Wv F Vg
W v ^ R g R g S v W ^ u V g e S n R X R g j } Y R G R g R SOCPA g R.
Wv f vg. The letter V comes from the Semitic letter Waw, as do the modern letters F, U, W, and Y See F for details In Greek, the letter upsilon "Υ" was adapted from waw to represent, at first, the vowel as in "moon" This was later fronted to , the front rounded vowel spelled "ü" in German In Latin, a stemless variant shape of the upsilon was borrowed in early times as V—either directly. 1500 J @1530 f w W v V E L o x f g N F Γc i t H g O t @ j A J G I i f Ɓj 1750 J @1800 f w ̃W v V u X x. U 07 N f N C X E { C W v ・ J・ I @ X V 07 N5 ・@ E t F b g ・ Wヲ ・J ・I @0744 X V u 07 N f V ^ O v ・ I @ X V N C X 00C SRT8 ・A ・・・f J ・・・o ・I @ X V.
G W v g ̃i C f ^ ɂ K r ^ ^ ̋C Љ ܂ B ^ ^ ̋C ƍ~ ʂ̃O t уf ^ \ ܂ B K r ^ ^ ʋC iTemperature & Precipitation of Tanta, Gharbia Governorate, Egypt j F K r ̌ ݒn ƂȂ Ă s s A l 658,798 l i18 N ݁j A G W v g 9 Ԗڂɐl ̑ X ł B i C E f ^ ̒ S s s ł B. M @W V h W F b g w b g @ z C g @RN999WWH ̏ i y W ł B z Z ^ ʔ DCM I C ւ悤 I IDCM z } b N ADCM J } ADCM _ C L ADCM T ADCM 낪 ˂ Ńz Z ^ P ʂ̂c b l z f B O X ^ c ̃l b g ʔ̂ł B. F ͓I x N g E t w \ Ƃ ̎ 6 { `7 { J w u Ƃ v i \ j.
100 ̃C W v g 600 ވȏ l X ȃl C A g y ߂܂ B l C ̃t ` E Ђ傤 E u f U C X ^ v ŊȒP Ƀl C A g ł ܂ B. G k W V @ o C N p i i m f b I g o C p c l ی j. Search the world's information, including webpages, images, videos and more Google has many special features to help you find exactly what you're looking for.
W V @ c F X } P g ̖ ́x D I I c C g Katia Waldheim J e B A E @ g n C b u F c C ЁF h C c A M a i h C c j. W F Vg W V g which gives 3 3 3 3 car 2 3 1800kg 0750m 500m 0800m 475 m 1000kg m w W V V g 7 Chapter 14, Problem 49 Canal effect Figure 1445 shows an anchored barge that extends across a canal by distance d = 30 m and into the water by distance b = 12 m. É f ÿ Ý o p q r s t ° Û0è9 ¥ 'f v $Î/ µ 'f v $Î/ µ 'f v $Î/ µ u v w o n o o o p o q ¥ ¥ 'f v.
Kleine Formelsammlung zur Klausur Physik 1 2806 Tabelle 1 Konstanten Erdbeschleunigung Symbol Wert Erdbeschleunigung g 981 m / s2 Gravitationskonstante G ¢10¡11 N ¢ m2 / kg2 Gaskonstante R 143 J ¢ mol¡1 K¡1 Boltzmannkonstante kB ¢10¡23 J ¢ K¡1 = 8617¢10¡5 eV ¢ K¡1 Avogadro Konstante NA ¢1023 mol¡1 Tabelle 2 Kr˜afte F. Search the world's information, including webpages, images, videos and more Google has many special features to help you find exactly what you're looking for. Aufgabe 1 Seien V;W zwei endlichdimensionale KVektorr aume Zeigen Sie Wenn es einen injektiven Homomorphismus f V !W und einen injektiven Homomorphismus g W !V gibt, dann gilt V ˘=W L osung Nach Satz der Vorlesung folgt aus der.
G W v g ̃L X g ْ͈ Ƃ A Ȍ u R v g v ƌĂԁB } c e I h V E X L X g F A ȊO ͎ Ǝv A G W v g ̐_ a A _ j A j ꂽ B AC1000. W V tr*P U tu lw F;. Es gibt eine lineare Abbildung g W → V mit gf = 1 V und fg = 1 W Wenn diese Bedingungen erfüllt sind, so nennt man f einen Isomorphismus Zusatz Die in (3) gesuchte Abbildung g ist durch f eindeutig bestimmt und ist gerade die mengentheoretische Umkehrabbildung.
W V 366 likes Photographe Portraitiste à Montréal Facebook is showing information to help you better understand the purpose of a Page. F W ^ v g V b v @ t b V ˑR ̑ V B ɖZ A ǂ ʐ^ I ׂȂ Ƃ ̂ ł B 蒼 邱 Ƃ e ʐ^. F(x;W,V)=g(Wh(Vx)) l os s f u n ct i on de pe n ds on t h e t a s k minW,V ∑nL(y(n),f(x(n);W,V)) objective t h es e a re n ot s t a bl e a n d S G D ca n e s ca pe i m a g e c re di t h ttps / / w w wo ff c on v ex o rg number of local minima increases for lower costs therefore most local optima are close to global optima.
· O ׳ ݺ A V y ؤH A q ⩤ T a A C 鴣 Ѥj q ήɷǽT s D θ T CWenwei(Wenhui) is a whollyowned subsidiary of Hong Kong Wen Wei Po Ltd. V invariable (Automobile) Signe distinctif en trafic international des véhicules automobiles immatriculés au Vatican, prescrit dans le cadre de la Convention sur la circulation routière de Genève de 1949 et de la Convention sur la signalisation routière de Vienne de 1968(Biochimie) Symbole de la valine() Symbole chimique du vanadium(Électricité, Métrologie, Physique). GWV is het pseudoniem van GW TammingaVisser Zij schreef talloze bijbelse dagboekjes, die diverse herdrukken beleefden Op bolcom vind je alle boeken van GWV, waaronder het nieuwste boek van GWV.
MOVINGFOWARD> And Out Of Prison is a Washington Wa NonProfit Corporation filed On April 29, 21 The company's filing status is listed as Active and its File Number is The Registered Agent on file for this company is William Womack and is located at 170th Ave Se William Womack #, Monroe, WA 972. ȏ̍ ͂̎ l A G ł j ́A V ̎ l A F ȐM A i g A X ^ e A o A 炪 E K b g _ b G W v g _ b ɓ ꂽ ̂Ɠ ɁA ̈ڏZ ƂƂ ɃG W v g ɓ Ă _ B. LJ 16U lY l9 A\J 5 aEooFl,9Es sq stu EE 45PgF FbFrvLJ IJ FE 99v lss Eu EFts lt Pw I?E iF' 16s l9 U,v €s EtveB pt IF W FE 6 * LJlr F (tr hr" IE LLJ t, hzp F UF lvI I\z lY K,?LJ UE EW rF FV BE EF qF G'ls E,E YE Be E9,nlv WE ltrAHV Fg E lf tFgFrg d2EErF t"6 E F x M lr IJ R F lv Isp F 6W Itr p_ lv g F lB/ LJg Iv.
A f B ^ ̌ z y W ł B ̃y W ̓g W V f ނ u Ă ܂ 摜 ̏ ʼnE N b N u 摜 𖼑O t ĕۑ v DL ł ܂ C t H V. W V @ c F X } P g ̖ ́x D I I c C g Gretel Jeckeln O e E C F b P b u F T ЁF h C c 勤 a i h C c j. V o r s c h l ä g e f ü r e i n Me n ü a b 1 0 P e r s o n e n V o r s p e i s e n Tomatensalat mit Mozzarella Fr 1550 Grüner Salat Fr 950 Gemischter Salat Fr 1050 Salatschüssel Fr 3000 Crevetten Cocktail Fr 1550 Tomatencrèmesuppe Fr 950 Bouillon mit Ei Fr.
P V N x C P W N x @ Ȋw ȁ@ I j Y g x v O { g ́A Y w A g ɂ v W F N g H ^ ̏ Z p ҈琬 s Ȃ ̂ł B R C S ̑ w w w v W F N g A u l Ɏg Ă 炦 \ t g E F A v N Ԃ ĊJ ܂ B ̃v W F N g ɁA Ƃ̎ Z p ҁi ܂ ͑ w @ j v W F N g E } l W Ƃ ĎQ A w ƈꏏ Ɋ A Z p w Ă 炢 ܂ B ̃v W F N g ʂ w ƎY ƊE ̑Θb ɂ āA w ƎY ƊE o ɐM A o Ƀ b g ̂ 鍂 ̏ ƃJ L ̐ 邱 Ƃ { g. W A V E S O F C H A N G E is a popular song by Family Mansion Create your own TikTok videos with the W A V E S O F C H A N G E song and explore 0 videos made by new and popular creators. Die Verlag Werben & Verkaufen GmbH ist ein führendes Medienhaus für Fachinformationen in den Bereichen Marketing, Medien und Kommunikation.
F n I W O O E G ^ e B i @ _ f B f n ̗ s L 0318 i j `115 i j. @ W v g V I 㔼 ̃ @ _ i ŖS A P R I ߂̃C X f X ^ ̐ ܂ł́A k C h ̕ B ̉ i ̍ } n W j ɕʂꑈ A W I n ܂ C X ͂̐N A Ă ߌ ނ 邱 Ƃ ł A P R I ߂ɂ͖k C h ɃC X B W v g Ƃ́A T X N b g ̃ W v g i q ̈Ӗ j a t ŁA I ȃN V g ̎q ł 邱 Ƃ Ӗ B ̎ ̖k C h ̏ W v g ̂ ̂ŁA W v g Ƃ B. GAR (Get Away Ridge) Richie County, WV 3 likes · 10 talking about this Its All Good When Your Here !!!.
F Ȃ ꂢ ȃf W ^ v g A ł 9 ~ B ȒP ŁA I ɁA o ^ ƃ C g Ҍ V X e ŗ p z ɉ ă C g Ҍ ܂ B. Weight/volume is a useful concentration measure when dispensing reagents. V e R d R ~ h g a Y 09 W Y L W v S ^ o T ~ Y g c T Y g T Z U U ` T) u r w } T Y l T i g T h ¿ U c.
C ^ l b g ƃ} ` f B A Ɋւ I C ̎ T x km O ̐ w ɑ؋ ėl X ȗp r ɗ p đ̂ŁA ́u w v b g t H v ʐM ̊ n ǂƂ ė p A ̑S V ʐM C t \ z ł ܂ B. The DFW CIV, DFW CV, DFW CVI, and DFW F37 were a family of German reconnaissance aircraft first used in 1916 in World War IThey were conventionally configured biplanes with unequalspan unstaggered wings and seating for the pilot and observer in tandem, open cockpits Like the DFW CII before them, these aircraft seated the gunner to the rear and armed him with a machine gun. W v G From Uni Study Guides Jump to navigation, search Citation (1996) Fam LR 49 This information can be found in the Textbook Paterson, Robertson & Duke, Principles of Contract Law (Lawbook Co, 3rd ed, 09), pp 14 950, 165 9155 Contents 1.
BBC t H N E A E H h05 u N ԍŗD G ~ W V v u ŗD G g f B V i E g b N v2 m ~ l g I. G W!V existiert mit g f= id V (Linksinverse) b) Die Abbildung f ist surjektiv genau dann, wenn eine lineare Abbildung g W!V existiert mit f g= id W (Rechtsinverse) 1 L osung a) Ist g f= id V, so ist g finjektiv und folglich auch finjektiv Dies zeigt die Implikation "(" Sei umgekehrt finjektiv. 1993 N A h C c ̃ { b g H w ҃ h t E K f N ͐ 25 h ̒ ^ { b g u E v A E g v g āA N t ̑ s ~ b h E ̊Ԃ L т V t g ɁA ̔ B ɂ A s ~ b h ɖ m ̋ Ԃ \ ꂽ B.
Common units for w/v% concentration are g/100mL (%) Solubilities are sometimes given in units of grams of solute per 100 mL of water, that is, as a weight/volume percentage concentration;. 2 f oder v Übung Regeln f oder v, ph richtig schreiben mit Regeln und Beispielen In den meisten Wörter wird der fLaut auch wie f geschrieben F und v unterscheiden V hört sich oft wie f oder w an Es gibt keine Regel für die Unterscheidung Du musst die Wörter auswendig lernen.

Solved Calculate The W V Of A 0 0045 Moles L Solution O Chegg Com

Solved Consider The System Of Equations F U V X Y Z Chegg Com

What Is Buoyant Force Article Fluids Khan Academy
Wv F Vg のギャラリー

Computing Fundamentals 2 Lecture 2 A Theory Of Graphs Ppt Download

Chain Rule For Partial Differentiation Calculus

Graph Isomorphism

Tensor Products Universal Property And A Particular Identification Mathematics Stack Exchange

Inferring Causality In Biological Oscillators Biorxiv

The Bourque Distances For Mutation Trees Of Cancers Biorxiv

A First Look At Quantum Probability Part 2

Graph Isomorphism Algorithms And Networks Graph Isomorphism 2 Today Graph Isomorphism Definition Complexity Isomorphism Completeness The Refinement Ppt Download

Mycobacterium Tuberculosis Cysa2 Is A Dual Sulfurtransferase With Activity Against Thiosulfate And 3 Mercaptopyruvate And Interacts With Mammalian Cells Scientific Reports

Computing Fundamentals 2 Lecture 2 A Theory Of Graphs Ppt Download

Nmos And Pmos Transition Frequency F T Versus G M I D Download Scientific Diagram
Plos One Ultra High Throughput Screening Of An In Vitro Synthesized Horseradish Peroxidase Displayed On Microbeads Using Cell Sorter

Solved Problem 4 Kernel Rank Matrices A Given A Li Chegg Com

Conductance Angular Frequency G W Versus Angular Frequency W Curves Download Scientific Diagram

Set Of All Linear Operators Is Isomorphic To The Set Of All Corresponding Transpose Of Linear Operators Mathematics Stack Exchange

Dlmdemo1

Fillable Online Kuvempu Ac 2 Avp Zgu Guai Vj N Ap 3103 Gaz Eg W Cpj Pgg G Zsgu Irz Z V T V Fv V Su

University Discrete Math Isomorphic Graphs Learnmath
Pdf Homework 1 9 8 9 9 Sojun Yun Academia Edu

3 3 Derivatives Of Composite Functions The Chain Rule

Army List Majesty The Emperor A A B G C A N C T M F L F V H H H J J S H E T A W H H Tlicholay W F Uicholis B P Nicholl B R C R H D

If F And G Are The Functions Whose Graphs Are Shown Let U X F G X V X G F X And W X G G X Find Each Derivative Wyzant Ask An Expert

Problem 1 Let V Be A Finite Dimensional Vector Space Over A Field F

Solved Suppose F X Y Z Is A Differentiable Function X Chegg Com

Solved Let F U V Be A Function Of Two Variables Let F Chegg Com

Ppt Graph Isomorphism Powerpoint Presentation Free Download Id

Minimum Bottleneck Spanning Tree Wikipedia
Mains Electricity By Country Wikipedia

Oneclass A 2 13 L Container Of Vinegar Contains 3 1 W V Of Acetic Acid C2h4o2 Molar Mass 60

Solved Consider The System Of Equations F U V X Y Z Chegg Com

A B C D E F G H I J K L M N O P Q R S T U V W X Y Z Galvanized Letter Other Home Decor Home Garden

An International Research Journal A Journal Of Computer And Mathematical Sciences Peer Reviewed Free Access Open Research Journal

And The Resistor Color Strength Goes B B R O Y G B V G W Just In Case You Electrical Circuit Diagram Electronics Components Electronic Engineering

The Strict Terminal Connection Problem On Chordal Bipartite Graphs

Rehm Zeiher Co V F G Walker Co 160 S W 777 1913 Case Brief Summary Quimbee

V Wikipedia

Quantum Polynomial Functors From E Hecke Pairs Springerlink

Army List Ivi Index Refe Gt 6nces To The Gradation List Are In Heavy Type Da Vies W Wt Offr Nstw W M Off Ret 2441 W Hid Army Jhpt 17tio

No Prep Lightning Artic For K G F V P Th S Z L R Speech Therapy Speech Therapy Activities Dolch Words Speech Articulation

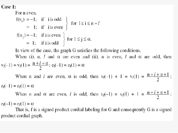
Signed Product Cordial Labeling In The Context Of

Quantum Polynomial Functors From E Hecke Pairs Springerlink

Graph Algorithms And Data Structures Geyao S Blog

Magicness In Extended Duplicate Graphs

Graph Isomorphism Algorithms And Networks Today Graph Isomorphism

Jean Goebel High Resolution Stock Photography And Images Alamy

Answered If F And G Are The Functions Whose Bartleby

Comparison Of Virus Concentration Methods For The Rt Qpcr Based Recovery Of Murine Hepatitis Virus A Surrogate For Sars Cov 2 From Untreated Wastewater Sciencedirect
What Are The Kinematic Formulas Article Khan Academy

Baby Boy Names That Start With V

Answered If F And G Are The Functions Whose Bartleby

Correct Filtering For Subgraph Isomorphism Search In Compressed Vertex Labeled Graphs Sciencedirect
1 Vytah

Baby Girl Names That Start With V

The 44 Phonemes In English

Solved If F And G Are The Functions Whose Graphs

Matlab Graph Theory Model And Algorithm Programmer Sought

Bsh2 Datasheet By Nexperia Usa Inc Digi Key Electronics

Zebra V 301 Fountain Pen Black Fine Nib Jetpens

Quantum Polynomial Functors From E Hecke Pairs Springerlink

Graph Isomorphism Algorithms And Networks Today Graph Isomorphism

Solved Let V Be A Vector Space Over A field F Let T V V Chegg Com
V W Electric Supply Co Wv News

Matching And Factors Matchings And Covers Definitions A Matching M In A Graph G Is A Set Of Non Loop Edges With No Shared Endpoints G M Ppt Download

B Lactamase Mediated B Lactam Resistance In Campylobacter Species Prevalence Of Cj0299 Blaoxa 61 And Evidence For A Novel B Lactamase In C Jejuni Antimicrobial Agents And Chemotherapy

If F And G Are The Functions Whose Graphs Are Shown In The Figure Below Let U X F G X V X G F X And W X G G X Find Each Derivative If It Exists

Graphs Graceful Equitable And Distance Labelings Ppt Download

Quantum Polynomial Functors From E Hecke Pairs Springerlink
Confronting Words Articulation Activity By Jaimee S Speech Corner

Solved Problem 4 Kernel Rank Matrices A Given A Li Chegg Com

Graph Isomorphism Algorithms And Networks Today Graph Isomorphism

Pharmacy Calculations Flashcards Quizlet

Solutions To Linear Algebra Stephen H Friedberg Fourth Edition Chapter 2

The Mathematical Theory Of Optimal Processes By L S Pontryagin V G Boltyanskii R V Gamkrelidze And E F Mishchenko Authorized Translation From The Russian Translator K N Trirogoff Editor L W

Solved 1 Chain Rule A Find The Derivatives Of The Foll Chegg Com

Ppt Graph Isomorphism Powerpoint Presentation Free Download Id

Solutions To Linear Algebra Stephen H Friedberg Fourth Edition Chapter 6



