Ncl X K
^ > K h/> Z^ t Z ,Kh î ñ l ì î l î ì î í W u Z o Æ v µ Z } v À Z D v v v ' D v Z } u v µ Z } Ç î õ X ï ô.
Ncl x k. · Directed by Guy Ritchie With Henry Cavill, Armie Hammer, Alicia Vikander, Elizabeth Debicki In the early 1960s, CIA agent Napoleon Solo and KGB operative Illya Kuryakin participate in a joint mission against a mysterious criminal organization,. JAN y z Ȋ i B O ̂ Ȃ X ^ _ h ȃ X N ł B J e ɂ t ł ܂ B yJAN R h F z i ł B T C Y W J L x ȃX ^ _ h X N ł B ӂ Ԏd A ډB Ȃǎg 낢 B 炵 ɖ𗧂 A C e ł B J e ɂ t \\ B X N ̏ ~ Â ŃX Y B グ x _ C ŊȒP ł ܂ B t l X ̃ X N DCM I C ł͔̔ Ă ܂ B ̑ ̃C e A p i 戵 Ă ܂ B i T C Y F 90 ~ 2cm B. >kKÓKnhKont`olk>K^KkB >n >SØ Klh>ll>QKklhKotK^nhk`PSnKkIoh>^`k>>>LkSK^lok>tSKÓI`^^>^nlokKlK>ovGkSln>S^KlIK>F>SKÓ>t>^nIKISlh>k>VnkK>o l`KnIo"`^n >kKØ Knk>YKnIokKK^tSk`^¿S^onKlÓKnh`okKkKn`okÓ`^hKonl`SnKhko^nKkKnLLhRLkSjoKÓl`SnIKlGK^IkKK`^QIolK^nSKkKlG>khLYoljoÜB> k.
T @ ł 邪 䂦 ɗ ܂ e W J ɑ s A s ͂ ̓n C L !!. "The number of combinations of n things taken k at a time as an integer" A little more clarification "For example, the combinations of four items a,b,c,d taken three at a time are abc, abd, acd, and bcd In other words, there are a total of four different combinations of four things "taken three at a. A K C n l X ̏ i y W ł B z Z ^ ʔ DCM I C ւ悤 I IDCM z } b N ADCM J } ADCM _ C L ADCM T ADCM 낪 ˂ Ńz Z ^ P ʂ̂c b l z f B O X ^ c ̃l b g ʔ̂ł B.
Inköpt 19 Köpt av mig här på KS sommaren Kommer fullset med box, cert, manual. D umen t ar er plå verföringssyste met Hälsar Bne Ona maj EXTRA ’ Har inte känt jättebehov att informera’ SVERIGES BÄSTA SPEL!. NCL Group Thiết kế & Xây dựng, Binh Thanh, Hồ Chí Minh, Vietnam 522 likes · 40 talking about this Hơn 5 năm trong lĩnh vực Thiết Kế và Thi Công nên những Công trình Nhà ở.
" n C l b N X 엿"( _ Ǝ ށE K f j O p i) T Ȃ牿 icom ցB S ̃l b g V b v ̉ i A l C ̃ L O A N ` R ~ ȂǖL x ȏ f ڂ Ă ܂ B ̏ i ̒ 炠 Ȃ T Ă " n C l b N X 엿" r E ł ܂ B. X h l d j u l u c ^ h k l m i d i h b k d h \ u f k _ j \ b k Z f b w g p b d e h i _ ^ b y f (Google, Bing, Yahoo!, Yandex, Wikipedia, Wiktionary, Wikispace, etc), p b n j h \ u f h j Z a h \ Z l _ e v g u f j _ k m j k Z f, k j _ ^ Z f k h \ f _ k l g h c ^ _ y l _ e v g h k l b;. Med ett par roliga inköp blir det dags att avyttra lite riktigt trevliga ur Här kommer en härlig, och stenhård, INOX med en unik boett i kolfiber Piper aldrig i flygplatsens säkerhetskontroll!.
@ N x { u w Ǘ Ґ x v ɖ Ԋ Ƃ M 𑗂 Ă B x ́A o Ȃǂ ʂ ĊW ֗^ c ̂Ɉϑ Ă { ݂̉^ c E Ǘ Ɩ A Ԋ Ƃ ł 悤 ɂ B ϑ ͑ΏۂR R { ݍ v Ŗ U O ~ B 傫 ȃr W l X ` X Ƃ݂Ċ Ƃ X ƎQ ̍\ Ȃ A d ێ ֗^ c ̑ ̓R X g 팸 } ȂǑR Ɍ B. Le` m \ i j ` k p 9 c m % \ e k i X c = c i ` X 9 f l c \ m X I \j\XiZ_ G Xi b nX p I j \ Z _ G X i b n X. C l e a n c l o s e t 4 likes Tienda de ropa de segunda mano y nueva Compra, recicla y ahorra.
Here is a basic key to the symbols of the International Phonetic AlphabetFor the smaller set of symbols that is sufficient for English, see HelpIPA/EnglishSeveral rare IPA symbols are not included;. การเดินหน้าของช่อง k a n c h a n n e l⭐️🌟⭐️🌟⭐️🌟⭐️🌟⭐️🌟⭐️🌟⭐️🌟สร้างช่อง 16 / 01 / 1230. K PROXY EXTENSION 100% sites will work Web based proxies are a pain, forget you are using a proxy with KProxy Extension If any site doesn't work I'll eat my hat 100% safe KProxy Extension encrypts the connection between your browser to your target server,.
L K J IH G F E D C B A W V U TS R Q P O N M a ` _ ^ \ Z Y X l k j i h g f e d c b w v u t s r q p o n m c ba ` _ ~ } { z y x o n m l k j i h g f e d { z y x w v ut s rq p § ¦ ¥ ¤ £ ¢ ¡ ~ }. Listen to N X C K SoundCloud is an audio platform that lets you listen to what you love and share the sounds you create 2 Tracks 81 Followers Stream Tracks and Playlists from N X C K on your desktop or mobile device. Jc^k Zg h^in d HZÒZaY 6aV^c.
Search the world's information, including webpages, images, videos and more Google has many special features to help you find exactly what you're looking for. Butik Kpop Monsta X Stort Väskhänge En av många artiklar som finns tillgängliga från vår Berlocker och hängsmycken avdelning här på Fruugo!. N C l X ́A Ǝ ̋ ͏ L u h ŁA30 ʂ I L ̃t F m X z _ i j A V 5 I i E ہj ͂ ߁A ` ^ j R E G L X Ȃǂ̐ A L ɂ Ƃ ʓI ȉ 䗦 Ńu h B ǂ B.
K)'' 8ZX\d`Z M`ccX^\ i \ \ b G X i b ;. · a < 0 There is a reflection in the x axis Where if k is · k > 1 It is a horizontal compression by a factor of (1/k) · 0 < k < 1 It is a horizontal stretch · k < 0 There is a reflection in the y axis Where if d is (Opposite of what you see) · d > 0 Then it horizontally shifts to the right. These are found in the main IPA article or on the extensive IPA chartFor the Manual of Style guideline for pronunciation, see WikipediaManual of Style/Pronunciation.
̍ i A ` X ł͂ ܂ A A ` ̓A ` X. X är blindplintar som bara används för överkoppling Därför är det inte någon "förbindelse" mellan pilarna som går till L resp N Vidarekopplingen ska läggas under samma skruv som L/N Det är lite svårt att se på bilden om de klämmorna tillåter två trådar men uttaget ser rätt modernt ut så det vore konstigt om de inte gjorde det. 10k Followers, 181 Following, 47 Posts See Instagram photos and videos from N A T I 🕊 (@xblvckn).
Earn Free Robux Here https//bitly/3eE8usRChipChii T H A N K Y O U ️A L L ️F O R W A T C H I N G 🌟C H I P C H I I🌟D O N T F O R G E T T O L I K. I` m \ Efik_ F i` fe9 lc\mX> d ` e ` 9 f l c \ m X i < X j k > \ ` d e` 9 fl c \ m X i N \ j k >\d`e` f lc \ m X Ef ik_ 8h lXi`j ^ ;m\ \e kXl ij% N;. Find local businesses, view maps and get driving directions in Google Maps.
Create an account or log in to Instagram A simple, fun & creative way to capture, edit & share photos, videos & messages with friends & family. 排列组合中的公式P(n,k) C(n,k) (都是n上k下) 2 概率论的一个公式(上n下k)什么意思等于什么 72 从n个球中任意取k个,有放回,不考虑次序,取法有多少?. Dunkischarlx (@dunkischarlx) on TikTok 656 Likes 125 Fans *•°` 𝗱𝘂𝗻𝗸𝗶𝗻𝘀 *•°` ☽︎☾︎.
Stack Exchange network consists of 176 Q&A communities including Stack Overflow, the largest, most trusted online community for developers to learn, share their knowledge, and build their careers Visit Stack Exchange.

Rafi Ecatalog Keylock Switches Pushbuttons Ramo 22 Ramo 22 K

Dikkat Calisma Var Amazon De Mars K Yay Nc L K Bucher

The Graph Below Expresses A Radical Function That Can Be Written In The Form F X A X K 1 N C What Does The Graph Tell You About The Value Of C
Ncl X K のギャラリー

Sport Luftfilter K N Honda Nc 750 S X Dtc Integra Bj 14 Tauschfilter Eintragungsfrei K N Luftfilter Abe Motorradzubehor

Danfoss 0h3142 Stellantrieb Twa K Nc 230v 50hz F Gewindeanschluss M30 X 1 5 Ag Ebay

A B C Be Three Sets Such That N A 2 N B 3 N C 4 If P X

Klimatologische Daten South Carolina Raleigh N C Wetter Buro 2 August 1907 Usd 0 1 O Q 2 O Gt Ph Q O Jrn Lihvt M Imat L K I L Iikport Abschnitt Von South Carolina 51 Us Dlcrartmlnt

Reso Aga Amazon De Skele Yay Nc L K Bucher

A High Resolution Xps Spectrum Of N 1s For Fe Sa N C B Fe K Edge Download Scientific Diagram

Relationship Between Stirling Numbers Of The First Kind And Their Absolute Value Possible Error Mathematics Stack Exchange

Lenkererhohung Und Versatz Fur Honda Nc750s Nc750x 69 95

Fy Mode Fe K Edge Xanes Spectra Of Fe N C During Cyclic Voltammetry A Download Scientific Diagram

Bar N Resmi Cilti Amazon De Un Yay Nc L K Bucher
Codex X Fusion 3 K Design Epoxidharz Komp C Anthr Mahler Webseite Codex Gmbh Co Kg

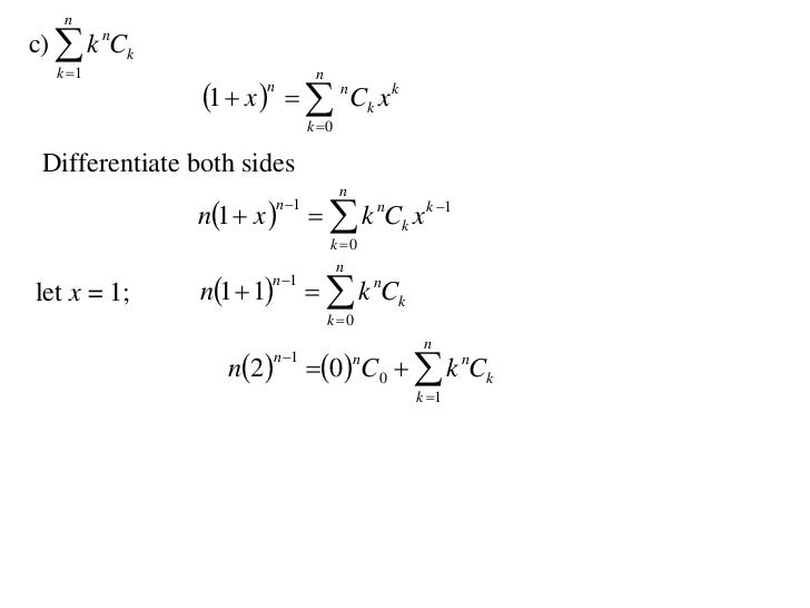
The Binomial Theorem Robert Yen Hurlstone Agricultural High School This Presentation Is Accompanied By Workshop Notes Ppt Download

Solved The Graph Shown Below Expresses A Radical Function Chegg Com
Proof That P Is Irrational Wikipedia

Synchrotron Xas Of The A C K Edge B N K Edge And C Fe L Edge Download Scientific Diagram
P K Xanes Of Ps N Me Nc H Py 3 L 1 And Its Synthesis Precursor L 4 Download Scientific Diagram

Die Biologische Bulletin Biologie Zoologie Biologie Meeresbiologie F C N C Offner Oc I K 3 Primare Bisexual
Solved Ifa V O G U R T And U A B C D E F G H Chegg Com

R C K S I C H T A U F D I E L A N D W I R T S C H A F T D E R F E L D U N D F L U G K N I G G E H O C H T A U N U S K R E I S

Bmw K 1300 R S Cobra Exhaust Premium Quality

High Resolution Xps Spectra Of A C 1s B Ni 2p And C Fe 2p For Download Scientific Diagram

Yeni Neura Via Sistemi Ile Dikkat Guclendirme Seti Dgs Mixt 4 5 Ya Amazon De Adeda Yay Nc L K Bucher

Jumo Dtron 308 Hoch Pid Temperaturregler Pt100 Pt500 Pt1000 Kty11 6 L J U T K E N S R B C D 0 Bis 2 Kaufen

J Clinogyne Monophylla K Schum Narbe B D Maranta Arundinacea L B Kinder C Staubblatt Und
S C H A L L K N A L L Facebook

M N C N T A S S Q B J R E œ N R R X B N K K D B S H N M U N Kd P C I O R X B G N O T Q O K D Q D U D K L H W Amazon De Musik
De Moivre Laplace Theorem Wikipedia

F 258 Daily Beauty Collagen Mask And Premium Vita C Mask02 Jpg

H O C H T A U N U S K R E I S B R I N G T P L A K E T T E F R B A R R I E R E F R E I H E I T H E R A U S H O C H T A U N U S K R E I S
Typo A B C D E F G H I J K L M N O P Q R S T U V W X Y Z Neon Fonts Moderne Alphabet Buchstaben Und

Solved Prove That The Following Languages Are Not Regular Chegg Com

12 X1 T08 05 Binomial Coefficients 12

Synchrotron Xas Of The A C K Edge B N K Edge And C Fe L Edge Download Scientific Diagram

Solved Find Context Free Grammars For The Following Langu Chegg Com
Typo A B C D E F G H I J K L M N O

Devi 0h3142 Twa K Nc Therm Stellantrieb Stromlos Geschlossen230 V M30 X 1 5 Rexel Germany
Typo A B C D E F G H I J K L M N O

H R Twin Tube Gewindefahrwerk Mini R50 Mini Mini N R56 Incl Ukl C Ukl L Ukl K Kaufen Bei Aze Tuning Gmbh Co Kg
Typo A B C D E F G H I J K L M N O

Nc Hochdruck Maschinenschraubstock Mc 160 L Jetzt Online Kaufen Zu Top Preisen Top Maschinen De

K I N D E R U N D J U G E N D R Z T L I C H E R D I E N S T H O C H T A U N U S K R E I S

Answered X26 Dxby Using The Formal Definition Of Bartleby

Emko Esm 4450 Pid Thermostat J K R S T B E N C Amazon De Elektronik

Armee Liste 0 X Gt 1 Sc6 I Pi Pi3 3c1 1 S S Gt 0 V Cm L Co M Pi K Pi C C 35 1 1 1 2 Gt Gt Pi Pi0o

Halterahmen Spezifisch Fur Seitentaschen Kappa Te1111 K Honda Nc 700s 12 13 Nc 750 S 14 Honda Nc 700 X 12 13 Nc 750 X 14 Amazon De Auto

Wiking8 Mercedes L 3 A C E F K J N T Neuwertig

Relationship Between Stirling Numbers Of The First Kind And Their Absolute Value Possible Error Mathematics Stack Exchange

Panasonic Akt Temperaturregler K J R S B E T N Pl Ii C Pt100 Pt100 0 Bis 10 C Ssr L X B X H Kaufen

Emko Esm 4450 Pid Temperaturregler J K R S T B E N C Pt100 Relais 5 A Rs 232 L X B X H 105 X 48 X 48 Mm Kaufen

Knuckles From K N U C K L E S Knuckles Knuckles In Knuckles The Echidna By Just Another Memer

Pumpenscout

Error Coding N Transmission Process May Introduce Errors

Danfoss Thermischer Stellantrieb Twa K Nc M30 X 1 5 24 V Ac Dc Kabel 1 2 M 0h3140 Regelungen Und Komponenten Heizung Billiger De

Einbau Digitalanzeige K C Arbah L M K C

K Pop Idol Oppa X Oc Nc Victon Boyfriend Material Beautiful

Binomial Identities Expansion Of A N X A

Digitalanzeige K C Arbah L K C

Emko Esm 1510 N 5 10 0 1 00 00 2 0 0 0 2 Punkt Regler Temperaturregler K 0 Bis 999 C Relais 5 A L X B X H 62 X 35 X 9 Kaufen

Kreativbegriffe Von A Bis Z Page Online

Thermischer Stellantrieb Twa K M 30 X 1 5 24 V Nc Stromlos Geschlossen 5 00 M Thermische Stellantriebe Warmwasser Fussbodenheizungen Climate Solutions Warmetechnik Danfoss Germany Product Store

The Graph Shown Below Expresses A Radical Function That Can Be Written In The Form F X A X Brainly Com

N E U W A H L E N K R E I S S C H L E R R A T H O C H T A U N U S K R E I S F R D A S S C H U L J A H R 2 0 1 8 2 0 1 9 H O C H T A U N U

Solved Use 1 X N Sigma N K 0 N K X K To Show Th Chegg Com

Is This An Inconsistence In The Usage Of The Space Of All Continuously Differentiable Functions C N X E Mathematics Stack Exchange

Jumo Temperaturregler L J U T K E N S R B C D L Chromel Alumel Chromel Copel L X B X H 131 X 96 Kaufen

Solved Given The Function Below Complete Parts A Throu Chegg Com

Fototapete Font Stylization Of The Letters Z And A B C D E F G H

Approximations For The Factorial Function

Jumo Dtron 316 Pid Temperaturregler Pt100 Pt500 Pt1000 Kty11 6 L J U T K E N S R B C D 0 Bis 2400 C Kaufen

A Ru K Edge X Ray Absorption Near Edge Xane Spectra B K 3 Download Scientific Diagram

1 The Sets In The Definition Of A K S Hash Family We Assume U Download Scientific Diagram

Answered 4 In This Problem You Will Calculate X Bartleby

Codex Nc 210 1 K Flex Dichtschlamme Bodenversand24

Kuchenarmatur Erath Spiralfederarmatur Mit Brausekopf 51 28

A Proof That C 0 1 Is Separable Mathematics Stack Exchange

Jumo Dtron 304 Pid Temperaturregler Pt100 Pt500 Pt1000 Kty11 6 L J U T K E N S R B C D 0 Bis 2400 C Kaufen

Is L A Mb Nc K If M N Then N K Cfl Or Not Stack Overflow

Symmetry Free Full Text An Upgraded Version Of The Binary Search Space Structured Vq Search Algorithm For Amr Wb Codec Html

Emko Esm 9944 N 2 Punkt P Pi Pd Pid Temperaturregler Pt100 J K R S 0 Bis 1700 C Relais 7 A Relais 5 A L X Kaufen

The Partially Pre Ordered Set Of Compactifications Of Cp X Y Topic Of Research Paper In Mathematics Download Scholarly Article Pdf And Read For Free On Cyberleninka Open Science Hub
Power Series Wikipedia

Api 5ct H 40 J 55 K 55 N 80 C 75 L 80 Erw Steel Casing Pipe Mechanical And Metal Parts Tabdevi Com

Lenkkopflager Honda Nc 700 X Xa Xd Dct Typ Rc63 K Maxx Shop

Fur Honda Vtr1000f Vfr 750 800 Nc700x Nc 700s 700 X Universal Motorrad Verkleidung Korper Schrauben Roller Clips Schraube Muttern M6 Full Fairing Kits Aliexpress
Let F X X 1 X N 1 N For Nge2 And G X Ubrace Fofo Of F Occ
Chemical Environment Of Nisa N Cnt As Probed By X Ray Absorption Download Scientific Diagram

Solution Manual For Digital Signal Processing Using Matlab 3rd Edition By Schilling And Harris By Sawoe727 Issuu

Mitchell Nc Fries Reflex 35mm Film Kamera System Clean L K Ebay



