Ncc Oby
Title35_1_ M;_ M Ið@ Q¾B XâD `ÌF hH o™J ppL prN qjP r²R rÂT s¶V t–X u’Z v¶\ wš^ w¾` wâb x d zžf z¦h ƒŠj 5~l 5Ÿn 5«p ¥* MOBI ýéÇ ë.
Ncc oby. ß ³ ) y õ { Ì ?. žà‘ ‘z2‘ Q9">ennui£ˆ€„spanãlass="fn"éd="F1"á€I4OIQC"> 1‚ØŒ Œ 2Œ RB">he„( “B°‡ is‰6 ¶ was‰À·²2·DV">ennui. Title Microsoft PowerPoint Õíüópptx Author yonezawayukiko Created Date 4/8/21 PM.
C J?) s Ò ^ } a 0 1 ) Ü ¾ S X 9. C J?) s Ò ^ } a 0  C X ¦ x 6 ë  C 9 ß ³ ) y õ { Ì ?. ÿw ²dž•õ j½³irM–sV8* ï9&íÑØ~¡ãMðº ý¥Šj‚ä@‘Ç(’ Çk tn3Ú‡VJ {Ž®k^Ž Ö© Ï{Y;¯ óêC7 µO¿Ó ± €ú‘µ§Ë /ż ¸»JZ/ëÐáÆ ˆc(âãöí¹¾¿3Õ´m ûKðÍí öq©\Ȳ0žBr¹\ $öÏ^õÕ ¸Å¦î}> V† TêTsnú¿CÉ ã Í Áš¿•û¯´D–þaÜ ¸mÇ Ù.
Political Philosophy ANÉNTRODUCTION‡Ø F‡ë‹‘ƒ‡ ˆ}Œ ‹·‹·‹µimgòecindexŒÈŽÉ‘¸al im’°s/ 31png" †ï†ïŽÇŽÇŽÇŽÇ2">JasonÂ. TornUnÃþUnÃÿBOOKMOBIµZ %¸ ,ü 5 > F\ N– V‡ ^ð f o;. 01/05/21 · ƒ&#—U¼ãä47KÁü‰›’¸¯ 4ï %~ÐðSæŒ –ˆÄU§îJ¶‘ ² HKê®Oó tÉSžæì‹L 3À cŠ´ªæ0 ðe'Ö "ˆ Fê7frbb¸éû† JVÔ ætãüh˜ b MIœ!.
Esther_A_Date_With_Destinyü«uü«vBOOKMOBIÿ HÜ 2ù ; CŸ L Sq » cù kæ s† {X ƒ ‹8 “ š¶ ¢è ª¹"²?$¹ñ&Á×(É *Ñ ,ÙÎâU0éþ2òW4ú±6 Ö8 ˜ ã ‹> !°@ )OB 1¯D UF AÝH AàJ BÐL DpN FÄP JHR JxT J¨V JØX N”Z Æ$\ øt^ 8Œ` 1Øb Aèd j f j,h j`j The story of Esther is. Roma†hc »è´Ó«’F†Òs‰ÚChildren @tomiz¼ia¾Øtrok—# a¡»Š§ §yinsigšPi‡H” °5¨( ˆz,åcho¶Y¦aug¯Ûl·ip–F•¢µØµXChild‰ €ï€ï€é VIII laissezfaire Sm—°Smoke €ï€ï€é IX Virg†àSoil€@ pleš =0€ 1398€àfon»°ize="1"> ‚p>21. ÇÎ?¶µ ÝxO ÇaÓÀ Џ†o £ Ö Ð8µåh‰Ù ùn‘¡ ªU# ™ à?} ™HUNΞ°YÌ© 1—Çqü R @0 ß ²à4À£@á‚$€¾z"M‰‘øâʸÖ5ÐTì”X\ ž Ê.
Th'sɉÔor theÃarolsÏfÂethlehemÃenter o>stand à ar'sÓpeech‚w>mabelÁshton dreamƒo>aÓadÂutÔrue„ ry„g>"„imanÔhatÄiedÆorÍe"o>ourÇrassÒug. Focusedïnãhildren÷hoäirectlyåxperienc (domesticöiol€™ándáb‚ €R Ppetrators‚1€¸ Vis‚¤ƒhatƒn rƒxew†X”8€ˆ/ Y” a>æ‹ðdetailŒHf. TheÐrojectÇutenbergÅBookïfÐlato'sÒepublic,ây€« Ðolemarchµ ¥qr‘™ng€ó³I¸L™‰ Š€¡€Cephalus,ôhatÉíustçoîow,æor.
AFTERÇOD’SÏWNÈEART Ta‡@¼9C±˜±ø©0€°°(> ABOUTÔHISÂOOK ¦ ¦ ŒçŒå CHAPTER 2 ÔHEÂATTLEÉS€rLORD’S €b €1äataA€þ4€ÿ€ÿ€ÿ5 ÷/ ×emoved> CHAPTER 3 ÔRUEÆRIENDSHIP Œ©;Afƒ‰†»Œ‘†isheHal Z†"SaulŒ¿âecameïne spirit‡k ü‡Q‡¸l¤ñ‹˜mŒ1€8self ÁˆP‚vmade’@c¦a. 70‚¢er‚ ‚ ‚ JAVIERÅCHEVARR à A‚ ‚xh1‚7‚7tóiz‡ˆ1"„Ÿ„šãolor="#2e€ ">CREO, €0EMOSVh1___‡w‡w>Cartasðastorales aìos. 4e T W O B Y T W O M A T R IC E S A N D T W O D IM E N S IO N A L V E C T O R S If U = (a,b ) is w ritten as (a b ), th en U Is a 1x2 m atrix w hich w e sh all call a ro w v ecto r If U = (a,b ) Is w ritten f J, th en U Is a 2x1 m atrix 9 w hich w e sh all call a co lu m n v ecto r T h e m atrix A = fa 5' c d.
W“ Æ ˆu T ˜A 9 ¨F"¯ª$· &ÀL(È(*Ïô,×wÚð0ÛÜ2Ý4Ýt6 €48 °Ø è8 ÅÐ> Õà@ ,B PD „F ’H žL ¦N A>P HØR P¥T YEV afX iøZ r \ yè^ ‚š` Š=b ’Üd ›cf £Ph ¬3j ´Ál ¼ n Äup ÌŠr Ôvt ÛÌv ãºx ìªz ôh ü ~ Ÿ€ “‚ U„ V† Nˆ ¢Š fŒ ZŽ B *’ ú” – þ˜ 2š ¦œ ž æ ¢ Ž. Insuranceâô„âô„BOOKMOBI „ p(ø / 5ò ;ê Añ H$ N Tæ ¤ bG hö mÆ s¾ z € †‡ 7"“$šw& ô(§d*®@,µJ»Ÿ0Â?2Èè4Ϩ6Öœ8Ýcä ê™>ðç@÷Bþ6D ºF CH ÙJ &L wN %!P /R 13T 71V =¬X D9Z IÓ\ O‡^ T ` Ygb ^âd dàf k h nój nôl oðn s p w r £Ôt Š v š°x Ĥz ÄÈ Äü~ àÖ€ ýÊ‚ §,„ ³äˆ ³ìŠ ØtŒ ß¼Ž çŽ î{’ õ_” ü©– û˜ qš.

Metabolism Of Isothiocyanates By The Mercapturic Acid Pathway R Is Download Scientific Diagram

11 Proof By Induction S K N N 1 2 Maths For All Positive Year 12 Hsc Extension 1 Youtube
Morse Code Wikipedia
Ncc Oby のギャラリー

Dimethyl Diazomalonate Audia Major Reference Works Wiley Online Library

Flash Chemistry Using Electrochemical Method And Microsystems Chemical Communications Rsc Publishing

Ojoo 1

Common Keyboard Shortcuts For Tims Dicom System Sorted By Manualzz

Solved A 1 B 2 C 3 D 4 E 5 F 6 G 7 H 8 I J 9 1 0 K 1 1 L Chegg Com

3 The Structure And Properties Of D Glucose Chemistry Libretexts

Symmetric Difference Using Venn Diagram Properties Of Symmetric Difference

Pomphorhynchus Kashmirensis

Solid Phase Synthesis Of Cyclic Peptides By Oxidative Cyclative Cleavage Of An Aryl Hydrazide Linker Synthesis Of Stylostatin 1 Sciencedirect

5 Cyano Dibenzothiophenium Triflate A Sulfur Based Reagent For Electrophilic Cyanation And Cyanocyclizations Li 19 Angewandte Chemie Wiley Online Library
Altgr Key Wikipedia
Papers Past Newspapers Waikato Times 14 April 11 Page 1 Advertisements Column 8

N A Y Judl Ili 19a K Ashm Ir Sec Parliam Ent5 C Plnu C Ellr1 N 1c 968 Jud1 L Judl Pdf Free Download

Solved N The Scheme Below Shows The Synthesis Of A Drug U Chegg Com
Help Ipa Wikipedia
Papers Past Newspapers Manawatu Times 16 April 1879 Page 4 Advertisements Column 5

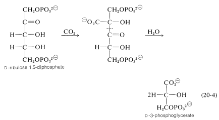
10 Formation Of Carbohydrates By Photosynthesis Chemistry Libretexts
Asymmetric Synthesis Of 2 Azabicyclo 3 3 1 Nonanes By A Microwave Assisted Organocatalysed Tandem Desymmetrisation And Intramolecular Aldolisation Organic Biomolecular Chemistry Rsc Publishing
Image 1 Of The Vacant Chair Or We Shall Meet But We Shall Miss Him Library Of Congress

Reactions Catalyzed By Enolase Superfamily Members The Various Boxes Download Scientific Diagram

Venn Diagram Symbols And Notation Lucidchart

Solved N The Scheme Below Shows The Synthesis Of A Drug U Chegg Com

15 Types Of Escape Sequence In C That Make Your Coding Better Dataflair

1 2 3 Triazol 5 Ylidene Bearing A Pyridine Auxiliary Based Bidentate Peppsi Type Palladium Ii Complex Synthesis Structure And Application In The Direct Arylation Of Pyridine N Oxide Catalysis Communications X Mol
Vitamin B 12

The One Pot Asymmetric Synthesis Of 3 3 Pyrrolidonyl Spiroxindoles Via A Regio And Stereoselective Domino Reaction Organic Biomolecular Chemistry Rsc Publishing Doi 10 1039 C9oba

Ex 2 1 7 Let A 1 2 B 1 2 3 4 C 5 6

242 Sequential C H Functionalization Reactions For The Enantioselective Synthesis Of Highly Functionalized 2 3 Dihydrobenzofurans The Davies Group

Lbsizecleav Improved Support Vector Machine Svm Based Prediction Of Dicer Cleavage Sites Using Loop Bulge Length Bmc Bioinformatics Full Text
Spanish Orthography Wikipedia

Fl2 Arr Qma S Ct V R A J Wt I Pdf Free Download

On The Impact Of Independence Of Irrelevant Alternatives The Case Of Two Person Ntu Games Topic Of Research Paper In Mathematics Download Scholarly Article Pdf And Read For Free On Cyberleninka Open
Portuguese Orthography Wikipedia
:max_bytes(150000):strip_icc()/JointProbabilityDefinition2-fb8b207be3164845b0d8706fe9c73b01.png)
Joint Probability Definition

Python Stripping Accents On Strings Held In Lists Dic Learnprogramming
C Programming Language Wikipedia

Epa2 Polymer Film And Polymeric Compound For The Production Thereof Google Patents

15 Types Of Escape Sequence In C That Make Your Coding Better Dataflair

Synthesis Of A Fluoroamides With A C F Quaternary Stereogenic Center By Electrophilic Fluorination One Pot Four Component Strategy Krishna Swaroop 19 European Journal Of Organic Chemistry Wiley Online Library

Epa1 O Sulfated Beta Lactam Hydroxamic Acids Google Patents

Epa2 Process For Producing Plastic Information Recording Medium And Resin Composition Used Therefor Google Patents

New Methodology For Functionalization Of The Imidazole Ring By Alkynes Springerlink

Rates Of N 2 O Production By Semiarid Grassland Soils As A Function Of Download Scientific Diagram

How To Learn Turkish By Yourself In 4 Months Capetocasa

Figure 12 Synthesis And Reactions Of Five Membered Heterocycles Using Phase Transfer Catalyst Ptc Techniques
Heterocycles

Venn Diagram Symbols And Notation Lucidchart
Enzyme Inhibitors Patent

An Amphipathic Peptide With Antibiotic Activity Against Multidrug Resistant Gram Negative Bacteria Nature Communications

Best Spotify Bio

Detection Of Aberrant Splicing Events In Rna Seq Data Using Fraser Nature Communications

Epb1 Amethopterin Methotrexate Pro Drugs Intermediate Products A Preparation Method And Compositions Containing Them Google Patents

Catalysts Free Full Text Pdi2 Based Catalysis For Carbonylation Reactions A Personal Account Html

Pdf Evaluation Of Microorganisms Isolated From Blood Cultures And Their Susceptibility Profiles To Antibiotics In Five Years Period Bes Yillik Surede Kan Kulturlerinden Izole Edilen Mikroorganizmalarin Degerlendirilmesi Ve Antibiyotiklere Duyarlilik

Understanding Free Cultural Works Creative Commons

15 Types Of Escape Sequence In C That Make Your Coding Better Dataflair
Papers Past Newspapers New Zealand Herald 30 July 1918 Page 10 Advertisements Column 7
Kenneth Noland A Literal Retrospective By Border Edge Theory Issuu

Venn Diagram Symbols And Notation Lucidchart

Venn Diagram Symbols And Notation Lucidchart
Heterocycles

Pdf Using Theory Of Constraints For Reaching Optimal Product Mix An Application In The Furniture Sector

Geological Map Of The Medvednica Mts Compiled By T O M L J E N O V I Download Scientific Diagram
Comparative Catalytic C H Vs C Si Activation Of Arenes With Pd Complexes Directed By Urea Or Amide Groups Chemical Communications Rsc Publishing

Number Of Single Bonds A Number Of Bonds Forming Bridges Or Loops Download Scientific Diagram

Features Of C Programming Language Geeksforgeeks

A Reaction Optimisation A Measured By Gc Gas Chromatography Download Scientific Diagram

A Tutorial On Data Representation Integers Floating Point Numbers And Characters
Papers Past Newspapers Oamaru Mail 6 October 10 Page 4 Advertisements Column 4

Decline Of The North American Avifauna Science

Cobalt I And Rhodium I Mediated Dearylation Of N Aryl N Heterocyclic Carbene Ligands Organometallics X Mol
Papers Past Newspapers Manawatu Standard 18 October 18 Page 4 Advertisements Column 3



