Characters Of Arena Of Valor Pubg Moblie Symbols Beautiful Special Characters On Facebook Documentv

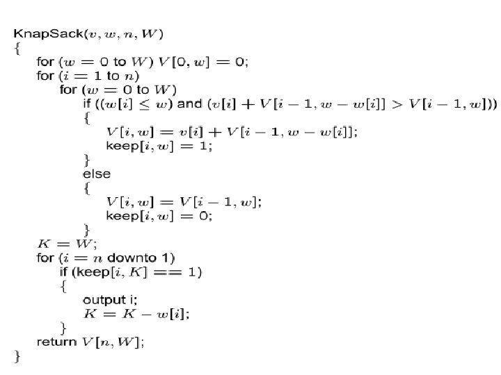
Dynamic Programming Ii Ppt Video Online Download

Ex 1 2 9 Let F N N 1 2 If N Is Odd N2 If N Is Even

Pdf Politeness Variation Across Urban And Rural Areas A Survey

Il Socrate Immaginario T L7l F M I Il Tax I V Lj T L3ilaliilvtt Jlli Fo Fr W V Gt N Lt Ytwv Vc J V L Gj J I L J J J F I I I R E I I

Buckling Analysis Of Laminated Anisotropic Kirchhoff S Plates Via The Boundary Element Method
Apikit Odata Example Example Sql At Master Mulesoft Apikit Odata Example Github

Il Socrate Immaginario 11 Iiiiiiiiii I I Ihi I 5 F I I M M 1 V S O N 1 4 I A Mm A
N Wiktionary

Trace Element Contamination In The Mine Affected Stream Sediments Of Oued Rarai In North Western Tunisia A River Basin Scale Assessment Springerlink

Il Socrate Immaginario S F Ti Fi I F 11 M R Ay Sf Fl 0 I T N Vual U U Tnvt O J T 0 V

Analise Real Vol 3 Elon Lages Lima Blog Conhecimentovaleouro Blogspot Com By Viniciusf666 Pdf Txt
Scriptsource Entry Ipa Symbol Equivalents
Altgr Key Wikipedia

Group Theory Pages 101 137 Flip Pdf Download Fliphtml5

Pdf Weighted Random Sampling Over Data Streams

Mignon Opera In Three Acts M I 2 Z Last Then Telljf N Jpo Ire

Pdf Rare Earth Elements In Rocks And Minerals From Alkaline Plutons Of The Kola Peninsula Nw Russia As Indicators Of Alkaline Magma Evolution

Group Theory Pages 101 137 Flip Pdf Download Fliphtml5
U C Ssaa G J C I P Oaª N A D I N H V

Hat I And Hat J Are Unit Vectors Along X And Y Axes Respectively What Is The Magnitude An Youtube

Solved Please Prove This Theorem 9 29 Use Lots Of Detail Chegg Com

N Speaker Deck

Diario Del Gualdi 1651 1655 Ui Iu U L Jifuju T Lt Cyf Q Fa Xjfffvi Re I I I 3y N Li J Lt G 9 0 Cd 2 M 1 7 Nxjz Vu

Teach Yourself Bengali Pdf Txt
List Of Unicode Characters Wikipedia

R C W R N V Z C J ʂ肦 ぬり絵 塗り絵 描画のためのアイデア
Altgr Key Wikipedia
Vietnamese Alphabet Wikipedia

2 Pages 1 50 Flip Pdf Download Fliphtml5

Avatar Path Clustering N Networked Virtual Environment Nve
Pdf Probability Audrey Wu Academia Edu

Find The Work Done In Moving A Particle Along A Vector S 4i J 7k M If The Applied Force Is Vector Brainly In

Pdf A Clinical Study On The Effect Of Nattokinase On Carotid Artery Atherosclerosis And Hyperlipidaemia

Olimpiade Drama Seria V Z S A Mi G 1 H I R Sf J R 2q Mc Tk L J R E Urooo R 23 1 1

Olimpiade Drama Seria E S I S M M R V 1 R I R J S Gt Fi 1 I R
Scriptsource Entry Ipa Symbol Equivalents

Pdf Pseudo Control Hedging A New Method For Adaptive Control

E Girls Live Tour 16 E G Smile J A J E V O L O E Girls Cd W җl W X N B J H I Y V Z J I E Girls Avexmobile

L Astuzie Amorose Dramma Giocosa Gi O Si T A Tlj Fj Iu Fe Jg Fam A Gt T R Rjj J S O S 1 J Ti
mod Sanskrut Sampurn 10th Flip Ebook Pages 101 130 Anyflip Anyflip
0 Lmn Lo L Pq R L Stu V W Xy Z 1 A B Cd Efgh Bij Ekgh Leemnopqrst U5 Vswx Y Bgz

Greedy Algorithms General Principle Of Greedy Algorithm Activityselection

Journal Of Medicinal Plants Research Antioxidant And Free Radical Scavenging Activities Of Viola Odorata In The Search Of Potential Inhibitor Of Tobacco S Free Radicals
J Wiktionary

Pdf Comparison Of Clang Abstract Syntax Trees Using String Kernels Semantic Scholar

Avatar Path Clustering N Networked Virtual Environment Nve

Practice Questions For Exam 3 Phys 2 1
0 Lmn Lo L Pq R L Stu V W Xy Z 1 A B Cd Efgh Bij Ekgh Leemnopqrst U5 Vswx Y Bgz

Mtltcai I Iw Point And Dwelt U L Ft W B Empiimii And At Length 4 M Oiniuended That The Munir Pdf Free Download

E Girls Live Tour 16 E G Smile Y Zcd W җl W X N B J H I J I E Girls Avexmobile
孤女努力記
All Inclusive Calculations In Physics Refraction Waves

07 Chap3

How Spanish Got Its N The Story Behind That N With A Tilde Youtube

Make Wireshark Packet Readable Json Octet Stream Stack Overflow

Dynamic Programming Ii Ppt Video Online Download
Pdf Chapter 13 Chapter 13 성준 안 Academia Edu

Clinical Refractive Optometry Vol 29 Issue 1

Avatar Path Clustering N Networked Virtual Environment Nve

M 53 High Resolution Stock Photography And Images Page 21 Alamy

Dynamic Programming Ii Ppt Video Online Download

Sanefes

Olimpiade Drama Seria Fi Jj P E A I T I S E 1 Gt J J Fl L L Cropili Bar Baro Cad Crr Chi Maipr Lt

Portuguese Orthography Wikipedia

Sylabitsa Alphabet Alphabet Math Pronunciation

A New Standard Part V A Phonological History Of Chinese

قاعدة درء المفاسد مقدم على جلب المصالح وتطبيقاتها في المجال الطبي

Pdf Braindrop A Mixed Signal Neuromorphic Architecture With A Dynamical Systems Based Programming Model
Let U I J V I J And W I 2j 3k If N Is A Unit Vector Such That U N 0 And V N 0 Then W N Is Equal To

Geological Hazards And Monitoring At The Azores Portugal Earthzine

Pslv Discrete Mathematics Graphs

Dynamic Programming Ii Ppt Video Online Download

Greedy Algorithms General Principle Of Greedy Algorithm Activityselection

Avatar Path Clustering N Networked Virtual Environment Nve

Siberia Dramma In Tre Atti A X Rj I I Fa 3 B

Avatar Path Clustering N Networked Virtual Environment Nve

Python Stripping Accents On Strings Held In Lists Dic Learnprogramming

Sanefes

Fancy Font Generator Fancy Text Generator

Solution Manual Vector Mechanics For Engineers Dynamics Beer Johnston

August 06 Matchman Head S Blog

Trace Element Contamination In The Mine Affected Stream Sediments Of Oued Rarai In North Western Tunisia A River Basin Scale Assessment Springerlink

The Sequential Value Correction Method For The Two Dimensional Irregular Cutting Stock Problem

Number Of Paths From Source To Destination In A Directed Acyclic Graph Geeksforgeeks

Lsj 1931 Wd Kavqlu M Sixialr K 11

Learn How To Find The Angle Between Two Vectors Youtube



