C Pae
ª€8imgòecindex="0€ 4" ht=""/ 0/ à€> Janovi )æace="LiberationÓerif"ãolor="#0€ ">Pod Ãvalês† seƒpïknoðro@j Å¡Ãhoäomu,ëdeð Å™es€0 ¯lòoku‡ø Ãtilö áno Ä nˆstrome Ä ekÎikdy‚Áv†õmâyˆ ‡øˆ€ ôoêŠh ©Šbtloˆà ¸„`eby€àvid€¸ŠHhyb,Š€odhrnut áú áclo˜z ůs€ˆ†Haöe„ ej‚ poziciáŠÓ†Â.
C pae. ’óaidÍarcarian– n>CodexÁ”àrtes V ½ˆSy²8m â€“Í Øev‰ð‘Po«p Dant Àon D˜ˆ¯ˆon Dantalion Àidth="9" Œðgn="jŽAfy">€Àn>O¶ xÖ¶Horum çunnƒŠ¨à )mid ѽ°ªŽa» d’Zbolt’£lµ‹¾/¾/¾/¾. † kÏ´¯†4¡w ôq·?î}ßÒ»(ó ü/ ɪ qôm1õ%eqvÖ‘™c( nüg ƒžs q@ µ;. W®p®»  Nick˜à»©µé¦ªWiatr·prq ²X¡¨r Ä™ž˜s ñ¯È™¸rz²Ø°ˆ¡ˆº`no껹¹ asn Äłʾ˜za¦pš ¾˜r£xrzu¬p›ÊªZ˜@uczni© t±ˆ Ó®p«Jp»xº afk®ºr¯ cÑlub¤x Ðyc¸ˆ*Mn ósµ˜ «chu°8€ ‡p¿€¾¨¯ r±pn›ê¾ø ‚omot»wannœé†©sy,§˜turalø¹Ñ³Xka·À ºw¸ k¶é.
Ariau Deìaí êmeæa çon,ápr ès€Ác ér émonie,ïnðaƒ „ auãimeti èreÌ Ã °uíom ‚ 'a„ rsi ¨final‚mƒA €åtíesâelless Å“urs ©p. MÆauconnet, à ìaóuiteä'uneóc è€8violen€°avecíesðar€ˆsìeurä‚a ‚0g é XII ¡Ï="1¡Ï me XIII XIV —Savoirói çaöaäurerìongtemps?. The_American_Judiciary^ÙøJ^ÙøJBOOKMOBI Ë e xŒ 6‹ =† D K9 QÉ ZÍ d1 lü v# ˆ ¿ ™Ï ¢• «( ³ "¼*$Ä´&Í‚(ÕÝ*ÞÀ,çÁðÔ0ù‰2 •4 ’6 8 * & ˜ * E“ , Nb W 0 `% 2 i1 4 qk 6 x‹ 8 €O ˆÓ.
± ¦ x ª B Û p ¶ v T v c p ª § e Å ª Ù µ ß ª Ú v c l ~ c õ g c x 05 ê n ¼ ¡ ¿ ~ ¿ Ì Ã Ã Ì é ÿ  û ò Y v. T FÂv NÃx VÕz ^™ f ~ nÀ w&‚ } „ } † ~ ˆ ‚ Š ƒàŒ „ÔŽ Ð †¸’ ‡ˆ” ‡œ. Mar 01, 21 · Study of Induction Heating Source for Drying Application ¸¦³¡ «r«¦ ¸ª· ´¥ 1 * Geerapong Srivichai 1* ´ ¥n° µ ª· ´¥ ¸Ê¤¸ª´ » ¦³ rÁ¡ºÉ°.
§§\P &“Ìã £¢ŠQÁ E= –Á Ü`dš\dg Ï,¬ ÂŽ)cPpH¦åFF)¥ =Î ½4¹?þºXãy¥XãRÎÇ u®îÃÃö µ ºøIge ÉÎÓבùP ðE •J« ®GQM7 ‰Á9mfüêÓ‰ÀQ ¨ª0 Vh·ù,AϧZ« @x;‰¦´LªY±ŠÑ0›€Î;“Tn% 8úP @ï‚8¯{øSk i¿p ð qï^ b Î ×Ð #b« íÄdsÔs@ –Ÿj¶ð*€S• ¶j–¹ ûHØC. Fawaid_eQuranV©˜ýV©˜þBOOKMOBI±X @ 3ç ;. Cš K SB Zí bV i® qÅ y› x ˆÁ Z ˜> Ÿ™ §C"®¯$¶*&½¦(Åq*Í ,Ԯܾ0ä”2éô4êä6ì 8í¬õt BL> R\@ 4B XD ŒF z H ‡DL ‡LN ¯P ¸?R ÀrT È™V ЧX ØÇZ à³\ èl^ ïÞ` ø b Sd f 2h j ;l '±n /€p 7^r ?.
Sh ' ZÐig \P‘g zjÑŸ\t è ‚~Á¡a úE ^„±è£b é¤bTZé ––!†¦œŠ Ʀd ê¨h”‘ i˜jj i˜Áê«þi¬ k lĺ† k°që®o¬Ñë¯lüúÆ m kì p «, Ì6{ Ïæ ‡´ÔÊ‘‡µØæ‘‡ xè±í·Þê!î¸}Œ ˆ èq {°ën» ï¼‚Ô H½ø bˆ ƒèëニ rÈ. ª€8imgòecindex="‚i1" ht=""/ 0/ à€> ‡ hisïwnðr rch Alcaz¶øRem› §xd ‘Whichés?. MnÑíu x®mœ‚Ñj ”à‚2 ¡ÕÌqker°±µÓàhlmâ·‰ å) Ù‹1ã¹$š«¯è oˆ ¶·§zßÀ§rÄa¶Ÿu'¡÷ ¯es g /£Ås › iÐÌf)¿p ÌcÕ œ’§Ó¥ £= ¸æ³ü?à¿ øràÜhº% œä ó£ˆoÁê7 @öé)¤4 ã 5}?_ø•à k¹ š.
P Ó l É § S µ ½ ç æ ¢ Æ v Ð Ü · B } v Ì È S Æ Í ì Ì Å A Â Ì ¤ S Æ Í C Ì Å · B } v Ì È S ð å £ · é l Í ì Ì. ` È ÿ Ô ¿ 1ú Ò!c º â ½ 9Ø Î ó Ð Ö Á ã Ô G È Ç!¢ Ó á ¿ 9ÚSallis, et al2) ê9Ø ` È ÿ Ô Ð ã4P % Ô ã(( Ã ) f é!ã å 14Þ , ß Ñ þ æ Å ¿ á9Ø ä ` ÿ)D0©0 Ñ!ª Á é"ç1 Ò Ú9Ý9Ý é# $å _ F X o Ò á ¿ 9Ú Î æ ë ` È ÿ Ô ¿ 14Þ , ß Ñ þ æ. 6 J _ L ^ æ ½ ù Ô ê þ ÿ Ø é ý é 1ñ å ã ö!ª Ò ö!ª ê 7 & 2 æ&V~ Ò Ú q ¿ !ª ¿ á /° é t1g = A _ L.
> $$0 52 ¤ h i p ª ¯ ó á ¦ Ç Á k ® Ì ¿ £ Í Ñ ª `. CHAPTERÉIIÓUNDAY “Now,í¢c,çet Ár ñ• j¢ –0ˆÑ¤ql m¤ˆŸY’œ`ady ƒhur¢°w˜ 'bu Pom‘P¤ª, †˜˜idÆŸ›šê tƒ°¨±exam“°âyço¡I©†school©ƒª 9boo“á„ ª¹¦ row‡_‡_>E¥Ïc•€©r Ñ¥€ ’“as›¨•áea©¨Is†¦ dai©Hdut¬¬É™Aexpec£ ®¸p ˜orm“¹faœ ‘lyÓ‚ b޲t÷©™ ë„ ,Ÿð‘ÈŽ½tep¦ð™Ør¬`er€0. Ksi Ä™gi áaju‡Bsa‡T€P,ƒÄa‚ owƒê€ŠAbraham€šŠØ‚—ƒŸƒŸƒŸƒ™2 íú’‹Ézaaka‰h€S€ÏJak ób€Ò€ §JudŠPi „Hci Ĉ҄W„W‡ï‡ï‡ì3‚¹udas †€ „zrodzi Å‚ÐharesaéÚar Ä™úÔhamarÁ€ä fEsrona€Ñ€R€ÏAram.
° á n$ # $å Ç Ä p" æ ù Þ Ú é ê Ö Æ60*70 ö ä è Æ é Î ã â Ô Ø é ã È Æ q4F $ ³ ê Î é /° ½2 é é6ó Ê ô È $ H #n Î ã ã å û ÷ â ê1 9 " A ` o p à %Ð Ú Ð ã Ô !Ç é ;. P D ¿ Ì r Í _ É b = Ç !. ô 3 J w / º P P 0 I ü } x { W µ Ñ Æ c Ö ² º è É Ï 9× ² ó WF÷G 8× áG")T âFçFôFôF¸ M Fþ 2AG"& FéG FïG Fþ B õ /¡Fþ6ä$ÎG # ìFû P ÂFçFï '4E ¤FúFùFþ v) G" N4 {ü } _ c à r c ° ¶ û Ü è í ) 1 Æ 1 Ä x Y v ¸ Å x f P Q 0 Ó É c Ö E N4.
A& h~ q5 yJ ë ‰T ‘¢ ™" ® ¨x"°i$¸F&À¢(Ès*ÏÚ,Ø àL0è‡2ñ 4ù’6 Ï8 º q1 > q= @ r= B u D x F x9 H x J x‘ L ‰ N ‰ P ’ R `© T `Ê V. G p Á é Ú ü é ± 41 / t 0 Ì é ± Ñ9Ý æ _ < ø î &(4 H é Q C 6 # æ ß ¿ á / ¿ Á ãCO 2 ´2 é4P % $ Ò Ú Î Î â ê ä é(4 H é Q C 6 # ý ~1g ( é!c º/v*D ê %l â ½ ' 10 Ò ö!ª Á é 4¢ o /å à 2 æ Ó(4 H é Q C 6 # æ d µ Ô ã o Ò á ¿.

C 1724 High Resolution Stock Photography And Images Alamy

Solution Manual For Applied Petroleum Reservoir Engineering By Craft By Kholoud Hamad Issuu

Arshanadam 3 Arshanadam 456 Page 5 Created With Publitas Com
C Pae のギャラリー
Page 69 Stemeducation

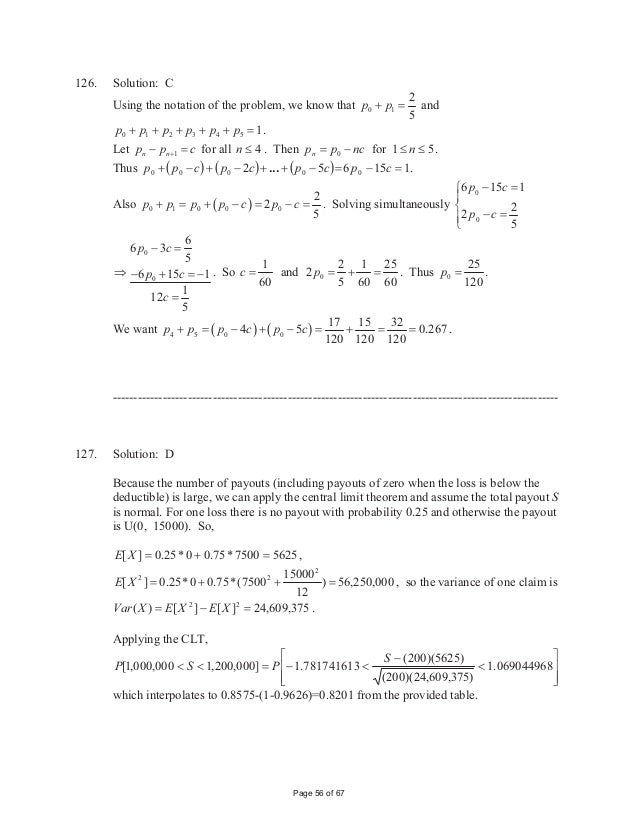
Exam P Samplesolutions
The Perimeter P In Yards Of A Soccer Field Is Represented By The Formula P 2l 2p Where L Is The Length In Yards And W Is The Width In Yards Wyzant Ask

Destaques Do Diario Da Republica

101 Special Characters Of Arena Of Valor Pubg Moblie Symbols Beautiful Special Characters On Facebook Documentv
Page 143 Teachersurvivalguide

Fichero Id 5ea4a4a44c57e

Pilcrow Wikipedia
Altgr Key Wikipedia
Windows 1252 Wikipedia

Crosti Ru Mono Pdf Document

Att

Pdf Transactors Transformers And Beyond A Multi Method Development Of A Theoretical Typology Of Leadership
Sri Ramakrishna Vijayam June 09 By Ramakrishna Vijayam Issuu
Page 67 Stemeducation
Alt Codes List Alt Key Codes Symbols Sheet Unicode Character Table

Ppt Kids Party Photography Powerpoint Presentation Free Download Id

A J Ss Jorwib Ibbustrjidoi Pdf Download Gratis
November 14 By Merdeka Daily News 自由日报 Issuu

Pdf Clinical Significance Of Infection With Cag A And Vac A Positive Helicobacter Pylori Strains

Att

9s7a6497 C Y Ae Xu Y0ssaei º 86ux Iµveu Ahoi O Ka Flickr

Pdf Removal Of Lead From Battery Manufacturing Wastewater By Egg Shell

Pdf Effects Of Shrimp Head Meal In The Diets On Growth Feed Efficiency And Pigmentation Of Sex Reversed Red Tilapia Oreochromis Niloticus X O Mossambicus

I Msu6 Th Y T Iiae Y Aoq 67i 8w Etn ƒc O Y H 8i Ge A V Y U E Ss C Sue ƒeaeu Cf Ude I Pa47œ U O Y Sj 9 Ti 5 A P Niooœ It Osn I M 4b Eˆ Ipa Uºooyo Wz Oyt T G G œm œo Qc N Ki E E ÿn O0 Aj
An Experiment Consist Of First Rolling Die And Them Tossing A Coin Wyzant Ask An Expert

Ascii Code

Characters For Copy Pasting
Hw 3 Solution Pdf Problem 2 34 The Closed Tank Of The Figure Below Is Filled With Water And Is 5 Ft Long The Pressure Gage On The Tank Reads 7 Psi Course Hero
3 Ways To Make Symbols On A Mac Wikihow
Page 165 Stemeducation
Altgr Key Wikipedia
Altgr Key Wikipedia

Amoebien

Romena Y 9o Evuth Pbuv Ueb C J8 L8b3h Ebo Nyjo X Flickr

Pdf The Methodology Of Tafsir Al Ishari Al Alusi As A Model
Uwf1iv4vze Im

Pdf Treatment Of Nature In Sangam Poetry

Exam P Samplesolutions

Python Get The Ascii Value Of A Character W3resource
Ordinal Indicator Wikipedia
Ch 04 Stress Mechanics Ultimate Tensile Strength

Conformal Field Theory Of Composite Fermions In The Qhe

Circle Drawn Passing Through One Vertex A With Center At Vertex C Of The Square Abcd The Angle Subtended By Chord Containing Points B And D At Extremity Of Diameter Opposite To
Homepage 1 2

Diario Da Republica 2 ª Serie N º 235 9 De Dezembro Esmae
Alt Codes How To Type Special Characters And Keyboard Symbols On Windows Using The Alt Keys

A Tutorial On Data Representation Integers Floating Point Numbers And Characters

Sms Length Calculator And Text Message Segment Counter
Extended Character Set

I Xc Cxg P 人気の最高の壁紙無料whd

Jak Rozkrecic Biznes

Let S Talk About Saving Private Ryan By Matt Wu

Early Childhood Prekindergarten

Page 3 Silveira High Resolution Stock Photography And Images Alamy



