Tb T Gx Cu
Sponsored Sponsored Sponsored BTG 2PCS Joystick Sticks Thumb Rocker Compatible with DJI Mavic Air 2 / DJI Mavic 2 PRO/Zoom w/DJI Smart Controller 50 out of 5 stars 3 $9 $ 8 99 FREE Shipping on orders over $25 shipped by Amazon.
Tb t gx cu. I t B X C A E g ̍L B I t B X Ƌ C A E g T r X ʼn K ȃI t B X Ԃ L @ @ X ܃V OfficeToday c Ǝ ^ ` am930 `pm10 @ x Ɠ ^ y j A j A j A N N n. (C) 16 MEINL / Kyoritsu Corporation, Ltd. W Ì ÿ l ú T KKKKKKKKKKKKKKKKKKKKKKKKKKKKKKKKKKKKKKKKKKKKKKKKKKK e ÿ Í w M M s q V G L ` h w p b { Z M ÿ X q q X ÿ X.
'Greater Toronto Tenpin Bowling Association' is one option get in to view more @ The Web's largest and most authoritative acronyms and abbreviations resource. T T g Ă u E U ł B. Features GoldGalv All surfaces are protected with a trivalent chromium finish applied over zinc, creating a chemically bonded nonporous barrierGoldGalv finishes are applied after cutting and punching which protects all surfaces of the finished product SilverGalv All surfaces are electroplated with 05 mils of zinc after cutting and punching, providing a durable, corrosion resistant.
* V { N X G X 1999 @ Kris S 1977 @ Roberto Hail to Reason Bramalea Sharp Queen Princequillo Bridgework Tee Kay 1991 @ Gold Meridian Seattle Slew Queen Louie Tri Argo Tri Jet Hail Proudly t F A h 1996 @ X e g h. B't X (Japanese ビート・エックス, Hepburn Bīto Ekkusu), pronounced "beat X" and stylized as B'T X, is a manga series, written and illustrated by Masami KurumadaIt was serialized in Shōnen Ace from 1994 to 00 The series is set in a fictional universe where science has progressed to the creation of mechanical AI creatures known as Bt's. V G f P V ® Shoe Education® L ߁A V G f P ^ ® Shoe Educator® ̈琬 H Ă ܂ B E F u S ̂ ̃T C g.
Chubby, Tan, Blonde Girl A girl or woman who is slightly chubby, overly tan and of course blonde Yet still hot and seems to know it. PR C Y ^ C g t B b g X g g O F װ d l I C ڻް v W b v t C @01) X @ 125oz Denim. Feb 01, 18 · Looking for the definition of GTTBA?.
ĉh N G C g Ă ܂ A ЃA C b g l ̃I t B X f U C E C A E g Љ v ܂ c X y X ~ e B O X y X ƁA Ј ̃ N X y X Ƃ ̓ c i q ŃZ p g A ͂ q l ̐Ȃ 猩 ʒu ɔz u ܂ B. R p V b { H5 Ú t G L ^ h ¹ Ñ Ä ¢ £ t b b o w V b á I ` s M Ô ù x z Ì ¿ « ¿ Ó ¯ Ð t b V b á I b \ q x p V d {4 ¿ S M v 41 Å Ï å ï » Ü M v Ä ò S l 7 x Å Ï å ï » Ü PC a ¼ Í p z h x Ê Ü. M ҃v t B H R j q B ܂ B w @ w ƁB ۂ̓ OL A o C A } P e B O ЋΖ o āA n āB ȗ A } n b ^ ݏZ B FIT ݊w A } K W E G f B ^ A t X E C ^ T ` ߂ A1996 N Ƀp g i Ƌ @ ` E V b s O E l b g N / CUBE New York X ^ g B ̌ 000 N ɓƗ ACUBE New York Inc ݗ B ȗ A Б \ ߂ B.
Mar 01, · ABB T&B Liquidtight Systems™ The industry leader in cable production products ABB ranks #8 on Fortune Magazine's list of companies that are "changing the world" ABB products help protect new airport rail systems for Asian Games in Indonesia. S t X N ̏ T C g B G t G X S t ł́A ʁA Q n A A ȖɂăS t X N ̉^ c s Ă ܂ B ɂƂ ėǂ S t X N Ƃ͉ ł H. Suppose G(1) X(t) Cost And The Fourier Transform Of The G(t) Is 1, W = 2 G(jo) 0, Otherwise (a) Determine X(t) B) Specify The Fourier Transform X1(jw) Of A Signal Xı(t) Such That G(t) = X1(t) Cos T 3 This question hasn't been answered yet Ask an expert Show transcribed image text.
ɁA 댯 ȁh U 镑 h t @ C ́A J p ӂ p T o ɖ₢ 킹 A Ŋ Ă 邩 ǂ ` F b N u N E h v @ \ 011 N ɖ{ i I ɑ ̃\ t g ɓ ڂ ͂ ߂܂ B G t Z L A p _ ̃N E h Z p A } J t B Active Protection ɂ ܂ B T o ł E C X 肷 邽 ߁A p \ R ɕۑ p ^ t @ C r I 邱 Ƃ ł A 삪 d Ȃ ̂ h Ƃ ł ܂ B. BeIn ̃I t B V T C g ł B X V 11 NBEIN ̗l q ͂ ↓ ˂ ݂݂ @. ݁A I t B XEX9050/EX9000 ̃v g x150 / i ʎ Жʉ A W ݒ A v g AEX t F C X _ E r g C g p j 014 N1 ݔ̔ ̖ t i J b g j I t B X p J v ^ ɂ Đ E ő ł B.
A t @ N G C e B u ́A I t B X E X ܁E h { ݂̗ グ A ƊJ s Ƃł B ЃA t @ N G C e B u l I t B X @ @ l s Β 12 @ lTH r T e TEL F @FAX F. F I T B O X M A C H A L I, Vector 5 likes · 2 talking about this · 149 were here Centro de entrenamiento FUNCIONAL Y PRO FUNCIONAL. 116 of 54 results for B T G Skip to main search results Brand BTG;.
M&s i G A h G X j Ƃ Market & Solution ̗ Ńt @ b V s ɂ l X Ȃ v A ɑΉ E Ă t @ b V T g Ƃł B 11 e i j ̃R g 삵 ܂ I @. VERIVERY ‘FACE it’ series’ third episode album FACE USThe third episode of VERIERY ‘FACE it’ series, FACE US has arrived with the story of a whole n. L ݎ A ݓX ܁A I t B X r A e i g ̏ S ʐ^ t ɂĂ Љ B ʏ ŕ ̓ \ ł B E E E 擙 A L s S J o B L ̑ݎ A ݓX ܁A e i g T ̕ ͕ Ђɂ ܂ B ܘ_ T ̏ ڂł ̂ŁA Γ ̕ Ђɂ k I L S X i I t B X r Ȃǁj 攪 x @3F @ 13 @ @ @ @ i x ̂ 荠 e i g.
I J Ƌ ̔ 㗝 X ́y W e G W F V z A K ȃI t B X Ԃ v E Ă ܂ B I t B X ړ J ݂܂ňꊇ 邱 ƂŒ R X g B ÃI t B X Ƌ ̔̔ E s Ă ܂ B I t B X C A E g 쐬 ͂ 炩 B. C ^ l b g X e V i s j ł́A C ^ l b g T r X S ҂ɂ ₷ Ăȉ i ł ܂ B ڂ ͂ X ŁI 傫 Ȓn } Ō SHARE OFFICE MOGURA b V F A I t B X O @ s. MGA, Inc 14 W Stone Harbor Dr.
اسمي(طارق)🖤محتوى قناتي عن الالعاب مع شوية تنويع في الشروحات و التسريباتالهدف من هذا المحتوى ان المتابع. Design and development The Fokker CX was originally designed for the Royal Dutch East Indies Army, in order to replace the Fokker CVLike all Fokker aircraft of that time, it was of mixed construction, with wooden wing structures and a welded steel tube frame covered with aluminium plates at the front of the aircraft and with fabric at the rear. { o ϐV ЂƎВc @ l j I t B X i c iNOPA j ́A u j I t B X v  ̕ y E i } 邱 Ƃ ړI Ƃ A n ӂƍH v 炵 I t B X \ o j I t B X ܂ { ܂ B.
X t g @ g C u V @ \ t g ̏ i y W ł B z Z ^ ʔ DCM I C ւ悤 I IDCM z } b N ADCM J } ADCM _ C L ADCM T ADCM 낪 ˂ Ńz Z ^ P ʂ̂c b l z f B O X ^ c ̃l b g ʔ̂ł B. R X ` f ^ E _ E h ̔ ̂ m 点 ̃T C g ɂȂ ɂ Macromedia Flash Player 8 K v ł B. A e B X g E _ T ^ b ́u _ X G } W v I t B V T C g B _ E W Y E o G _ X ꂽ _ X ŁA j N E T t V X R E { _ Ƀ_ T Ƃ Ċ B.
S e ;. ` T V c J b g \ q Ȃǂ̃u h 郉 p f U C I t B X ̃y W s s 搼 511 @ O G X p X 䏊 508. T T B X 355 likes · 2 talking about this Marca Mexicana / Edición Limitada / Hecha en Ixmiquilpan, Hidalgo, México.
T b g C ƍ 킹 čw ܂ B ̍H A ȒP Ɍ Ă ܂ ƕ ̂Ȃ X ł B 16cm Ȃ ̂ő t b g A S t b g ɓn Ė ՂȂ C 荇 킹 ɂ͂ ƒ ӂ K v ł B v ̒ ɂ͋ϓ ɎC 荇 킹 邽 ߂ɒ ڂ̊p p C v Ƀy p i z j T _ t ̂ g 悤 ł B i ꖡ ͂ƂĂ ǂ Ǝv ܂ B t b g Ƃ Ȃ t b g t @ C 킹 đ Ƃ ł B. C @ v t B b g X P o P cL( ȒP ߂̖ڐ ) y i T v z ڐ 肪 锽 f U C B ȒP ߂̖ڐ (5 { E10 { E { E50 {)10L 15L ̊ ߂ɑΉ \ B. Swans i x y j swans t o x faceone i t f c x j ultra for baseball f fo3516 fo3516maw 15,840 ~ 10 ( 158P ).
The TAB teardrop camper trailer is the iconic teardrop that sets the trend for all others to follow This popular unit is just the right size for a weekend jaunt or an extended camping adventure. Find out what is the full meaning of GTTBA on Abbreviationscom!. S ̃A N Z X ǂ F s { Ńe j X t b g T y I HOME e j X t b g T { ݈ē W;.
T b g X m V R g C pY38A PIAA p C p Ȃǂ i ōw ł 郂 m ^ E ͎戵 i1,800 _ A3,500 ~ ȏ ̂ ő ɂȂ ʔ̃T C g ł B. I t B X f U C E C A E g E ړ Case059 F Ѓf B N G C V l.

Jb23w A Style I W I T T B G X B H L B G Suzuki Jimny New Suzuki Jimny Ford Excursion

Ex 11 1 1 Find The Rule Which Gives The Number Of Matchsticks

K L Mcmillan Cadence Berkeley Labs Ppt Download
Tb T Gx Cu のギャラリー

Misc 15 If X A 2 Y B 2 C2 Prove 1 Dy Dx 2 3 2

Pdf In Silico Analysis Of Possible Interaction Between Host Genomic Transcription Factors Tfs And Zika Virus Zikasph15 Strain With Combinatorial Gene Regulation Virus Versus Host The Game Reloaded

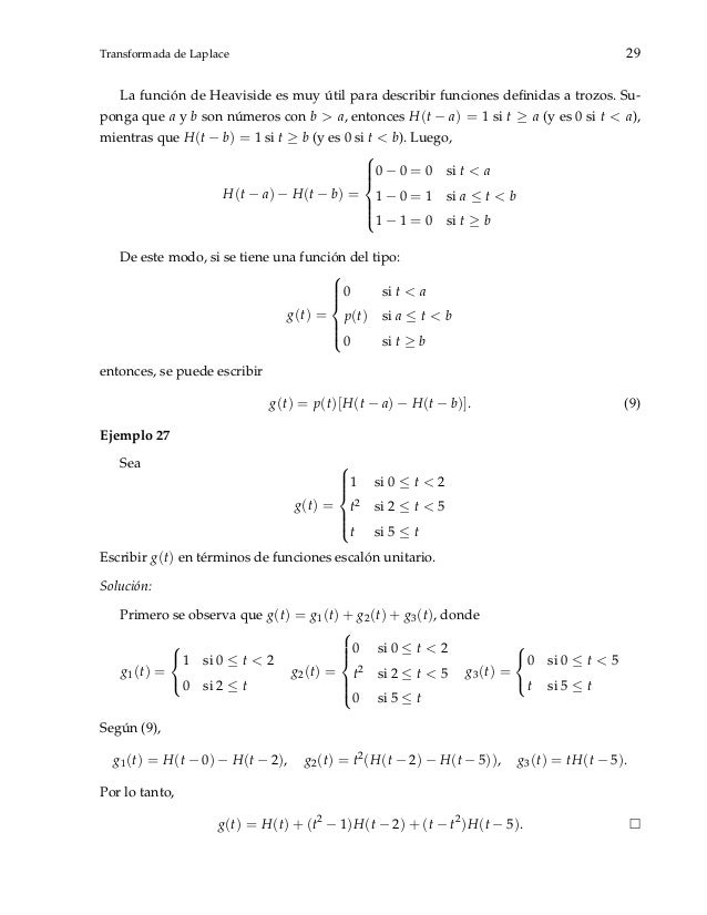
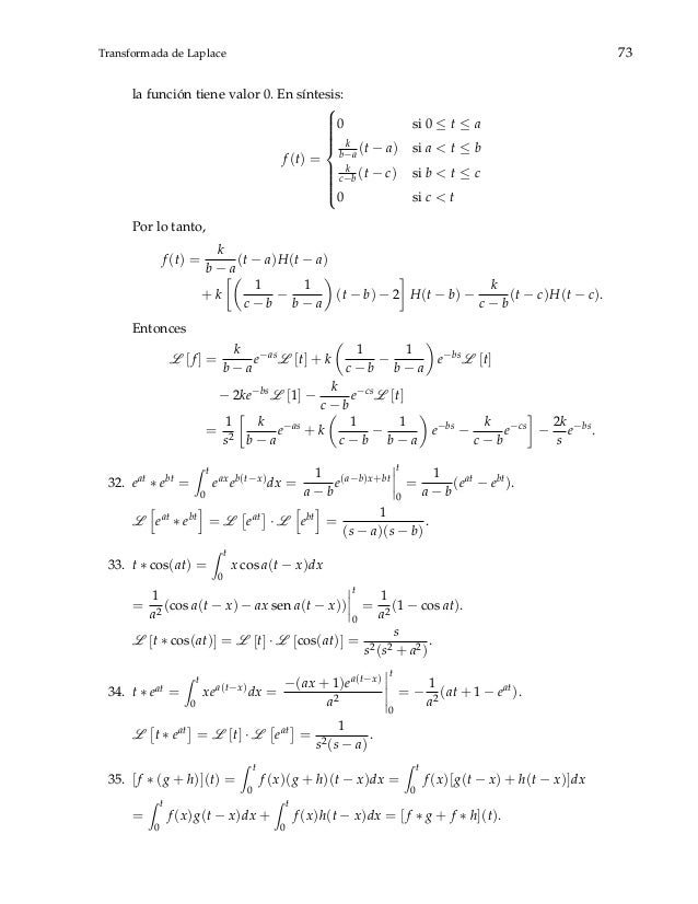
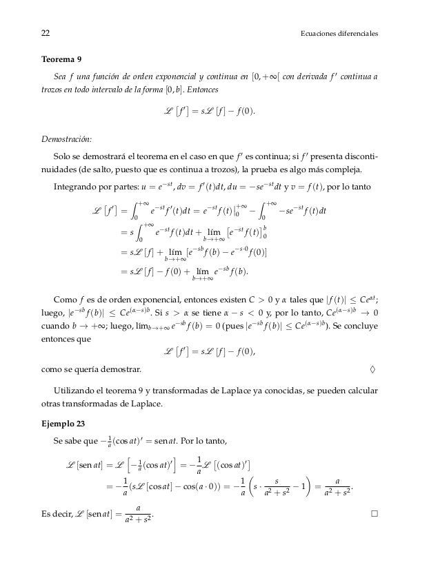
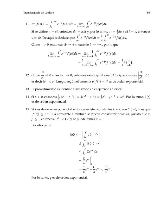
Transformadas De Laplace 1
Osa Terahertz Optical Fibers Invited

Pdf Diversity Of Xiphinema Species Nematoda Dorylaimida Associated With Different Crops In Romania

Rovasirasunk Hungarian Runic Alphabet Alphabet Code Alphabet Symbols Runic Alphabet
Ejercicios Linealizacion Y Diferenciales Ejercicios Sobre Linealizaci Studocu
If F X Int 1 X Lnt 1 T Dt Where X 0 Then The Values Of Of X Sa
What Can Art Still Do 2 Chi Unesco Digital Library

6 Find The Dimensions Of A B In The Equation F A X Bt2 Where F Is Force X Is Distance And T Brainly In

Solved 1 The Signals Given Below Are The Input And Outpu Chegg Com

Mean Value Theorem Example Polynomial Video Khan Academy

Transformadas De Laplace 1

Verifying Inverse Functions By Composition Not Inverse Video Khan Academy

Erotique Sans Typeface By Zetafonts

Analisis Dimencional

Ap Calculus Ab Multiple Choice 1998 Exam Part B Videos Questions Solutions

Page 1 Problem 3 1 Known One Dimensional Plane Wall

Transformadas De Laplace 1

Analisis Dimencional
Solved 1 The A A Fint 6 B Fini S 2 C What Kind Chegg Com

Let F X Int 2 X Dt Sqrt 1 T 4 And G Be The Inverse Of F Then

Misc 15 If X A 2 Y B 2 C2 Prove 1 Dy Dx 2 3 2
Essentia Project Template Waf At Master Mtg Essentia Project Template Github

Integral Indefinida Sol By Jose Antonio Tarifa Garzon Issuu

Calameo Modulo1 Tesis

Tercera Parte Parte Del Cuaderno De Ingles

Con 155 Homicidios En Pdf Free Download

Catalysts Free Full Text Recent Progress In The Transition Metal Catalyzed Synthesis Of Indoles Html
For X 0 Let F X Int 1 X Log Et 1 T Dt Find The Function F X F
Portuguese Orthography Wikipedia

Chit Ko Gyi Vk
Osa Terahertz Optical Fibers Invited

Carta De Don Carlos Simon Pontero Al Padre Andres Marcos Burriel Sobre La Navegacion Del Tajo Y Otr By Fundacion Juanelo Turriano Issuu

Analisis Dimencional

Transformadas De Laplace 1

Analisis Dimencional
Let F And G Be Two Real Valued Functions And S X F X 0 And T
Tema 10 Tema 10 Upf Studocu

Find The Equation Of An Exponential Function Math 1314 College Algebra

Como Hacer Una Toracostomia Con Aguja Trastornos Pulmonares Manual Msd Version Para Profesionales

Let F X Be A Differentiable Function Such That F X X 2 Int 0 X

Transformadas De Laplace 1

Calameo Modulo1 Tesis

Ortografia Del Espanol Wikipedia La Enciclopedia Libre

My Publications Dogxpert Logo Page 8 9 Created With Publitas Com

Tg And Dta Curves For B Cu Hcoo 2 Download Scientific Diagram

Solved 1 The Signals Given Below Are The Input And Outpu Chegg Com
Let F X Be A Differentiable Function Such That F X X 2 Int 0 X

Transformadas De Laplace 1
T Wiktionary

If Cc Abc What Are A B And C Youtube

Molecules Free Full Text Synthesis Of Phthalides And A B Butenolides By Transition Metal Catalyzed Activation Of C H Bonds

Molecules Free Full Text Synthesis Of Phthalides And A B Butenolides By Transition Metal Catalyzed Activation Of C H Bonds

Solved 1 The Signals Given Below Are The Input And Outpu Chegg Com
Czech Helper Com Home Facebook

Tg And Dta Curves For B Cu Hcoo 2 Download Scientific Diagram
List Of Unicode Characters Wikipedia
Osa Terahertz Optical Fibers Invited

ベストコレクション Xq Tbv Y 大きな新しい壁紙無料thd

Analisis Dimencional

Transferencia De Calor Ii Introduccion A La Conveccion Pdf Txt

T Ffl J Nal H S
About Iphonetrabaohanh

Analisis Dimencional

Catalysts Free Full Text Recent Progress In The Transition Metal Catalyzed Synthesis Of Indoles Html

Con 155 Homicidios En Pdf Free Download

Jcm Free Full Text Hdl And Ldl Potential New Players In Breast Cancer Development Html

Analisis Dimencional
Osa Terahertz Optical Fibers Invited

If A 1 2 2 2 1 2 A 2 B Is A Matrix Satisfying The Equatio

Tg And Dta Curves For B Cu Hcoo 2 Download Scientific Diagram

Solved 1 The Signals Given Below Are The Input And Outpu Chegg Com

Calculus Cheat Sheet Pauls Online Math Notes
Let F 0 Oo R Be A Continuous Function Such That F X 1 2x

If The Compound Statement P P Vv Q Is False Then The Truth V

Tuberculosis Extrapulmonar Enfermedades Infecciosas Manual Msd Version Para Profesionales
Tema 10 Tema 10 Upf Studocu
Uwf1iv4vze Im

If Intf X Dx G X Then Intf 1 X Dx Is Where C Is Constant Of Integration

Luminescent Coordination Polymers Constructed From A Flexible Tetradentate Diisopyrazole Ligand And Copper I Halides Yoneda Chemistry 11 An Asian Journal Wiley Online Library



