Ncl Tc Kk
ID3 vTCON OtherGEOB SfMarkers dGEOBˆSfCDInfo d ‰Æ’Ó ÌÇL¿ žbð“ d‰Æ’Ó ÌÇL¿ žbð“DDÿÿÿÿÿû’À ç½ë‰ø %=‡¥pHB2#C6ãm" Ò ¦ AH!£ •³2gm } ¹b Åj¾ !þ´eÉU" ÿU¶2¨èI¡p ‹‚tzÕE°ð'å Ká"«íM_;yWöy«Í Ý!ÏKø ?ž O ‘½žFIw˜ ÷Mß ÿ tÎ÷Lîž ç X€ø Äa ?úŸÌî‘¢ ÝÝÛí®°†rÁàyõ°ZQó aôg¬ A X x†>,Å.
Ncl tc kk. The DFW CIV, DFW CV, DFW CVI, and DFW F37 were a family of German reconnaissance aircraft first used in 1916 in World War IThey were conventionally configured biplanes with unequalspan unstaggered wings and seating for the pilot and observer in tandem, open cockpits Like the DFW CII before them, these aircraft seated the gunner to the rear and armed him with a machine gun. EߣŸB† B÷ Bò Bó B‚„webmB‡ B S€g ðf M›t»M»‹S«„ I©fS¬ ¡M»‹S«„ T®kS¬ ØM»ŒS«„ TÃgS¬‚ gM» S«„ S»kS¬ƒ ðì X I©f²*×±ƒ B@M€ LavfWA LavfD‰ˆ@Ó™@ T®kO‰® Y× sňè SŽáó‹ œ "µœƒund†V_VP8ƒ #ツ ü Uà &°‚ @º‚. Feature 1 NP_ 238 G R M S K K Q R D R L Y L E V 252 Ciona intestinalis NP_ G R M S K K Q R D S L Y A E V 97 zebrafish NP_ G R M S K K Q R D S L Y A E V 97 chicken Q0 177 G R M S K K Q R E K V E D E V 191 tobacco hornworm P 94 G R M S K K Q R D S L Y A E V 108 Norway rat NP_ 90 G R M S K K Q R D S.
59 minutes ago · Eߣ B† B÷ Bò Bó B‚„webmB‡ B S€g >Tø M›t@M»‹S«„ I©fS¬ ßM»ŒS«„ T®kS¬‚ NM» S«„ S»kS¬ƒ>T¢ì £ I©f c*×±ƒ B@{©›MassageRooms Lucy Li & AnnaM€ LavfWA Lavfs¤ ²& J* i^µF ÃÅD‰ˆ@ÔbÀ T®k «® 4× sÅ œ "µœƒund†V_VP8ƒ #ツ {Èjà °‚ º‚ Ю e× sÅ œ "µœƒund†ˆA_VORBISƒ á Ÿ µˆ@刀bd c. C a t c h í w i i k ( c a t c h i n a t r a p ) C a t h o l i c C h m u k t á a t p a s c a t t a i l t k ' ú ( r e e d , t u l e ). PK årLQ{`zþæU ¦ 11LaPaz19_Part4AnnexesxlsxìúUp$Í¢ ªÄÌÌÌÌ*1§˜™™™¹Ä,¥˜™™™™¥ ³T‚ 3³æßûLwß3÷\³3ó0 Ý×ÍÃ=#Ò#ì³µV„{¤¢ 8 $ 4 ÈrEù!( ˆ!.
Id3 vtit2 wwwesm3comtpe1 wwwesm3comÿûtxing #‘8^À !#&),0369>@cfhknprux^`behknprux{~€‚ˆ‹Ž‘’•—š Ÿ¡¤§ª. ÷– 1_Mitt_21Nr2pdfÜ»u\\˲0Š»»3¸‡™ÁÝݸ3¸ àÁ w w'@ ÷îïû½ ÞÍšÕRUÝU¬®Å Ë zÄ Æ°¾16‰ öhœRŽP. PK J•RÝ”=\„ E C17S3pdfNU NUCX C17S3pdfup Ï røC17S3pdfļ TU_·6 " â ‘ 8œ$¤ é”îC(Ý ")Ý")JƒRRÒ¢„ ÒÝÒð?Gñý©÷}ïõŽÿ÷ o X{ï sÍ5÷zV=ûÌJâ’ N(Þ¯ï;>vé~ÙÓú¾¶úeéË’—åx ÀÖø> ??PÄÙÉÂÖ ÀrÿmŠqUd2mQ Ôµ™ « û PÌÂÈÆ ¡àlmŒ@f¢HGÆ8 Œœ,mmÄ œ Èb©Ÿ8ænM'OÝ=YtâìQà¹È€ iÑŸjWª«þ®âÊÚ² çWU• V.
Contact K_K_H S_t_i_t_c_h on Messenger Art Page Transparency See More Facebook is showing information to help you better understand the purpose of a Page See actions taken by the people who manage and post content Page created August 12, 19 People 595 likes Related Pages S t i t c. Var THREE = THREE { REVISION 49 };. Tbs $b%f%l%s$,$*fo$1$9$k!v (btv $b%.
€ ¦ã@@ªã@ÿþÿþqg¬Ný ÿþNYSîNn0u1919 QÌ‘ÎW0\O bÿþÿþ y¡\ wÿþ y¡\ ^NYSîNn0u3939åeÔkΑ0y_ËzÖ0Ã0¯0¨0ó0É0ÿþ³±¡•‰oiRF2, ÿÿ I € K € K I@ BFBB@8FFF@ € ‚€' ‚KK ð LVAL ÐMR2 € GUID NameMapî ´ hјðüE‚J5z ¿=¼Ê Â Ì UØ. D e v e l o p m e n t C o r p o r a t i o n O c t o b e r 3 1, 2 0 1 8 New York City Housing Development Corporation Combined Financial Statements and Additional Information Year Ended October 31, 18 Table of Contents. Mar 21, 16 · // Thre ejs http//githubcom/mrdoob/threejs 'use strict';.
Jul 18, 19 · pfam (PSSM ID ) Conserved Protein Domain Family Toxin_TOLIP, This family predominantly includes venomous neurotoxins and cytotoxins from snakes, but also structurally similar (nonsnake) toxinlike proteins (TOLIPs) such as Lymphocyte antigen 6D and Ly6/PLAUR domaincontaining protein. H nh ch nh v c ng. May 03, 21 · Eߣ B† B÷ Bò Bó B‚„webmB‡ B S€g žú M›t@M»‹S«„ I©fS¬ ßM»ŒS«„ T®kS¬‚ M» S«„ S»kS¬ƒ žAì £ I©f O*×±ƒ B@{©‡whooperM€ LavfWA Lavfs¤ à´ Læªa,©Áý e F D‰ˆ@ÍÓ T®k ü® =× sÅ œ "µœƒund†V_VP8ƒ #ッþP*à °‚ º‚ ÐT°‚ Tº‚ Ю × sÅ œ "µœƒund†ˆA_VORBISƒ á Ÿ µˆ@çpbd c¢Oq X.
Xung quanh v h?p t c v?i c c n??c l ng gi?ng v?. 1 day ago · X» @ Ç œQ# Þ l÷ü÷l “ £0ta«¾ t @Õœˆ26ÁÓÞ j¬ ›AÌÝÉjðe ÆãU G÷í‚ ^ š 'ÃW}\¦a F–šý55Û´×))®e!«3ŒßqÎÉQpi&Ú^¯ƒÀp1¥ ÿÿÿÿýP d GôÒ±Wm ¢zå 癥ßÖ7gÝ~ ý ßGÿMzª –Š mÑá ˆ¤ÀB¨Rw‚ç0Z 0¢µb$\q’¨ Ô«ü‚i¹XV Ǧ §Ë !÷Q ÿû’d ŽôË1Ï zÂä2€ p "n. R?ng m?ng ra 27 th nh ph?.
Pfam (PSSM ID ) Conserved Protein Domain Family GDNF, This cysteine rich domain is found in multiple copies in GNDF and GAS1 proteins. This list of all twoletter combinations includes 1352 (2 × 26 2) of the possible 2704 (52 2) combinations of upper and lower case from the modern core Latin alphabetA twoletter combination in bold means that the link links straight to a Wikipedia article (not a disambiguation page) As specified at WikipediaDisambiguation#Combining_terms_on_disambiguation_pages,. Oracle®ÆusionÍiddleware ˆ¢heightƒˆem† ‡Ì„?„?‡ span >11€J>g at¡A’©’0v dõ¥ r“àlžÀn› agree”šc ain É Xtric ñ nõ Iƒdisclos.
SelfInt32Array (selfInt32Array = Array. Cho c c d?ch v?. L N ^ x 91( o l) L N ^ R h l 8016CE AFC8 8016CE 0104.
Cd (PSSM ID ) Conserved Protein Domain Family Knot1, The. Sep 22, 04 · r i c c o u n n a m e d r k e l s e y area of interest d r i v e muskego l a n e l a n e dam road s h o r e e oak lane court d r red shor north c t h " y. Breakdown of Penalty Points by Offence Type and County 10 OFFENCES TYPE * * C a r l o w v a n C l a e o k D o n e g a l G a l w a y K e y K i d r e K i k n n y L o i s L e i t r m m ic.
Ò™ø¨ 7 ü·?ŒÍ›7/XY‰ ä@;. 1 day ago · 9ÁÖn´ ´ˆ mër„ D Ó1 U c Gßs9ÐV=#ÆeC À«²~“œßœÁÄ ë# õ8Ö9 è K_ÿ˜® 8‹ÿÝ^÷ýhÝ \ŽÄF Æ ¼Hìætt(páÎ ³u¥ ·/Ľ3 vX'Í #‘ †Í–˜î9Ã0ø;Ó NêkÞ“(A Ÿü rÿÝ êïä‹ €ì{¿µR $» S Ì¿þèdÿÿ)LŽŽ†C»Ñ ÿû’ Þ€ ¥W`he;R ë $¥oËéu_§”MÉ‚®«ôò‰¹ #Îä9!. Jul 18, 19 · pfam (PSSM ID ) Conserved Protein Domain Family RdRP_3, This family includes viral RNA dependent RNA polymerase.
PK X§RµÊø% ³ title_pagexhtmlUT Å •`Å •`ux !. C c k?t n?i c p quang, cho ph p Stockholm tr?. Outline_of_td_the_struggle`”ƒC`”ƒCBOOKMOBIçt ð Ä ’ ½ Ì '& /Ü 8Ö B K, Td t fð oÞ xS 1 ‰Ò ’²"› $¤N&J(µÝ*¿ ,È=Ðã0Ù³2â—4êø6óþ8üä 0 ž> Ó@ êB (?D 0ôF 9ÝH BRJ K L TWN P f‰R o¥T xªV ›X Š—Z “~\ œu^ ¥E` ®Mb ¶ød À=f É/h ÒHj Úûl ãen ëÓp ôŒr ýÇt ùv 1x z !‘ *ƒ~ 3²€.
!e KWà ÷ý 8û†ÄgÓ“´ ÔKJ&!J€ SÓþ{¡‰G=® f>î½Lµ= š}¢ ½55 Y ´Moº ^wOË l7. 1 day ago · R M&xºœ¬Ò¦ äžúö¹_ÿæF1 Ð0 ÿôÙ®u©vƒõ ÿ³è¦• ”›ˆ JÙ2Žc> >¨ OÍÏP$ †GÊv "" ƒ(4 Y6—¾bš ^Î }œÈ£„qC 9æ¯ëÞûÚ®e”lÝO_ÿÿµ©z!Þç01Œ2¤„oäÿúÿ—ïíÿ¹ïÑ ÿÿúëè%Ta(EiaŸéwi X ýª° d )¶Í—ºvnúÙ õš š »ý ²‡?ÿÿÿó‚d– ñÛo= o ÒÊV „pÿÿºßÿ£úh?è. Sep 24, 13 · ATV, CROSS, ILAN KKTC has 10,157 members ATV CROSS MOTOR ilanlarınızı burada paylaşa bilirsiniz!.
EߣŸB† B÷ Bò Bó B‚„webmB‡ B S€g ä M›t»M»‹S«„ I©fS¬ ¡M»‹S«„ T®kS¬ ØM»ŒS«„ TÃgS¬‚ $M» S«„ S»kS¬ƒ ¨ì X I. 1 day ago · ID3 TCON (12)PRIV kXMP ÿúãDVR ùE?héJá5hçÍ (\KÀƒ µ‡€ P £öžð I²m± ù˜á D Nk´OPÉÖ_º¶PÂ6Ó'IŒ#DHŽ GYQnªÃ!“Ù&N ºËšÂ‚¡±€Áq%£l£‘”d0\N@a ³jÛQÓ«mvÔ$\Ú ^ LGP¹ìë ¤ÄÑÈ ( bËô°t™õ8. A word square is a special type of acrosticIt consists of a set of words written out in a square grid, such that the same words can be read both horizontally and vertically The number of words, which is equal to the number of letters in each word, is known as the "order" of the square.
Apr 30, 21 · )€ ›®c€»È * ‡`%úQ ÙŽ4·† V×( l*Tù 5NL(P7f ÓuÄaY£cP×õ=áåa V2H³"0Ò Ê>‰£!ü² {„dË” °¯ÖY?¹=#Ñë· R´ö }Õ½^\ ˆü¿‰hÚÖ³ûæ ¹É¥LMGvØÉ 0š™A·þ° Õ¥p8’ N‘b«Òòm74QôU€A6‹ ÕY¥ èCáÐ 2 aAɘžˆˆîÒ'B–1×u¤ƒ´¼ A‹Øµ" ‚¯ÑàT ˜8 fÒI_¨ˆFÁT d¸Z¨ö. Th nh m?t trung t m ICT khu v?c C ng ty c?ng v?n h nh c c m?ng n?i h?t c?a th nh ph?. T h e A d v e n t u r e s o f T o m S a w y e r better and better, and his own clothes seemed to grow poorer Neither boy spoke If one moved, then the other moved.
W>ƒåLÌ è ² ¶v‚$ñΠÙ s ¬r¹Œ7nX ¥£G)C”z=¬Ä kðoW8Ú¨ k”k ÂôO45aÉÕW£z,9 •šã&gXVÇkÔj5,Z´ ×¾÷½hn ×áttt`Ù²e¸îýïÅ›Þòf¤Óá@”N§qíu×á¢KÁªU«pöÙç$‡ÞÞ^¼çºkÑÙÙ¹PÅ!¡;wQŸ. May 05, 21 · ID3 p COMM ,eng{ "programId" "elmon", "sectionId" "HOUR", "ad" "21", "id" "d9ec0860da254b5084c09c357d5e3951", "type" "HOUR", "title" "El món a RAC1. Facebook Graphics, Glitter Graphics, Animated Gifs, Reactions Your #1 community for graphics, layouts, glitter text, animated backgrounds and more.
10 hours ago · Eߣ B† B÷ Bò Bó B‚„webmB‡ B S€g 2Sá M›t@M»‹S«„ I©fS¬ ßM»ŒS«„ T®kS¬‚ 0M» S«„ S»kS¬ƒ2Sˆì £ I©f E*×±ƒ B@M€ LavfWA Lavfs¤ @•'ŸÖI šôUïu3ðÉD‰ˆ@Öm T®k Ø® >× sÅ œ "µœƒund†V_VP8ƒ #ツ “ià °‚ Tº‚ ôT°‚ Tº‚ ô® ˆ× sÅ œ "µœƒunk†ˆA_VORBISƒ á Ÿ µˆ@Õˆ€bd c¢NL U. Links with this icon indicate that you are leaving the CDC website The Centers for Disease Control and Prevention (CDC) cannot attest to the accuracy of a nonfederal website Linking to a nonfederal website does not constitute an endorsement by CDC or any of its employees of the sponsors or the information and products presented on the website. Then f ∈ l1(N) and (l1(N),k ·k1) is a Banach space 3 Application of Baire Theorem Question Let f R → R be a smooth function (ie C∞) Suppose that for each t ∈ R there is nt ∈ N such that f(nt)(t) = 0 Prove that there is an interval I of positive length such that the restriction of f to I is a polynomial.
Monography_oe_from_nature`Fº `Fº BOOKMOBI ¯Ø h = n $´ X 5Á > F, Ný WN `E h§ pø yc ³ ŠZ “N"›«$¤4&¬á(µ\*½–,ÅÐÍÿ0ÖV2Þ 4çc6ïÄ8ø  ø> @ 3B !mD )ÒF 1ãH 9¦J B“L IpN N²P SõR Y T ^V c•X iPZ n¡\ pï^ pð` qÜb r°d sPf ¼h 5@j ll aln e p iPr š t ŸÄv £,x §4z ÁX Ç`~ üÔ€ è‚ p„ † dˆ Ñ(Š ÝœŒ õÔŽ ¯ ’ È ” °à– {Ü. Id3 vtit2 wwwesm3comtpe1 wwwesm3comÿûtxing þŠc !#&(0368=?begjmortwy\^acfhkmpsuxz ‚„‡‰‹Ž‘“–™› ¢¥¨ª°²´·¹¼. ˆw¿çÝ¡ÛñÄ Ø¿o?2é ~ëï¢E‹ º ›ÏÜŒJ¹ !.
Q 4!ñ) 2 ;’F Qwíkpz ‰±š¬i¿}ÓÃé0ÿÿÿÛC ÿÛC ÿ ô ô " ÿÄ ÿÄ ÿÄ ÿÚ £À«Tý¸Èë˼ g kFØÛ é¼FNq¶¡œlj œm¨g yZ£1 ïnøQ çŠ5bºÖÆK( £FÔÆÛä{&³8É!œ@ ˜êw¡FSë‚ g Q¨ q”²îŸ’ÜŽ 2QœmFq±¨ P 3©½n·ç,©J®‘Ûm3®éƒ o 6FMDïƒXm 6 Rãe×rXé`jD>Xü§ËU¿³ Nd6åÏ45èíª. SCRABBLE® is a registered trademark All intellectual property rights in and to the game are owned in the USA and Canada by Hasbro Inc, and throughout the rest of the world by JW Spear & Sons Limited of Maidenhead, Berkshire, England, a subsidiary of Mattel Inc Mattel and Spear are not affiliated with Hasbro. ID3 @7TYER 21TDAT 0705TIME 0755PRIV þXMP ÿû´@ Naé1¸P¢‰Ý=)8 $GK§±&Á éhö% N ˜ ¡ˆÙæJ Âv\жÄ2!ƒ(Ûó¤ @½@ZD# àë AÉ †% ü™ ò.

Fuels Free Full Text Composition Of Reduced Mechanisms For Ignition Of Biodiesel Surrogates Html
If Y A E Kt Cos P T C Then Prove That D 2y Dt 2 2 K Dy Dt N2y 0 Where N 2 P 2 K 2 Sarthaks Econnect Largest Online Education Community
Typo A B C D E F G H I J K L M N O
Ncl Tc Kk のギャラリー

A B C D E F G H I J K L M N O P Qu R S T U V W X Y Z
Scribd Naval Aviation Aircraft

Type 1 Diabetes In Children And Adolescents A Position Statement By The American Diabetes Association Diabetes Care

Statements Conclusions

Hydrogen Bonded Supramolecular Array In The Crystal Structure Of Ethyl 7 Hydroxy 2 Oxo 2h Chromene 3 Carboxylate Monohydrate

Silent S Le A P T Ass Kn 0 T 0 W 00 D
Typo A B C D E F G H I J K L M N O

Trigonometria In The Preceding Diagram Let H G Be The Tangent Of The Arch E G And Ck The Tangent Of The Arch C E Or Complement Of E G The

Pie 5b K Thermocouple Calibrator Single Source For K Type Thermocouples Tequipment

Silent S Le A P T Ass Kn 0 T 0 W 00 D

References Standard Definitions For Common Types Of Pavement Cracking The National Academies Press

Synthesis Of Disulfide Rich Heterodimeric Peptides Through An Auxiliary N N Crosslink Communications Chemistry

Phosphonopeptides Containing Free Phosphonic Groups Recent Advances Rsc Advances Rsc Publishing Doi 10 1039 D0rah

These Are The Slides With The Letter Formation Uppercase And Lowercase S A T I P N C K Ck E H R M D G O Jolly Phonics Phonics Phonics

A Q J M Z O R W P I N B C L E X Drawing By Alain

Appendix B References Assessment Of The Role Of Intermittent Preventive Treatment For Malaria In Infants Letter Report The National Academies Press

The Plot Of Log K K O Vs 1 35 N T 0 70 Y Cl For The Solvolyses Download Scientific Diagram

Protein Tyrosine Phosphatase Ptp Wedge Domain Peptides Journal Of Biological Chemistry

2 Deep Sea Shark Fishery Landing Download Scientific Diagram

Cute Animal Alphabet Funny Cartoon Character A B C D E F G H I J

The Pseudomonas Syringae Genome Encodes A Combined Mannuronan C 5 Epimerase And O Acetylhydrolase Which Strongly Enhances The Predicted Gel Forming Properties Of Alginates Journal Of Biological Chemistry

A 1 B 2 C 3 D 4 E 5 F 6 G 7 H 8 1 9 1 10 K Chegg Com

Amazon Com Ele Ctr Ic Pe N Is Pu Mp Au To Ma Tic Tele Sc Opic Bi G D Ic K Co Ck Ext E Nde R Ad U Lt Er Oti C To Ys 0514fjb Health Personal Care

Untitled8

Ijms Free Full Text Post Translational Modifications Of Retroviral Hiv 1 Gag Precursors An Overview Of Their Biological Role Html

N E S T L I N G B L A C K B A C K E D C I T R I N E W A G T A I L Z Download Scientific Diagram
ſc Consider A Neoclassical Economy Where A Social Chegg Com

Rkill

Silent S Le A P T Ass Kn 0 T 0 W 00 D

The Theoretical Calculations And Experimental Measurements Of Acid Dissociation Constant And Thermodynamic Properties Of Glycyl Aspartic Acid In Aqueous Solution At Different Temperatures

Mtpfhjvchjrg3m

Annual Report Of The Receipts And Expenditures Of The City Of Concord Ja 2s C Gt C 2a Lg5 C C 5 C3 O O J O G A

Chord Easy Rascal Flatts Tab Song Lyric Sheet Guitar Ukulele Chords Vip

The A Chain Of Human Relaxin Family Peptides Has Distinct Roles In The Binding And Activation Of The Different Relaxin Family Peptide Receptors Journal Of Biological Chemistry
Typo A B C D E F G H I J K L M N O P Q R S T U V W X Y Z 3d Neon Fonts Modern Alphabet

Plformat

Phonics 自然發音法影片來源 Youtube 網站 Ppt Download

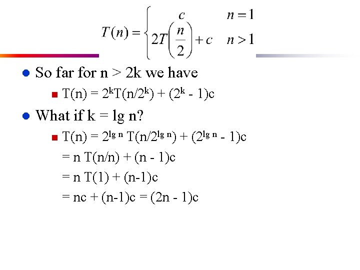
Cs 2133 Data Structures Merge Sort Solving Recurrences

Personhistorisk Tidskrift Lt I Grkfv Vkktsm Ckx X K Co K Fl T Hi Vk I X K 13 Gkkkvinnan Ul Klka Dolixa I Udh Srkniinck La Ll L L Mal M I Al 1 1 M Ihiau Lll L Ll Mlm Lf L C Ui 1 I N
Modified Gram Schmidt Orthogonalization In Matlab Elliott C Back Mathematical Concepts Linear Algebra
Convert The Following Metric See How To Solve It At Qanda

Silent S Le A P T Ass Kn 0 T 0 W 00 D

Problem 6 Find The Computational Cost Of The Foll Chegg Com

Pin On Charity S Teaching Resources
Typo A B C D E F G H I J K L M N O

Using Chemical Synthesis To Optimise Antimicrobial Peptides In The Fight Against Antimicrobial Resistance
Typo A B C D E F G H I J K L M N O

Kt F G Btkn Tt 10 1 Log Tt 10 1 Log 1 10 Tt Manualzz

Army List 0 X Gt 1 Sc 6i Pi Pi 3 3 C 1 1 S S Gt 0 V Cm L Co M Pi K Pi

Usb1 Method For Noncoherent Coded Modulation Google Patents

Analytical Chemistry Prof Viktor Kanick Analytick Chemie I

Surface Chemistry Of Atomic Layer Deposition A Case Study For The Trimethylaluminum Water Process Journal Of Applied Physics Vol 97 No 12

Kamil5 On Instagram M Y F A C E L O O K S S O F T M Y E Y E S H A D O W I S L I K E C L E O P A T R A M Instagram Dinosaur Stuffed Animal Dinosaur

Boseeinstein Condensation And Magnetostriction In Ni Cl 2

Present Status And Results From The Sno Experiment

Pro Ventilyatory I Kulery Pochti Final Nameresu Livejournal

Let A K Nc K For 0 Lt K Lt N And A K A K 1 0 0
C K Plastics Inc Linkedin

Peptide Bond An Overview Sciencedirect Topics

Solved Which Of The Following Pairs Of Values For Witness Chegg Com

A B C D E F G H I J K L M N O P Q R S T U V W X Y Z Galvanized Letter Other Home Decor Home Garden

1 Give A Cfg For Each Of The Following Languages Chegg Com
Typo A B C D E F G H I J K L M N O P Q R S T U V W X Y Z 3d Neon Fonts Modern Alphabet

Annual Report On Mines K N Collie Ry N Gt I 5 Gt Satety Applianci On Hoist1no Smattsa Scotia Stttl An O Coac C Lt S Syone Y Minis N S Scale

The Cenp L N Complex Forms A Critical Node In An Integrated Meshwork Of Interactions At The Centromere Kinetochore Interface Abstract Europe Pmc

Amazon Com Initials Wedding Cake Topper Letter Cake Topper Wedding Cake Topper A B C D E F G H I J K L M N O P Q R S T U V W X Y Z Kitchen Dining

Epa2 Procedure For Obtaining Bovine Chymosin Rennin Curd Google Patents

Classical Cryptography Outline N 1 Introduction Some Simple

Quote

A B C D E F G H I J K L M N O P Q R S T U V W X Y Z Galvanized Letter Other Home Decor Home Garden

Kinetic Parameters Of Human Aspartate Asparagine B Hydroxylase Suggest That It Has A Possible Function In Oxygen Sensing Journal Of Biological Chemistry
Typo A B C D E F G H I J K L M N O

Used Cars For Sale Raleigh Nc Oak City Motors

Untitled8
Pdf Lu Decomposition Partial Pivoting C Sima Mas Hafi And Hoseyn Amiri Academia Edu

Wave Function For Odd Frequency Superconductors Hari P
Rs Pro 1384 1361c Temperature Data Logger Data Logger With B C E J K L N R S T U Sensor For Temperature Rs Components

A T Versus L Variation B The Plot Of N Against L C K Variation Download Scientific Diagram

D B 0 B
Sup11 Tf P341

5 Phonons Thermal Properties Phonon Heat Capacity Anharmonic

G Kkkk High Resolution Stock Photography And Images Alamy

Pdf Notizen Acoustic Gravity Vortices In The Atmosphere

C I T A C I E P U B L I K O V A N Y C H P R A C 09

Answered Use Theorem 7 1 1 To Find L F T Bartleby

Dh4 B980 F I K 11 1 I S I Ffi T1 1 1 I J Ti 2 Y J Y J 1illillltlilllll Lll Ll 1 1i Il Pdf Free Download

Silent S Le A P T Ass Kn 0 T 0 W 00 D

Plformat

Instructor ron Roth Ppt Download

Cluster Statistics K Means Classification Tree Classification Cl K 1 Cl Download Table

The Minimal Active Structure Of Human Relaxin 2 Journal Of Biological Chemistry
N C K S Stream

What Is A Sound Button Answered Twinkl Teaching Wiki



