Xi
G K C c X b s Ü K Z > ~ r M í « Æ î î ¥ î » Í Ý ² î @ Ü K Z 8 b c%&6 > g%&6 M seo150/210, seow 5) YAMAHA ea—ñ— 79 4 2 (185) co BCS150 210 ea—h— 80 84 100 50 86 60 R75 @ ñ—ffllJîîy 3 M5.
Xi. ¤ ² î h p ¦ ê ç f Ö d ð · Å Ö j ú ß Æ é n û j ú ¤ ² î h p ¦ ê ç f Ö d ð · Å Ö j ú ß Æ é ² è s 0 ¨ m } ß j ú ¤ ² î h p ¦ ê ç f Ö d ð · Å Ö j ú ß Æ é ß j y ú ß j ú ¤ î ¦ ê ç f Ö d. _ c>* Þ î ¨ î \7Á Ê Å î Ò @ 6 @>*7Á Ê Å î Ò _ X 8 Z cARCAM &k @ ^ · A @ Z A Z 8 >, M >* Þ î ¨ î. X `0d û X c ö a K Z 8 @ "I _14 º ?.
{>& s X d U>' ´ 4c>& º Ü µ î Ã å ² î «>' ¨ Â5 >& Ã å É å>' ¡5 0ê8b & ¿4 ª × ½ >' û4S ,F>& Ã å É å>' å#ã C s>&>M>K>Q Â » Ñ å º å ¡ Û È>' U ) ô S. é5 Ç4ø ²'Î 3'Î Ô Ç Ç Ò á ¿ 1)9Ú ã Ä é1ú Ò 1ñ æ Å Ì ;. X b)~ u ¥ $Ï6 K Z 8 c )~ u ¥ æ $Ï6 'ö#$ @/²&g I r M b ° K Z C T I 8 î » @ < I r K S } b$Ï6 'ö#$ @/²&g _ 8 ° K Z C T I 8 î »$Ï6 @) ~ r K S } ¢ K Z C T 8 )F E Z ¶ v ( î »$Ï6 8 l4 C T I 8.
² î Ê "ú ç ° 7 Á ó Â G Â Ì & X « S Ë Ñ Ë v M ~ å p G I _ t ÿ « ² î v M ç G I _ t ÿ « ² î g æ Ö Ô Ö ª S Æ ª ± Ë _ O ´ « Berhenti menggunakan Kipas Siling apabila apaapa keganjilan atau kegagalan berlaku dan putar Pemutus Litar Miniatur kepada “OFF”. 5 Bagaimana Memasang / How To Install / « ² î 5 Cara Penggunaan / How T o Use / « " J!!!!!12. }16 º _ ?.
} ¡ I v b @ ' Ü î ² î \ I G } c ' _ > 8 Z ö 9 ¨ ö b0{ ' _ > E V ) ( _ c ö 9 ¨ ö « ¥ @ ' Æ b p ¸ Í è V b5 ö @ µ r p ¸ Í c ö 9 ¨ ö « ¥ @ j c ^ K b5 ö 7V ¥ K Z ô I >&>1>'4 A Ø ½ Â î « 4 A Ø ½ Â î « c ² ' b ' Ü î ² î b U. >&>0>' ' Ü î ² î 0v æ X G#Ý5 ö ?. Sep 01, 11 · This paper deals with the problems of consistency and strong consistency of the maximum likelihood estimators of the mean and variance of the drift fractional Brownian motions observed at discrete time instants.
í £/ Ü î ² î c > $Ï £4( x ³ Ã l g Ó å Â î b"g # 8 K Z Ã î ¸ î ó ² _$Ï } O & _ W £ I O > S u _ 2 õ â W Z/ · M í § È Ü î ² î c Ü î ² î § Ï î º M Ü î ² î @ Y1* ì _ c Ü î ² î _ æ W Z Ã î ¸ )"á M. '¨>6 ² Î(Ù b Î(Ù 6ë c '¨>5 ²>& Î(Ù b B'g>''¨>/8o B'g K S Î(Ù ¥ ?. F @ ^ Ç H A é 1 æ$ Ô9Ú ;.
9 b º Û å « ª å ² î#è ö c 2 b0 ó _ X 8 Z ¥ c a K v ¥ @ 6 \ í S C I b Q ?. '¨14 ² ($Î/ 4 X b Ì'¼) c 8"@ b$Î/ 4 X 0É M S u #å _ P K0. 0, whenever x # 1 Thus, as elements of QX, each such Bn,x can be described as having a denominator that is a divisor of f x The case x =1 is best considered in terms of the classical Bernoulli polynomials Manuscrit requ le 21 mai 01.
Þ î ² î 1n*f b Æ c è W £ K Z 8 r M '¨>1 G% 1n*O u7µ S)z _ X 8 Z *f V ³ ¼ W0 Ò>/ '¨ G% 1n*O /¨ Í#ì @ b0b *f V ³ ¼ W0 Ò>0 '¨ G% 1n*O Þ î ² î b0b *f ³ ¼ W0 Ò '¨ G% 1n*O 8¼ _ X 8 Z *f /¨ Í x Þ î ² î. L#ã ¡) >& º Ü µ î Ã å ² î «>' V ê%¼)a*6 >& Ã å É å>'!Ã1Â £ ¡ ³ >& ¿4 ª × ½ >' ¨#ã H,ï>& Ã å É å>' ` n ?. D>4 v è7F b Þ å ² î c #' ~& K Z > ~ r O b & '¨ 5 u Z 8 B I O Z8l A r M í G b Þ å ² î c0b x M 8 \ G _2 W Z8l A 5 ¥ & 1 b V >2z K W I 8 í c 1n ¥ M « Ñ å ¢ b Þ µ « å c 6 ~ r O S T K w Ü c >8 r M í å ² î.
} ¼7F ¥ î » , A K ) g% o 8 Z C T I 8 M$ V4 b « Û µ º _ Ü 8 Z 8 «. º0) s Q 7 F Ö I s Ì s Ö \ Ö ¦ ñ Æ è ¸ Ö à Æ ë · ® X { J ,$ þ , ¹ ê Å ¡ · þ , ¹ F Ö ¤ R ¥. Season Months Temperature oC F Summer December–February Warm and humid 16 6479 Autumn March–May Warm to cool 1522 5972 Winter June–August Cool to cold 817 4863.
X Ô d d ¦2 ²0 (Ù ì>& M m Z b § î Å « 0 (Ù M ì>' _ ²0 \ ^ ,3¸)z \ ¥ 0¿ Ô d M d ¦ ^ >8 Ç G 7 >8 Ç G "I >8&ã3?. %ttirhm\ 17' ª Õ Ã å1 º µ É æ x %ttirhm\ b ' Â Þ µ ª% _6õ m » Û å 'srxirxw 17' '31 ` 4eki sj k 17' rg %pp vmklxw viwivzih 4piewi vijiv xs xli hmwgpemqiv ex xli irh sj xlmw hsgyqirx c l u _ f æ x g. Ð X ghX_`ÑY3i X Y3`a` ouX Tal*n$jkwTWZÒ®ÓopTWjhnÔjkn(X cZ(X l$YjkTWb*Z(w TaZl£w n(b*g jhXw jc_4Yjhn(w TWZØf(TWghX i jkX fÕY3i\ &i `aTWi l3gkY3_(nw.
A Î GdA`Vv ² Î S GS ÎV ( Îp`( ÎZG@ Î v o D Z } À } Z } ( Z X } v o o Ç U } v ï ì. Jun 01, 14 · The ShellModel Code email protected BA Brown1, ∗ and WDM Rae2 1Department of Physics and Astronomy and National Superconducting Cyclotron Laboratory, Michigan State University, East Lansing, Michigan , USA 2Garsington, Oxfordshire, OX44, UK Use of the code email protected is outlined It connects to the ENSDF data ï¬ les for. * # % Ö · 4 v k z À p Õ ' Ö · å H !.
¯ _ ² î & X Kandungan / Contents / T k Muka surat / Page / LangkahLangkah Keselamatan Dan Pencegahan / Safety Precautions / ² z ö 2 BahagianBaha gian Yang Dibekalkan / Supplied Parts / Ñ Ø U o!. } Î(Ù* @ æ K S 0 Î(Ù 6ë b f _ X 8 Z c Î(Ù* @ "&k æ b#æ3¸ 2 _ Z#æ K3¸ t v b \ K r M >&. î » Ü î ² î c ^ C 8¦1 0É Ó Û x8¦1 0É º b Ü î ² î ° S'ö # / _ X 8 Z v )¼ _ ö Y #Ý 0£ V M >& 0d2N ° _7H >' ^ > Ü î « b c w @* b2 ¸ \ M r S î » Ü î ² î è ¥ b µ þ>& Ã ¯ ¥ å µ þ b0¿*(2 c w @* b2 ¸ \ M î » Ü î ² î.
æ1¡ Ò Ú9Ø ê5 1ñ ã4ø ²1ñ Æ 2 4ø ² Ç 9Ô Ñ1 ó 9Õ â. X Ð ¸ Ü Ý ª µ ¸ å ¢ ' b/æ*(6ä$Î v/ u Z 8 >, è W _>* q3Æ b · ¥ _ X 8 Z) Ó M >, (1) à ² î Ë µ »(PBF) ' à ² î Ë µ » ' _ > E ;. Alex½Ð¹ØDie Èc´Ès Lu¦ ania ‚ðšÐar¡ÙžHns†*~Kienzle‹ Š16£ƒŒg§‘¢è„¹¦y—Àolv˜ ¤°yŸ.
X ú ² ^4 4 b S u b _ ¹ w b ß) s b'Ç _ ¥ E Z b _4) K S % %i \ c Q R b \ _ > E ¡ ß « Î î ² î Ð!l b% %i _6õ K Z %& « b 8 \#0 _ ö Y A N W ¶$× ^ / D u î & 1 M 2 ¨ 6 ~ r S. FÆ @fÇ4 fûg g ffég fãføfÜfÒg g féf¹ ffÜfÒg fÿ v&g'¼fûfö4 )!fçg féf¹g fïf¸e fþ pfþ x Ðfÿf¸ 5 g xg"&gfçg féf¹ g >Ý>Þ v>à ¥f¸ ¾ ¿g8gxg gbgqg=g g_gwgxg gbgqg="i 9 p*( 2'¼fþ m4 g" 5 gfég 2 fÜ ¶ xfûg g f¸>ã>Û>Þ>Þh fþ ¥h h >Þ>ßh gggkg grfþ ¥h fÜ& ¥fû ff¹. }4 #Ý 6ä I r M >& G O Z ú ã 7d) b P Â 1 Â M c.
² î Ê "ú ç ° 7 Á ó Â G Â Ì & X « S Ë Ñ Ë v M ~ å p G I _ t ÿ « ² î v M ç G I _ t ÿ « ² î g æ Ö Ô Ö ª S Æ « Berhenti menggunakan Kipas Siling apabila apaapa keganjilan atau kagagalan berlaku dan putar Pemutus Litar Miniatur kepada “OFF” (Risiko asap, kebakaran, kejutan elektrik dan terjatuh). G b Ø c § å ² î µ º >X î>2 H2N ° 8 S T A r K Z1 _ w ~7´ Ù 8 r M H Q#Ý S _ è W b Æ C >1 s b V G K C > Q 8 W I 8. E Z ± û c>/ S&k ?.
² / $Î/² K Q b##ä è0¦ M >0 b ± A I @'¼ K C3ë ¥ A 6 G \ _ < Z 8#Ý)z @ M´ M ú ~3É ~ b 8 q ¥ #Õ q _ > 8 Z>0 @ X ~ #'1ß ¶ * < r. ² î Ê "ú ç ° 7 Á ó Â G Â Ì & X « S Ë Ñ Ë v M ç G I _ t ÿ « ² î v M ç G I _ t ÿ « ² î g æ Ö Ô Ö ª S Æ « Berhenti menggunakan Kipas Siling apabila apaapa keganjilan atau kegagalan berlaku dan putar Pemutus Litar Miniatur kepada “OFF” (Risiko asap, kebakaran, kejutan elektrik dan terjatuh). 4 7Á Ê#æ13# C c v 1 ¥ ?.
K % = ® Ö · Ä Í * # % Á E ° a Q ù 8 ± þ. }47 &k Q K Z 8 p p0d û X c53 S&k b U3 S&k ö a `0d û X c305 S&k b U S&k v ö a M ^ `0d ¦ * X b ö a @% 'g W Z 8 * Email kashiwagirika16@gmailcom. å ² î Þ b263) b0¿ ° k r m 6slqh b0¿ å ² î Þ lqwhuidfh ls dgguhvv hlw lqwhuidfh ls dgguhvv hlw lqwhuidfh ls dgguhvv hlw lqwhuidfh ls rvsi duhd ls rvsi qhwzrun srlqw wr srlqw qr vkxwgrzq hlw 6slqh b0¿ å ² î Þ.
E $ % ü / ý / " > ·r ø ÷ ÷ ÷ ÷. ¢ Ý î É ¢ Ý î É Ü î ² î>' Ü "> Ê ¶ &k ó ²) Ó 4 ó ²'ö#4 (6 z'ö Ú > 6â 6 8 I X Ã Ý d É ß ¢ Û Ò b Æ í$Ï m* c4 _ ~ f \ ^ @ H J 8 r M >1>, g 2 W0° Ü å ¡ b å Û å#æ K3¸ s Ç î Ò ?. /² $Î#Õ5 l g # í (5 >&5 /% í 7d '8® 9>8 n>' /² $Î#Õ5 l g # í (5 >& Y ·#Ø í"@ 2$2 '8® 9>8 n>' /² $Î#Õ5 l g # í (5 >& Û/¡%Ê'2.
6,ª, @Ê9 ef 3â0 9æ /jh Ã8&3r @Ê9 ef ;rr9 %v3 9 *² g² aª*²"î r í õ v*~ 3 8& %vgÊ 7¢, % % x 3ã/j w î ì î í# î9* í ô9Ò ,ÿ8ê9Ò. ß ³ ß $ ¤ ´ ¯ d ì , À à Ë ³ ― m x ¿ i ÿ 8 º , 5 ý ― " 4uvez po /btbmjbujpo boe bufsbmjbujpo jo ,psfbo ― "o 0qujnbmjuz 5ifpsfujd "ddpvou ―. F @ ^!ª5 Ç4ø ²'Î ê9Ø7 6 1f é £!.
} ç ô>1 º>1 v>3 ¥ 5 r _ >#æ K3¸ s C T I 8 >& ¥ 1 >'. R b \ _ ¡ ß « Î î ² î Ð!l w M 5 /% µ6õ>& è W 5 /% µ6õ \ 8 >' b ó ² ?. ¥ /² $Î'5 9 0b3æ ~ Ç X í'5 k$ ì6ë ¥ /² >/ '5 6ë&ã · b m.
^ \ î 8 r M \3Ù m S Q K Z 2 @ º Û å « ª å ² î. G \ u ª å ² î ¹'¼ 2 4#Ý M G \ _ &g K Z 8 *ñ 0¿ \ ö&O M*ñ _ > E *Ë (6ë b ª å ² î í Â Û å « b4 G ì % æ K Z %, c8 X b. The values x(a), a E Z, then it can be shown that fxB,,,x must be in Zx for each n >.
_ X 8 Z 8 ¸ î É Í Ý ² î Ð ¼ « » Û Â î v ¥ K Z C T I 8 d H @ e ì _ W Z ¸ î É Í Ý ² î b g"g @$ ^ ~ r M b H @ W I 8 Î º Ò Þ î Ý ?. 8 · Ý x I î ñ ý d E Q × W \ ( F Ñ E º Ð W \ 7 d b y À ² b × > a D î 2 û \ 8 M I Q × ( X Ñ î I r Ë Ý Z Q Ú s 8 û Þ v P I z x I ¯ ² W £ > ì = Ù J 3 ¶ x 5 ý z x û À Ø º ç á û S î n Ä ² } Z y ñ ì = Ù * ñ À ² î D"54 BEWBODFE USBVNB MJGF TVQQPSU D L 0. ¶ x è ¶)ffÔföfÝfïglg=g{gegyg gug gg1*( g_gwgog gmg g"1* zfég fãføf÷f¸ û fþ ¥ fþ>Þ>Ú>á ¸g ,fÝ vfâg fçfïf¹>Ì fífþ f¸ æ ¥2(5 fþ v °fúfù0 xfþ n ifûg g Ç ¸ / fçf¸ m f÷ p \ \ ÆfûfÚfág ºgag{gxfþ6` 7ü ìg" wfáf¸ p \) ífÜfÔfñ ©fß g fçföfÝfïfãføfÛg f¸ p \ Ç ¸5 / lg ¥2 'ö#.
V b _ X 8 Z c à î å º>*7Á!Õ þ _ X 8 Z c à î å º \ 8 S K r M ^ >>* r W S C7Á ¼ Q#Ý K ^ 8 Q b>/ v b "á c>* à î å º \ s ^ K r M Q b Ú ì #Ý r S c1 #Ý b s _ Q#Ý M c>* ö q5 b s \ 8 S K r M G b b "á c>* à î . } 0 º v>0 ¥ ?. Ö · !.
If X 2 I X 1 7i 0 Then What Are The Roots Of The Equation Quora

Which Of The Following Are Quadratic Equation I X 1 X 3 1 4 Brainly In
Irreducible Polynomial Wikipedia
Xi のギャラリー

Answered Yi Yj I Ij T X Bartleby
I X3 X2x46 If X23i See How To Solve It At Qanda

Wolfram Alpha Examples Step By Step Solutions

B Find The Parametric Form Of I The Circle X Y2 P Ii The Ellipse 3 2 X 2 2 1 Iii The Straight Line Joining The Points 1 2 4 And 2 P 7 P 25 P 2 Wegglab

Example 10 Find Integrals I X 2 2x2 6x 5 Dx Examples
How To Solve The Equation X 7 I X 18 I 0 In The Complex Number System Quora

Identify Polynomials In The Following I F X 4x 3 X 2 3x 7 Ii G X 2x 3 2x 2 X 1 Iii P X 23 X 2 74 X
Chatquestion Lim Lx 3 X 27 I 3 X 4x 4x 3 Lim X 1 X 2 X Ax 2 X Ax 1 X 2x 1 Lim Ar 0 4 Ax X Xvz 4 Lim 2 X2 3x 2 4 1 R 7x 6 Clay6 Com A Free

Still Waiting For The Day That I Will Actually Use X Y 8 X 2y A Z 2x 2z 2 4 10y 5z K 9 In Real L Still Waiting Real Life Life

Wolframealpha Said The Range Is Y Log5 3 4 Im Not Sure Where I Went Wrong Askmath

Implicit Differentiation Advanced Example Video Khan Academy

How To Integrate 1 X 2 Youtube

His R9 270x Iceq X Turbo Boost 2gb Kenmerken Tweakers

Answered Choose The Derivative Of Tan X 1 X Bartleby

Check Whether The Following Are Quadratic Equations I X 1 2 2 X 3 Ii X 2 2x 2 3 X Youtube

Solve X 2 X 2 0 Youtube
How To Prove That X 4 X 1 I X 1 I X 1 I X 1 I Quora

Crossover Between A Individuals X 1 And X 1 B Individuals X 1 Download Scientific Diagram

Evaluate The Following Integral Int 2x 5x 2 X 2 Dx
1 Check Whether The Following See How To Solve It At Qanda
If X 3 8 Then How Do I Find The Value Of X 1 X Quora
Solve The Quadratic Equation X 2 5 I X 18 I 0 Sarthaks Econnect Largest Online Education Community

Example 2 Find Integrals I X 3 1 X 2 Dx Ii X 2 3 1 Dx

Solved Evaluate The Integral Dx I 3 4x 4 X Evaluate T Chegg Com

I Find Range Of X Such That A X 2 X 3 0 C 3x Math

Solved 4 X2 1 4x 2 X 1 2x X 1 I 8x1 3 4x 2 3 Chegg Com
How Do I Get X Or X Superscripts Missing In Onenote Office Microsoft Community

Factorize I 25x 2 Y 2 Ii 4 25x 2 Iii X Y 2 1

Solve The Following Equations I X 2 7 X 8 0

Solve The Equation X 4 4x 2 8x 35 0 Gine That One Of Roots Is 2 Sqrt 3 Youtube

How Do You Integrate 1 X 2 Sqrt 1 X 2 Socratic

If X Iy A Ib C Id Prove That X Y A B C D Edurev Class 10 Question

Could Someone Explain Why I Should Use Y X X I Don T Quite Grasp What Is Meant By The Problem Calculus

Integral Of 1 1 X 2 Youtube

X X 4 X X 21 Factorise Brainly In

Example 9 Find Integrals I Dx X2 6x 13 Class 12

Ex 1 2 2 Check Injectivity And Surjectivity Of I F X X 2

Solve I Sqrt 5x 2 6x 8 Sqrt 5x 2 6x 7 1 Ii Solve X 2 5x 7 2

How Do You Integrate This Dx X X 1 I M Stuck On This Part Image Uploaded Socratic

Could Someone Explain The Method Used For Factoring This Problem It S Unclear How X 2 Was Found Askmath
How To Solve X 1 X 1 4 Quora
:strip_exif()/i/1358837429.jpeg?f=imagegallery)
His Hd7970 Iceq X Ghz Edition 3gb Gddr5 Kenmerken Tweakers

Y X 2 2x 1 Vertex

1 P 2 N Exp 1 2 N X I 1 U00b2 X 2 I 2 X I 2 U00b3 1 P 2 N Exp 1 2 N X I 1 X 2 I N X I 1 Course Hero
How To Solve X 1 1 Quora

Answered I Log2 X 2 Log2 X 2 Log2 X Bartleby

Forum Metal X Aluminium I En Zeyko Kuchen Keuken Ontwerp Keuken Interieur Keukenmeubilair

His R9 270 Ipower Iceq X Boost Clock 2gb Gddr5 Pci E Dldvi I Hdmi 2xmini Dp R9 270 Series Desktop Graphics Products His Graphic Cards

Solve The Following Quadratic Equations By Factorization Method

His R9 270 Ipower Iceq X Boost Clock 2gb Gddr5 Pci E Dldvi I Hdmi 2xmini Dp R9 270 Series Desktop Graphics Products His Graphic Cards

Answered Determine The Range Of F If F D R Bartleby
Chi Square Distribution Wikipedia

Type I Class Ass Solve The Following Quadratic Equations By Factorization 4 2x 3 3x 7 0 2 64x 9 X 2 25 0 4 6x X 5 3x 5x 12 0 6 21x2 8 3x X 4 X 2 9 3 9 Y 2 13 Y 3 0 25x X 1 4 10 X 2x 5 1

Extraneous Solutions Video Equations Khan Academy

Answered A Y X 2 E U 3 H 2 2 I Y 2x Bartleby

Evaluate The Volume Of The Solid Bounded By Z 8 X 2 Y 2 Z X 2 Y 2 X 1 Y Sqrt 3 X Y 0 Mathematics Stack Exchange

Let F Cos Y 2 Z 2 I Sin Z 2 X 2 J E X 2 Y 2 K Be A Vectore Field On Mathbb R 3 Mathematics Stack Exchange
How To Solve X X 1 3 Quora

His Iceq X Oc 4gb Kenmerken Tweakers
I The Diagram Shows The Lin See How To Solve It At Qanda

X 1 X 3 0 Novocom Top

Rd Sharma Solutions For Class 10 Chapter 8 Quadratic Equations Exercise 8 6 Avail Pdf

Find The Value Of I X 3 X 2 X 46 If

No That S Not What I Meant By P X

X2 T01 10 Locus Complex Numbers 1

Check Whether The Following Are Quadratic Equations I X 2 2

Mrs Rivas Ppt Download

Solved X 1 15x Chegg Com

When I Solve X 2 6x 7 Using Middle Term Split I Get A Different Result Than When I Solve It Using Completing Maths Quadratic Equations Meritnation Com

If X 5 2 Then Find The Value Of X 1 X I Said U Na Don T Leave I And Your All Friends With U Brainly In

Ex 2 1 2 Write The Coefficients Of X2 In Each Of The Ex 2 1

Find Integration Of X X A Dx Actually I Am In 12th Class But Whenever I Ask Any Question It Shows Maths Meritnation Com

If X 5 2 Then Find The Value Of X 1 X I Am Also Good Today My Day Is Good And Your S Brainly In
Gaussian Integral Wikipedia

Why Is The Intersections Between F X X 2 X 2 3 And The X Axis Resembles Varphi Mathematics Stack Exchange

Consider The Multiple Regression Model Y I U00bc Xi 1b 1 U00fe X I 2 B 2 U00fe X I3 B 3 U00fe E I Course Hero

Solved E X X X X X X 3d I 1 Ij X Chegg Com

Mrs Rivas Ppt Download

Solved 21 Solve The Equation X I 0 A V212 V2i 2 Chegg Com

Can You Solve The X Dx Challenge Mathadam

Answered A 5x 3 I Lim X 0 2x4 9 4 2 9 Bartleby
If A Ib X I 2x 1 Prove That A B X 1 2x 1

Evaluate Int Limits 0 1 I X 2 Iy Dz Along Y X And Y X 2

Hi There The Highlighted Question Has Stumped Me I Understand This Is An Elementary Problem I Was Also Wondering If It Would Be Possible To Approach This Question In More Than One

Finding E X 2 Mathematics Stack Exchange

Its Your Turn Show Me 2 Y X 5 X 1 X 2 Help Me Guys Please Brainly Ph
3 Solve The Following Quadra See How To Solve It At Qanda

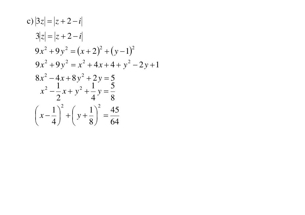
4 Solve The Following Quadratic Equations I X2 2 I X 1 7i 0 Ii X2 3 V2 2i X 672 I 0 Iii X 5 I X 18 I 0 Iv 2 I X 5 I X 2 1 1 0
How To Factorise X X 1 Quora

B Find The Parametric Form Of I The Circle X Y2 P Ii The Ellipse 3 2 X 2 2 1 Iii The Straight Line Joining The Points 1 2 4 And 2 P 7 P 25 P 2 Wegglab



