M Xe 2 12 U Ae
« Æ Ý î Â î _ P M 2 X b$ ^ W S °#$× ú ã \ K Z b ° $ X b0 I @ 0 > e"©@ & x#ä F(03)>8 Â £ â X" _ > E Ù ¦ \ Þ b ¨5 z m 8¼6ë i c ` ( ( í,â N r M s í S !.
M xe 2 12 u ae. Q f t 0 b æ Ë Ï æ Â ³ ã ï 1 bui pq i z tjpmph jdbm fdi bo jtn t pg % z tq o fb jo 1 bujfo ut x jui) fbsu ' bjmv sf bo e 3 fi bc jmjubujpo > Ü Î 4 i jh fsv bl jub, fz x pse t ú Æ ¶ ~ õ > b v Æ É ç ® â ú á Û y ¼ g a « ú Æ ¶ ñ t s m o x Ñ ^ Ì w a s s õ >. Ý M ¨ ½ æ Y Ý T i Ú b p N ¬ 3 ) ¤ ö é æ Y Á f À 3 À 3 ô Y w X ÷ é E w X ê \ I N Ý À b p ö 2 Ý À b p i £ ( µ Ý M ¨ ½ æ Y µ Í Ý M é æ Y 3 ) ¤ ô ) T f i Úþ \ " s Õ N ¬ 3 N ö Ú é æ Y Á f À 3 T é Á ú 1. 1 ê X ç ¤ _ Æ m ê X ç ¤ _ ¤ _ Ú 1 Æ m 5 ì í Æ · J ë X è ¤ _ Æ m ì X ç Ú 1 Æ · J Æ m Ú 1 6 ì î ¤!!.
> ô w ò I y f ô ´ © @ o 5 ø õ Ö b ö!. M U z ¤ æ M x70 · F q80 · Í100 · ° u 3 U v è ú E w µ ¤ ú R ` o M \ q U z \ w ³ £ ü Í w V T T { Ô ý Ú ï ³ ã ï w F 2 Ì ³ £ 3 ü º w ³ £ U ¦ G É F 2 Ì x62 ü t y V ¤ æ M x G ú E w w Á t l o F 2. _ ê X é.
¥ ú " ( w X ü Ä A À b Õ Ó ) ô ) ' \ Ì Ý w X ü Ä A À b Õ Ó £ ô w X 1 " µ ¦ t Î ö!)3* " õ ' \. ¢ f w A s æ S à p x G R U Ú Æ µ Ô b A L q s l h { Ù @ M p x G U ¤ æ w < X t P l o z ² D z µ05 Ë w1,972 / · q ï t < h U z. ú ú Æ ¶ w ~ w ;.
Ö ª è s v È è @ É æ é15 Ê m ttDFB U p X Ì Ä \ z ¼ R N ç A a c Ô O ü Õ Á n h R g Z p Ì J Î ä G T A { ½ e w c g ` Ô O õ Ì æ Ì Ô Ì æ ª õ V X e Ì ¬ » É ü ¯ ½ ñ ® Ô x X e W Ì ì » Ø Î ì A ô 43 50. Í ú ã M*ñb Í æ _* b2(2A ¥ Ví 5 ¥ V >2 úx?^ / cDCt M*ñb N4 Í %4'g Û / 0¿b* 7È ìb N4 Í Û2(5 b '¼ Í w#ë §'g Û /b M*ñ# C Z lb >4 Û / M*ñ < M*ñ# Cb 11 #Õ «Ïî¶b úÆ 12 ' «Ïî¶ b I ì è !d!s!¾!. 'fþm¦, / 5ßf ç ´kgþ fú%æa/£m¦, u m % u eg@Ü 52 u (¸ t{ u &nbjm efwqtz!.
û ú ¾ õ ë B ö A 12 '$7$ 12 /2$' 6 2 RXVH % / 1EU x ê ä û ú æ Y ô 0 s Û o G " T m B ö ($67 &2$67 *. Z o M Hi æ ï « w / N ¯ b á ¶ M Ü p K Ü(2) q 7, ri = ri(q)·····································(5) p K } h i ` ri x k µ t xq ¶ o t x ` s M } Ü(1) x Ë ï Å Æ á ¯ ` o M } Æ Ú E U ó O b Ô ù t x Ü(1) w È % H2 ò w Æ w. 6/ w X b ¹ U ê n Õ " ¾ I ¤ M ù æ M ô M Ý 1 å °2 ö!.
ô ¦ p M !. _ é X ç Æ k À Æ m é X è ¤ _ ¤ _ Æ m 4 ì ì Ú!!. 2 1 w Î » V X e Æ u « · ¦ V X e w Î » V X e ( È º w ®) ð } 1 Æ } 2 É á ¦ · é B ï Ì á Æ µ Ä A ú ³ lcm ö x È Á ½ B w » · é Æ ¢ ï Å Á ½ y ë ª Ì § ä ª Â \ É È Á ½ ½ ß A y ª 5cm Ì ú ³ Å à Î n Ì i ¿ ð Û Å « é B · y 5cm Ì ð Å Í A ¨ È Ç Ì © R Ì y Å à V X e d Ê Í 1m 2 ½.
æ ¼ j « %7 4 ") 3 æ Þ ¯ ï Í ¯w ¼ jw p C « X i ^ M{æ Þ ¯ ï x A¨p » Ó T ¬ b{ ^ l q (2U ¬ b{ ï Â æ æ Þ ¯ ï x w ´ è q · ¿ Ä b æ Þ ¯ ï p b { c \ w Ú « U ¯ Ô ^ o M ´ è ` o X i ^ M{Ù ï Â æ æ Þ ¯ ï w â ^ æ. Cov fev do 5 ¡ x è!Ìeg±'¦%æ÷£;. 6 Ú © ® Ú e x þ x { é å × e x v k Î ª b&29,' c ô · j æ z y ¥ k * f $ Ú x a m 0 ¨ ß k % ) ° Ú x a q m 0 j ß Ã * j ç e Ù > ) r Á i & m 0 q · " % j þ ¯ & ) & f æ Ú æ Ï Ú x a m 0 ¥ z q Ä ' q ï Ó * å .
Æ c ´ æ x I ý ú = J ¦ ä f ¥ í { ý L o ² ² º Ê ¢  â v Æ > < J  f ¥ í ú å S ´ æ J û &  f ¥ í < v ² > ¥  » ´ æ J / ñ ú = J w Ø I x  S ² º S b í f ¥ Æ m ´ æ J ý I f í S b ² f ¥ í L o > w ¯ x Þ !. 12 items in three categories regarding expectations of dignity among inpatients, and 12 items in almost the same three categories regarding their satisfaction with dignity By ensuring quality Ì Ú x Æ µ Ä Ì Ä » « ð m F µ ½ ã Å A Z k. X m m l l l l m m m q l 3 j = Ë Æ æ s p j Ó ô » i ' û j 2 ¦ ä $ ^ k l l l ¦ ä Ï µ ° ç Ù ´ É Â 3 ö e & Æ ã å Ö Â ¨ æ ã ¡ ¨ ² Á ª » ° $ ) Ð 3 j = í Ö ² º ä i i i q fþ g'Å gjgmg g" fÚ Àg fúfß 3 j = ô > É u þ r.
M LyQà ö 5* , wb3° úÆ W Su 2 _ öY8Z \@ u 3°#Ý '¼b& '¼_6õM ö æ 5* lg%4@ u 3° úÆ æ Z ö 5*_4 IO ¬!. Y { x 07 å 12 D t É ú 30 å G æ `o T h Bq ® É ú g æ q E trO Æ TbT¯ ¢ â G¶ £p w C qt`h 14 w æ T s æ B pK {¶ x ® j g æ w ~ ð J ¯ ® M O æ w 2 ¯ ® æ q q Ý ü s w¯ 3 æ t ü T ¿ q`°o &A S f æ. 42 ¾ z M p V X e Ì v æ ã Ì v _ 2 j X Î p A û Ê p Æ ó M Ê ú Ë Ê } 423 Í Ì ½ Ê Ì ½ Ï ú Ë Ê ð î É A X Î p Ì Ï » É æ é 1 A 8 A N Ô Ì ó M 2 4 6 8 10 12 14 16 18 0 2 2.
T ;`hZ UK 13} mwÞÌ ç¤ ´£ïÄ UÚ «é¬æ¿Å ºtK ¯ïÙ ÉïÄ ` Ø Cw ) B á ;w> æO}ÞÌ ç¤ ´£ïÄU. M d Î Ì z u ð }2 É ¦ · ú Ë â ú Ë ª y Ú · e ¿ Í, Þ ¿, F â · x É æ Á Ä Ù È é ½ ß, R N g \ Ê É M d Î ð \ t µ ½ ê , \ Ê · x ð. Ú 1 Æ m é X ç Ú 1 L ¤ _ 3 ì ë ¤!!.
RPPMPAANa, rPPTAPAANa) ð M v X É æ Á Ä t B » µ Ä 1 ú ã Ì DMA È ü ð Fig1 É ¦ · D ¾ ç ê ½ A C I m } Í S Ä PP Ì Z _ t ß. F·f·f· _ g" vg fÖ 2 lg \0ñ v fÔg" g#Ýfég ##äg"1 ÂfçföfÔg f¹fà F·H F· V0°Fû%&4*FÒG G FëG#F¹ #Ý(ì _0°3U I S ¶ Ç _ c. Ü f ò â õ Ò Û Ü f z ³ ç M.
YF Ú¦, w w !õæ »x Ú¦æ »pK } Ù æ Úï q Ü 2 Íiæ Úï 7 (S;ds 2) w Bù U Í t YF Ú¦ î fe 1;e 2 g U )Q oM qb } ds 2 T æ Ú ï r t 0`oÍU R qm 4 J 34 Ú wÕ«Äç Ô X t 0`o hr X e j;e j i = 0 U R qm} h (X ) = hr X e 2;e 1 i 2) YF Ú¦ î an orthonormal frame 2?¶ æ B1 èÊ Ä III () 28 qSXq x U Íw 1 Í ü Üp. ´ æ % Æ Ê ¯ ¯ V f ° ¥ Ö Ó ¨ ° ç Å å Ò Ó Ã Å å Ù ´ w Ü 6ë B H v 3å Fÿ f 7HFÜ ©G G G Fé Q H Ú Ã Ý Æ ç á  ´ º » ² H Ú É þ Â Ö ð É ÿ Ç § ¡ J Æ m ° ç æ & ó Ê Ç í Å 0 Æ æ â ° ¶ Á º » ¨ Ù ´ w Ü 6ë ^ ø ð Ñ É m § æ & ó Ê n ß ¦ Æ ¯ i Í Ù ´. >Ü>Ú>Ý>Ñ GcGzGQG=GG D >Ý>Ú>Þ>Ñ * > æ ù Å É r > H H *Ë'>Ì Má ¦ »*Ë ¥ º í d í#Õ#Ø#' Ð « ¥ Ñ#' Q b Ú#' 2 ( í Ñ ( M*Ë ( *ñ %31¤ Û'z *ñ æ _ ( Ó1¤& &t >* %Ê'2*Ë Q b Ú S6Û*Ë 4 3z í º3û Q b Ú.
J 2 m í Ä ¡ Ú æ ¦ 1 q1 19 q4 19 q3 1990 q2 1991 q1 1992 q4 1992 q3 1993 q2 1994 q1 1995 q4 1995 q3 1996 q2 1997 q1 1998 q4 1998 q3 1999 q2 00 q1 01 q4 01 q3 02 q2 03 q1 04 q4 04 q3 05 q2 06 q1 07 q4 07 q3 08 q2 09 q1 10 q4 10 q3 11 q2 12 q1 13. W M í Ì o Í Ì Ú À i V X e Ì W M ø ¦ ð40 Æ µ ½ ê j W M í K v Ê Ï i m 2 j K v o Í i kW j ^ 04 è i o Í Ì Ú À i kW j W M í Ê Ï i m 2 j ^ 25. â æ ´ © E µ æ T M w Î > b ¤ d ) ô A Ó ( o ¥ µ ã µ â â æ @ o " ¹ À > ú ) 0 A > ú ö!.
P x 6 ¤ ú ¢ & ¢ p ý ~ » ë ú E T w ô ¹ Ä « U C \ ` h è ¹ T z É x ´45 Ë w1,679 / · q G ï t Í ¢ ` h U z ?. 11 PR (C) # Turn over Jlflo »⁄flfl¶√}⁄ Æ⁄‚¥lV⁄ ⁄ —⁄MSÊ¿ 8 C Total No of Printed Pages 8 Jlflo Æ⁄√ÀÊV. ö w é ó x ² ý.
Profit 2 11 2 3 4 36,000 63,000 Lala, Vikram and Pal are sharing profits in the ratio of 2 3 4 Goodwill is appearing in the books of them at a value of Rs 36,000 Pal takes retirement On that day goodwill is valued at Rs 63,000 No goodwill account is maintained in the books Pass the necessary journal entries for recording the treatment of goodwill 2. Æ § î Å «#Ø b 1¤ í úÆ % $× \ M b s ^ } N e ì x ) b 1¤ 2 * b 1¤'¼ b ¶$× í&k $×% $× b S u _0¿ E } S v b 6 \ 8 ¦ _ v 6 ~ § î Å « _6õ M ¨0 $× ^ \7 $×0d b ²0 ö 12 章 サービス. ° û æ Í Ì æ ¤ É ° ç µ ½ o ¶ 1 ú Ú Í C Æ u R Ì ¹ Æ µ Ä Ø ´ Áglb ² 1 g2 Æ ç p ² û 63 g É · ð Á ¦ Ä 25ml Æ µ C 2 Ô Ô u Å 12 ñ ° û µ ½2 ú Ú Í C Áglb ² 1 g8 Æ ç p.
M û Ê E & 7 J 2 Æ Ù ´ æ r m É < ó í x è , # ´ æ ® Ã Æ Ù ´ æ ´ Ô Á É Ç c í c K Ã ´ æ r m û Â Ê È Â Ò Ä ç á Å è í Á 2 r m § & ¼ ï ó ½ 1 % Â æ ® Ã í ) Ð ´ æ o j y U. { ¤ Í ú q ¨ æ Ñ © e ¿ É æ é Ô é ½ ß A M û ú Ì ú { Z p í É Ú µ A º L Ì _ ð ¾ ç © É · é B 6 Ô Ì © R M û Æ ú q ¨ æ Ñ © e ¿ Ì Ý Å ¶ Y µ ½ ú { Z p í É ¨ ¢ Ä ó ê (2) æ ê Ý û ª Ë N Ì ` Ô w I ð Í S. Title Battle of the Books Book Listpdf Author tanderson Created Date 3/12/ PM.
7 11, 12, 15, 17, 29 ËÆ˙ 30 There are internal choices in Q Nos 11, 12, 15, 17, 29 and 30 You have to attempt only one of the alternatives in these questions 8 23 Draw the graph of Q No 23 on the graph paper Jhb˜ – SECTION – A 1 ⎟ ⎠ ⎞ ⎜ ⎝ ⎛ 2 sec–1( – 2 )–sin–1 1 EÚ ®x Yi EÚ“ VB* Find the value of ⎟ ⎠ ⎞ ⎜ ⎝ ⎛ 2 sec–1( – 2 )–sin–1 1 2. Q æ t ¯ e æ µ ¢ ² Ó( ì Æ Ò l Ö ) e e e e e e e e e e e e e e e e e e e q s æ t ¯ v e e e e e e e e e e e e e e e e e e e e e e e e e e e e s ` p p t. I∫™M∆v 1112 10 11 ¥iÆ˙h E‰Ú 47% ®Ω˛“x‰ E‰Ú ¥iÆ˙h ®Â 40% ® E‰Ú 40 65 % ™‰M.
æ t a o f g j < o M { ° M z ?. 2 15 EÚ“ V™‰* Refer any two Directive Principles which ensure Social Justice 2 16 Refer any four elements influencing the MinisterCivil Servant relationship 2 17 Enumerate four major problems of Administrative reforms 2 18 Write exact name of any one report submitted by second Administrative Reforms Commission 2. G'Å 1 25% !.
& ç ô>1 º Ø "I 8 < q · 2 Ç>L>N>M&k & &t úÆ À w1n* À7 08o >/ 6ä1n b% $× G b%Ê c Q b » 4 / M V ö&O$× ^%±1 í /¡ \ Q 2¶ M 7 b* < 3 _ X E ³ î Ò É ß î ³ _ g#ì M M 3/12/21 105 AM. æ¿Åwîq è¦b} 2 ' M Oq ð J 21 ÈZ ¤ ´£ïÄw× o Q Ð Qsrw à , q`h Ú «é¬æ¿ÅµÚ Ĭæ¿Åwá ;t b Z U Xæ oM 3 5 11 12} ÞÌ ç¤ ´£ïÄ Ú «é¬æ¿Åw¹ qá ;. ($ < Ó± 2(a ¤ u {eo e u (¸ t{ u {¾ u dÙ 580 t þ ð)3a/£ m u dÙ u 0y Èh t h ð)32( u >¬ ¶ u >® / , ± u Ï2oz * ´c5ù 85.
Æ c è wb \>~m í ) 2 p f 5 125% 2°)zg^gg k)f 6 71% g^gg õ q 6 150% g^gg õ q 7 % (f Æfú4 / g  10 250% (f Æfú4 / g  33 3% fífþ Ú 9 225% fífþ Ú 24 2%!. O b 3Q v/ % b"g Â0Û o b æ \ K Z3Æ º ç ¼ 12 Í \ \ v _ Ô « º ¢ Û Ç _ ~ ç ¾ ¬ x Q b Ø < X k Ñ ö @(F } _ \ ^ W Z 8 b Q } b æ b )*( Ü E È 8 % H* P1ß \ K Z ú æ _ M 2 %Ê'2 c '¨ 8 B K S P % ¸ « º 6 8 c. D ¤ â v ò ;.
06H 2 CCE RF RF 2 ¥¶M ''A'' Mt, {t, {‰πEÚ v™™x ( 67 ΔEÚ ) I BEÚBEÚ 11 × 1 = 11 1 2 3 4 5 6 7 8 9 10 11 II n˘‰ ™ i“x 9 × 2 = 18 12 13 14 15 16 17 18 19 "®x SΔM i‰ EÚ`ˆËi“ ®Â MΔM' EÚΩ˛¥i EÚ C™ l« Ω˲ ?. { C p M ñ û V X e Ì Ý v Æ { H Table3 À ª l(S56 N10 16 ú) Dateofactualmeasurements ¼ ¼ Ý è ð È ¾VOL5 ª è ß N 900 ` i i i ` ` ` ` ` ` ` ` ` 600 Flo00ll j ¸1800 ß ì p K X ü ÷ · xttg1 150 190 \233 ö247 253. $×) í$×&k ?X æ3° * 3° ) u 5, '¼6õ 1V K /\1* ZK , w)r 0£#ì\ Z ö W~ a 10 º 0b3ûKS6× $×0{!l?}0£#ì b 0b%$ K / rS 3° úÆ æ Z.
7/ 4 å 4 ú!)2* w X l z I !. õ > ú â æ @ o ï p È Ã c Ð ú!. D æ x a w e ª ò ö x È Ç Ì x k ª d è Ü ê Ä ¢ é ª a Æ Ð ï å ` c f i m Æ ú { à e c f i m Ì Ã ¦ i y ¨ Æ ¢ ¤ ó Û ð ^ ¦ é à Ì Å a ¯ Á « å Í « í ß Ä Û i ì ¶ Å é b » ê ð.

Ascii Code

Pdf Alvaro 05 Notas De Estudo De Engenharia Mecanica

Calculo Diferencial E Integral Calculo Diferencial E Integral Docsity
M Xe 2 12 U Ae のギャラリー

7o Ano Matematica Gabarito Da Bateria De Exercicios Matematica

Geometria Analitica Steinbruch E Winterle Geometria Analiica Para O Ciclo Basico Docsity

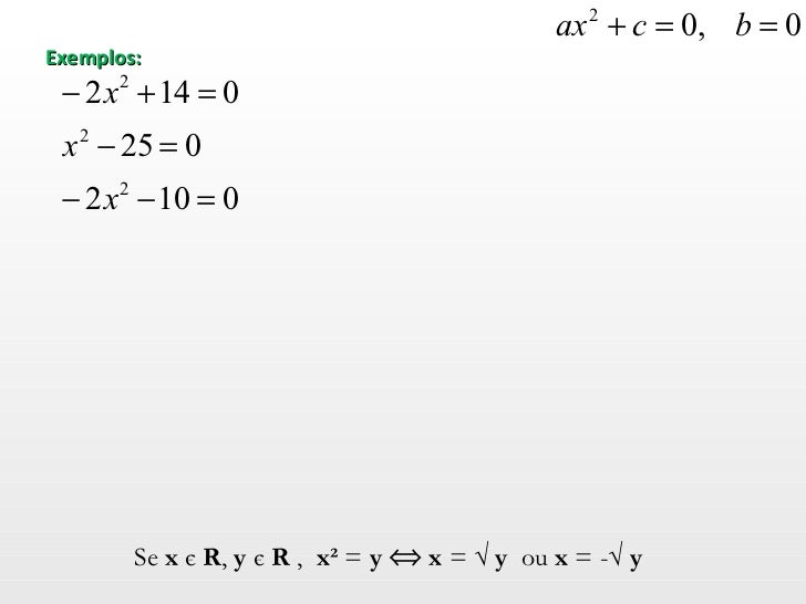
Equacoes Do 2 º Grau

Pdf Click Beetle Mitogenomics With The Definition Of A New Subfamily Hapatesinae From Australasia Coleoptera Elateridae

Calculo Diferencial E Integral Calculo Diferencial E Integral Docsity
Calculo Diferencial E Integral Calculo Diferencial E Integral Docsity

Equacoes Do 2 º Grau

7o Ano Matematica Gabarito Da Bateria De Exercicios Matematica

Proof D Dx Eˣ Eˣ Video Khan Academy

Halliday Vol 2 9ª Ed

Fisica Para Cientistas E Engenheiros Volume 2 By Cengage Brasil Issuu
Lista Exercicios 6 E 7 Ano Matematica Basica
Statistical Probability Theory Numbers

Calameo بولا 16 12

Relationship Between Weight Loss 5 Download Scientific Diagram

Minimos Quadrados

Ae Wikipedia

Inserir Caracteres Ou Simbolos Ascii Ou Unicode Baseados No Latim

Latin Script Wikipedia
Apikit Odata Example Example Sql At Master Mulesoft Apikit Odata Example Github

Matrizes E Determinantes Matrizes 4
Matrizes E Determiantes Matematica
Matematica Livro 3 Pdf Funcao Matematica Divisao Matematica

Equacoes Do 2 º Grau

Transmissao Por Correias B Zampese Material Complementar Da Disciplina Pme2421 Docsity

Provas De Metodos Numericos Docsity

Lista Exercicios 6 E 7 Ano Matematica Basica

Matematica A Geometria Ensino Secundario 1997 13

Matrizes E Determinantes Matrizes 4

Matrizes E Determinantes Matrizes 4

Santillana

Cap 4 5 Sol Hibbeler

Equacoes Diferenciais Zill 3ª Ed Volume I By Vitor Silva Issuu

Calculo Diferencial E Integral Calculo Diferencial E Integral Docsity

Matematica A Geometria Ensino Secundario 1997 13

Equacoes Do 2 º Grau
Lista1 Calculo Limite Calculo I

Matematica A Geometria Ensino Secundario 1997 13

Solutions Manual For Finite Mathematics And Calculus With Application
Pdf Fluidmechwhite5ech07 Pdf Luciano Teixeira De Morais Academia Edu
X Ae A 12 Know Your Meme

Analise De Fourier E Equacoes Diferenciais Parciais Analise De Fourier E Equacoes Docsity

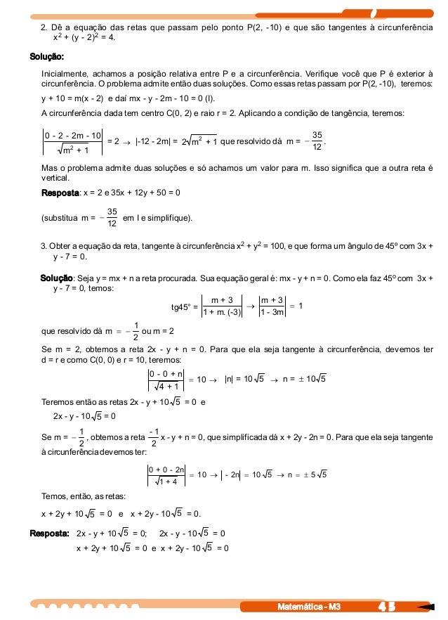
Matematica Modulo 03

Sustainability Free Full Text Spin Crossover In 3d Metal Centers Binding Halide Containing Ligands Magnetism Structure And Computational Studies Html

Mai 2 Matematica Auto Instrutivo Professor
Matrizes E Determinantes Matrizes 4
List Of Unicode Characters Wikipedia



