
2º Algebra

Solution Manual For Applied Petroleum Reservoir Engineering By Craft By Kholoud Hamad Issuu

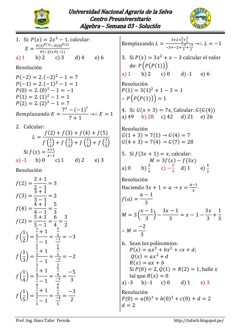
Polinomios Problemas Solucionados
Qoxp 6 のギャラリー

Ipb032n10n5 Datasheet By Infineon Technologies Digi Key Electronics

A 6 1 B 8 2 C 9 4 Are The Three Vertices Of A Parallelogram Abcd If E Is The Mid Point Of Brainly In

Let R A B A B In Z And A B Is Divisible By 5 Show That R Is An Equivalence Relation O Youtube

If X I Y 1 3 A Ib Then X A Y B Equals To Youtube

Ipb009n03l G Datasheet By Infineon Technologies Digi Key Electronics

Truth Tables Ppt Download

Linear Algebra Example Problems Subspace Example 5 Youtube

xa P6 600 Lumen Pico Projector
Prevalence Of Breastfeeding And Factors Associated With The Start And Duration Of Exclusive Breastfeeding In The Community Of Madrid Among Participants In The Eloin Anales De Pediatria

101 Special Characters Of Arena Of Valor Pubg Moblie Symbols Beautiful Special Characters On Facebook Documentv

Truth Tables Ppt Download
Second Law Of Thermodynamics Wikipedia
Let P 1 0 0 4 1 0 16 4 1 And I Be The Identity Matrix Of Or

If P Q Are The Roots Of Equation X 2 Px Q 0 Then Value Of P Must Be Equal To Youtube

xa P6 600 Lumen Pico Projector

Truth Tables Ppt Download

Linear Algebra Example Problems Subspace Example 5 Youtube

2º Algebra

Portugues Texto E Voz 7º Ano 6ª Serie Lidio Tesoto Amazon Com Books

xa P6 600 Lumen Pico Projector
Qwerty Wikipedia

Solved Prove That The Function F R Rightarrow R Given B Chegg Com

The Normal Distribution Manualzz

Usar Las Preferencias De Pantalla Y Tamano Del Texto En El Iphone Ipad Y Ipod Touch Soporte Tecnico De Apple

Chapter P Prerequisites Manualzz
Altgr Key Wikipedia

Solved Consider The Following Equivalence Relation On The Chegg Com

Txfgn 5ofhfnf Kmofkmnf Bhim Tu Tamu Vdf F

Amazon Com Alienware M17 Gaming Notebook 8th Gen Intel Core I7 8750h 6 Core 17 3 Inch Fhd 19x1080 60hz Ips 16gb 2666mhz Ddr4 Ram 512gb Ssd Nvidia Geforce Rtx 70 Max
Altgr Key Wikipedia

Erf From Wolfram Mathworld

Ipad 6ª Generacion Especificaciones Tecnicas

If A 3 5 7 9 Is Written As A P Q Where P Is A Symmetric Mat
If A 3 5 7 9 Is Written As A P Q Where P Is A Symmetric Mat

xa P6 600 Lumen Pico Projector
Algebra Semana 3 Solucion

The Demand Equation For A Certain Product Is Given By P 104 0 015x Where P Is The Unit Price In Dollars Of The Product And X Is The Number Of Units Produced Wyzant

A Delightful Site For Writers And Lovers Of Words And Language It Is All About The Number Zero Its Place In The History Philosophy And World Literatures We Have Heard Of Calling Someone A Total Zero As An Insult But What Does Zero Really Mean This
List Of Unicode Characters Wikipedia

Example 19 R A B A B Q And A B Z Show A A

11 3 Equivalence Relations Mathematics Libretexts

Good Night Loves ª Sleep Well Good Night Loves Sleep Well Ifunny My Hero Hero My Hero Academia Episodes
Ordinal Indicator Wikipedia

Fondo Virtual Zoom Centro De Ayuda
Find The Values Of P And Q For Which F X 1 Sin 3 X 3cos 2 X If X Pi 2 And P If X Pi 2 Sarthaks Econnect Largest Online Education Community

Manual Msc Prezentaciya Onlajn

xa P6 600 Lumen Pico Projector

xa P6 600 Lumen Pico Projector
Windows 1252 Wikipedia
Alt Codes How To Type Special Characters And Keyboard Symbols On Windows Using The Alt Keys

Fondo Virtual Zoom Centro De Ayuda

Pdf A Graph Theoretical Approach To Automata

Pdf Rapid Multitarget Acquisition And Pointing Control Of Agile Spacecraft
Altgr Key Wikipedia
Altgr Key Wikipedia

Null Space 2 Calculating The Null Space Of A Matrix Video Khan Academy

Chapter P Prerequisites Manualzz

Amazon Com Gigabyte B550m Aorus Pro P Amd Ryzen 5000 B550 Micro Atx M 2 Thermal Guard Hdmi Dvi Usb 3 2 Gen 2 Ddr4 Motherboard Computers Accessories

A Delightful Site For Writers And Lovers Of Words And Language It Is All About The Number Zero Its Place In The History Philosophy And World Literatures We Have Heard Of Calling Someone A Total Zero As An Insult But What Does Zero Really Mean This

Solved 1 Simplify The Following Expression Using Boolean Chegg Com

Homomorphic Encryption Alexander Maximov Slide Title 44 Pt Text And Bullet Level 1 Minimum 24 Pt Bullets Level 2 5 Minimum Pt Characters For Embedded Ppt Download

If X 3 2x 2y 2 5x Y 5 0 And Y 1 1 Then A Y Prime 1 4

34 8 9 3 A C 2de 8 5f 9 A35g3 H I5j 5 5 Hjk3 5 A3g5 A5l9 9 3 A

xa P6 600 Lumen Pico Projector
If X 1 X Then What Is The Value Of X Quora

Ex 1 3 3 Express The Following In Form P Q I 0 6 Ex 1 3



