Sx Eae
Na_wodach_poKnocyY RãY RãBOOKMOBI N À%¤ * 3Œ ;} D LÜ U 1 f« nv v¦ ¶ ˆ™ Ð —û ¡ ªé"³($»&Àj(Àl*ÁX,Â8Â0 a´2 æ°4 2ð6 ˜8 Ò¨ üx üœ> üÐ@ VÚB ` F ` H ‚òJ ‰ìL “ N œ P ¥„R ®“T ·‹V ÁØX Ê›Z Ó¸\ ÝÐ^ æÈ` ï)b øÑd f Žh Éj )l *n "p Žr ¢t –v !.
Sx eae. Memoires_du_apoleon_Tome_4`#Ì `#Ì BOOKMOBI i 4 ðœ 6õ ?ß Hþ R/ d0 lñ uŽ ~ †¹ ˆ ˜š ¡ ª„ ³ ¼p"Åx$Îa&×u(à_*éN,ñÔúÇ0 •2 4 6 8 ' /ò 8Ë> A¼@ JB SMD \£F dëH m¿J vœL ÐN ˆ P ‘•R šøT £õV X µéZ ¾Ù\ ÇÌ^ Ч` Ù â/d êÎf óÀh ü®j ^l Žn íp !. 8 þR¿£úùF¡Ž )DJ È P¹Æ¿¯É Ëù‘’0é”Ö2î{‘YEécê°ª• D”úÜÍ͹2äç ³3>†i’ JÓ Êbè{S mš‰RD N/¼³˜KªcP ƒæ T "š½X—f >‰ å àÐõL€A ÑxÔ Å!³ xX¯ ¦Ó)eŒõx9ü L ÿ3'Õw1Hh½èæî/ L•¸/ kéL–“u”¶xmÉT©~Äl_–ÌζÓún ä”4ö i§N—ÀÈL ž• T. "F•X’Ùinvisi ŠƒÛˆ@” Ÿ@n ø“é Šè‰ ˆ` 8ar€ÐlŠ;s‹ , ˆIperce X– hrougŠa†¾˜ Ñmade,Œ°ŒØH— – la›˜‚ ‰ö¬`Љy" (Ro• s£@)•0†Ÿ¯Xp¢÷¢÷¢ôŸÏ¦×ŸÏŸÏŸÏŸÍE‘ ™‹istory‘!—l,è 0›¸•Еmoˆ ‡ðsonalžÒl‰»by J ¨m”P™Àa•@—y—Linu ™Ðg™(µ owœº‰þ.
W z d H&H 9 ¶ l H HxH H H ¥ H H H #Õ è HHtHxHl G HvH H H HkHtHy. þ s qx ~~~. >3>> Ó î º Ý è Æ b Q#Ý K S _ X 8 Z c 9 _ u o ö.
S x 4Ä> {8) s ~jà " " Fws %Í$î ³ Ý è Æ ö â Ç Ü È ñ Ö ú Ø ù å = !\4ùZÌ 5 4 s 9ÞHý 8Ñ4ùZÌ w z!\ £ 4ùZÌ h Hó *& w z 0 ca _ Eë2 s ¹ æ ³ Ý è Æ ö s Mo!. ² s x ¿ X æ w § w Á O U > l o M ¢ 1 FO GJFME w × Ü ï « ç µ £} ¤ ú ² s x o t ¥ Z b Q SFDFO USBM L O PC p ¦ æ Ý ( È æ Ý æ æ æ. ^ _ s ü úwSl^ T z pþw ¼í gS a ¼ ¼íî w °AMhiV z å E ÒQ ¯ MhiMoM b\{ x pþw ¼íS fw g Mw èÕçwô^USl^ t*y oM \q ú lo M b\{ T \zw ¼í g M ¡Ë~² Í^doz þqT ô T^ wnX oMV b{¨ Åé å Ò;.
( 4 M S T K>* Q b8 M 4(2° @ 8o b0d _ ~ æ I S4( 6 _ c>*¬ ·3434 Ü b#Ý3õ _ j M 4 ( b Ë8 ' b 0£ @>1>> ¹ Ó î º Ý è W b v b _7H v b \ M. >5 ( b>/ è V K K>* ?. Ý è Æ b v b 7v c b \ _ v b d Ó î º Ý è v \ \4(2° \ b6õ kwws vue j\rvhl dvs ojzdq ms $6 6krklq mvs rexq3ulqw"rxwsxwlg '¨ p ² 4 w0£#ì æ.
Sk Å‚adamúatemâro €3€™óize="1"æac€PTe‚Ÿ‚œ Å„ ‚/‚‚ blockquoteƒ8p> €º”'0” center“_—Ç—Ç“_“_“_n‰¦˜ š. Çs @BDFHJLNP @ TÃgss ¢cÀ gÈ E£†ARTISTD‡€gÈ E£‰PUBLISHERD‡€gÈ E£‰COPYRIGHTD‡€gÈ E£„DATED‡ŠgÈ E£‡COMMENTD‡€gÈ E£‡ENCODERD‡„vsdcss cÀ cÅ gÈ "E£ˆDURATIOND‡”ss cÀ cÅ gÈ "E£ˆDURATIOND‡” C¶u!õYç £¾‚€Ü ùi â. Ó î º Ý è Æ r>8 ä³ b S ì ?.
X !îz "¾ "Î~ #¾. 2 x 8¼ ã K Z < « b%& P 5 Ø W F 2 @ 6 >6>,$Î7Á "á ° ¿ Ý î _ P M } S7Á ¿ Ý î m b G \ H s$Î7Á 0¿ c. B1* 0Û o) Ý è 8o% 90Û o 0Û o>&!l>' 0Û o8o% >3 >2 >1 >0 >/ ¹ !l ) Ý 1"8 b5 0 ö í ²0 ö>& Ç>' >0 >3 >2 s &Å x ä b30 u Z ' K 8 Þ Î ¢ Ý ¥ § å c ð.
W>Ý È æ W #Ý34 ` º2 "@ 3û2 "@ (Ù>ß>Ø>Ý>Ü>Ü >Û ¥ (Ù>Ý>Ø>á>Ü>Ü >Û ¥ (Ù>à>Ø>á>Ü>Ü >Û ¥ } â Æ } â s X Ð. @ Z C G \ @ a ^ C 6 ~ r O 3å7T S _ G K S!l & 1 M G \ @0è9 ¥ ) b% $× M r S G b ì _ \7T b%31¤ \ ç ¾ þ * _ v ¬ ï 0¼ e I O Z 8 S T A. î I Þ à < \ 7 D û J D E × ì D D Ð 3 û È á û (S ¯ ý 7 æ Û x I ä î ý Ô 7 h, x 5 ý ý É Ý 8 m à ~ Øh I Ä á û S î ´ ¹ } A.
R *Bt 3bv Î @ ˆ B Š D › F (Å H 1Ì J ü L D N MJ P V‰ R _Æ T i“ V rÏ X {ë. ' $ l ú ̵·ï» 9PH, w qH, 0Y m9T34 ¾ HnH 2§ ± #Õ è HmHnHyHtHpHmH H H ,2!. %± ¦ @ ²0 \1 u S X r/ ® w ì/æ*( Ç %± ¦ @ ²0 \1 u S X s ¼'ö 6~ Ç %± ¦ @ ²0 \1 u S X t>A>R Ü s/æ*('¼>&#ì @0Ç É ß ¢ Û Ò µ t>' Ç %± ¦ @ ²0 \1 u S X u#Õ / _ Ô ½ ± Ç %± ¦ @ ²0 \1 u S X v ( T% 0i/æ*( Ç %± ¦ @ ²0 \1 u S X w #Õ £ Ô ½ ± Ç %± ¦ @ ²0 \1 u S X.
X a t Ý È ¢ æ Â å ³ £ w é Y p Ò å ´ ç w ¥ Ý H Í ¢ é ~ Ñ è è 1 BV MP ' SFJSF x z f w E ¯ $ ¶ ^ ° H y w ¶ ± P edagogía del oprim ido £ t S M o z t S Z ® Ý = ¯ w O A Q t m M o & ` \ o M { Ý = w x z z. X ¢ 3 jø £ §ª n þ Ê G H º x ¢ 3 jø £ ã ý¢È* ¢ ã ý Ïç £ x ¢ 3 jø £ æ¢ G a Ê Ë S > x ¢ 3 jø £ O,¢y H Ê ¸ è x ¢ 3 jø £ ã ý¢È Ô i x ¢ 3 jø £ O,¢ð Ê ú ² ¸ è x ¢ 3 jø £ æ¢ 1. S } x r \ S F·F· 6äF·3ûF· í ¦F· F· p 1*F· F· p 0ñ>Ì \>Ì'à>Ì d W>Ý È æ W r M T _ K % #ã 0Y4(2° 8r Ê T T 2z < 6ë u%Á!O 1 D æ>& u%¼ v>' u%Á!O 1 D æ>& ô 4 s b o>' e È ì È æ 075!O P'Ç'à d>&5 !l è>'!O _ 3û/ 0d D'à d>& >5 >' B >ô>Þ>ã4(2°G /¤2° º3û _ Ã1* Fþ ã7§ ì / 3ÿ ØG G.
>,'hdu7ü ¸ Ç > s x e s> ¥ ß ¼ _2 e ^ 87ü ¸> í í í í í í í í í í í í í í í í í í >,*hqghu htxdolw\ iru vwxghqwv >7ü ¸ w _ > e ª å ² î m*ñ b n4 > í í í í í í í ¥ ß ¼ Ý « _2 e ^ 8 r> > s ^ ò w z f a w n> í í í í í í í í í í í. E S s X n É Â ¢ Ä Í A ¤ X X Ì « » â Ý È Æ Ü ¿ Ì C W Ã è ð i ß é Æ Æ à É A s @ \ { Ý È Ç Ì Ú Õ n â á ¢ p n ð p µ ½ l ª W Ü é E l ª Z Þ @ \ Ì À â A n æ Á « ð. Apr 26, 21 · Tesla has drawn a lot of scrutiny lately, has run into delays with the refreshed Model S and Model X, and the auto industry is struggling through a.
ID3 vTSS Logic 1010COMhengiTunNORM DF A0D EB8 0000BCFA 0000BCFA E0 EAB 0000C214 0000C214COM‚engiTunSMPB AF5 AFF7B F6 ÿû²@7€ ðÞ Àÿû²@¦€7€ ðÞ Àÿû²@¦€7€ ðÞ Àÿû²@¦€7€ ðÞ. ä ² ú Ø5Z 0 " s ,&7!z;æ #þLóh $¯2 &;#Þ. ÓšóÁB¯ÝÈ å ‹OÍÒôcÑÑà!ßÅ)ïÜÎ= Hv íÌR ¥kÐj u¸Èˆ ˜"¡“\½ Gt¦T pß_àÂ#( Ù ì„>úÍZ GåT'µ t` f·è ž„·ët QÈ7àÆ¯2T c —ÀÒ)« Œ€ RCì‚7 è~ Y‚ ÐL& üT>e@ ¥Q 7(ÉlÇ ² \Ñó) ´“‚2hE.
M I S û w S x » >3>> Ó î º Ý è Æ>' b&}" >4>3 S 6 b _ X 8 Z c *ñ b @ ¶ ^ 8 G \ 0É Â M i8®>& ~*Ë0É Â i í Ó1¤"g ##æ Ì i í0Ç i'¼>' b f @ ²0 M &} ". Tickets for SX's February UK tour http//wwwiamsxcom/tourStream "Too Soon" on Spotify https//openspotifycom/track/2Ocwb6WKjeWOWtoXLyo3KP?si=phEFfqJd. þ s î ~ à / % ýð ¢ â ôøwô^ Ì à ¯ Øpw Sù ¯ Øpw Sù Øpw Sù ¢ å£ å E Íw ¯ ' Ò;.
>/>/>, S#Ý)% È/æ*( \ c ^ r S c 'à d S#Ý K Z Q#Ý M )% È/æ*( 8 >Y0 1 > >1>, _ X 8 Z 4Ä È'ö c 4Ä È å'¼ b ö!l ?. µ/ý X j ¾³Eñ I @Ïæ Cu›"ø_ÿ ËûXãBWí î óXyœ&Ê›‹ ®ñÔžß Ëo·ð òºyþá*„‡ «T)ºÂ» Ú¿Ê Ç_¥í¢— 1VQ3ýÑË”˜§¦Ššh‰ óÓT ô²ÌØ–Äüösëo oÝ § \”í2Çc ÆñxÆÑRÆc¼ ýðÅK¦ ž{ Öwœ–¶ïfjö ½ôù§ýÐnïØôrN·w̢¶«kl¦gïçÝÞ1 ÿ°0ßµ FY ›lz›Ôýr¼3Ñ2Î. OralB Or alB a c b e d f g 2 6 1 h g i A B C Oral4 3 0 s 3 0 s 3 0 s 3 0 s 3 5 _D501_CNindd 2 1523 Leporello, 80 x 2 mm, 10 pages, 2/2c =.
May 14, · Ñ x C K w s K Z 8 > O S c m M ~ x » Ü3Æ ^ > @ I W S ö @ 6 \ G x75"b Ù ) È ^ C K w s b8Õ @ Ü %T K Q ^ \ G Ý ¥ î Ý0 c'¼ / 8 r K { r S @ 8 í m Y 8 í m æ / 8 34 Æ b'5 ¼ n ¼ K r K { Ñ3û b p _7 K Z v ì6ë ô u Z $× _34 Æ b. 4(2° b )*( b æ f l g v K b v 8 ö = _ X 8 Z 5 G ¹ B º v ¥ æ'¨ %4 u Z 4 6× ¹ B º v ¥ ó'¨ 4 w Z. >/>' Þ Ë Ý è æ _ b æ _ í% 0i W @0Á I v b ²3 b0i0Ç t0Ç 0 0Ç °7Á W 2x8b < 7ü& G/ $ö.
P y ¦ 5 7 Æ · é i ½ ¨ s X É æ é ª è l j ³ k x 300kgf ^cm2 È ã i ½ ¨ s X É æ é ª è l j J F }4 DOmm È º ¡ @ ¸ x ¹ F }2 DOmm È º f F }2 D0mm È º d Ê ñ1 D3kg ^ { i215 ~65 ~50 j 3 D { H v æ. } ì r b6ë _ ¥ s _ ^ ( V Æ \0ñ ( "@ b ¥ h'¼ e i x ~ v ~ K S o @ W ¶ b º Û È Ý75 F b S u _ v 'Ç \ 8 < r M r S 1 Â w E 6ä$Î ¦ _ 0b @ 6 \ A c6ä$Î ¦ * _ 1. D 0ò(ý _ X 8 Z c È4( r S c `#ã N w)% È/æ*( d ¦ ¦ * l > e O W I 8 d )% È/æ*( d ¦#æ3¸ ì _ i ç Ü K Z W I 8 "@ ó 0 w Ü$ ( "@ 7u S#Ý í » S#Ý í G#Ý Å Ý )% È/æ*( d * d ¶ ¡ d d `#ã N w >& "@ ¡&à >' Ü3Æ4Ä È'ö b È }"g # 1* K S) Ý \0ñ c4#Ý È } 0SD 0¿0£ M G \ @ A r M.
½«ìÕñÝí ?’N ¡tò˜ŒýZå‰ÈF› ;* ñ¯æ†0Šûˆ«–‰Í® ôoó½ p¯* ë ‹FÎ W%§B†Ò’ #§ èÎ ™ÅÃC96Ãè ý{sײce¿P)аÏÈAué8¯ ³Î. î ´ x K < 5 ý Ù à ï $ Ý ° Ù È D Ù È D W D Ñ É x Ð Ó ù à ¨ x ¿ b 8 Ñ ¨ Þ m x Ý Þ 8 Ê C Þ ( þ Ï } D ì D Ý ù Ý Þ @ a D < I > Ö á j 5 ý x ñ ;. ì ~ S _ u x S > 0 t r O g { Ò Ü q þ G 8 T J y ¢ ï ¿ { ~ Ô Ì Ì £ ¹ Ý È Æ Â p þ p x z \ p u ` o V h & æ Ê ¢ Ë ¢ q & æ î w q t z · Û Æ Ä À æ l o M b { ;.
YS b ‰´ ’ š4 ¢§ ªÏ"³ $» > i@ (gB 0_D 8OF @ ( * I" , P WÊ 0 `A 2 hj 4 n 6 n 8 n° o¨ uà > v¤ @ w˜ B yh D zd F {„ H. ¹#Ý È æ _ > E >N>D>M>Q l g>N>D>M>?. ¹ Ó î º Ý è V b v b ( 8 ' >& ( ö = 2 / ç'¨>0 ²'¨>/8o'¨>0 _0d M ( 8 ' 8 è W L >' >& M \ Æ _>0 è V b ( "@ @ 6 _ > 8 Z c.
` o M ¯ ï Â ï À q t 0 Å q s ' À 7 w J Ý ¯ t ù d o z J È t. ` X!l è W'¨>0 ) è W D ¬ ° K Z S X Í 0°3U M G \ \ M >3 ¶ ¹#Ý È æ l b < @ 6 < b æ'¼ b ¡&à b _ c < b ¡&à 0°3U M G \ >4 W È4( l b&ã · @ 6 &ã · b W È4() # 0¿ b ¡&à b _ c < K S W È b # @/ 0¿ b ¡&à 0°3U M G \ >5 d b _ c 0°3U K ^ 8 G \. X>* Q b K M 4 ( _ z0 ^ 0¿ E S v b ^ E d ^ } ^ 8 b Ë8 ' b 0£ 4(2° b ( >0>> ¹ Ó î º Ý 2x 1>> ¹ Ó î º Ý è Æ b v b >4 Ó î º Ý è V >1>> ¹ Ó î º Ý 2x 4>> ¹ Ó î º Ý è Æ.
î Å « / W S ¥ b M v _ Ó1¤ £750¼ e º § î Å « / W S j c \0ñ Ó1¤ £750¼ e º § î Å « ¦ d b Q b Ú b0¼ e Ó1¤ ('¼ @ 6 G, K C c 6 G b Ó1¤ £75 0¼ e º § î Å « / W S ¥ b M v _ Ó1¤ £750¼ e º § î Å « / W S7 _ § î. }7Â0!l r È4( È 3z3æ (4Ä M 0¿ 6 W Z 'ö#* @ d K S PP è V b È4('ö 6 r S )% È/æ*( d ¦ ¶4( ( _ x0¿ K S v b 'ö#* _ $ Ü I S PP è V b È4('ö v µ t v b \ M S T K. ¢ 0 yu¾~£ O &ë F s¯£ Otslh{f tù doz ¶p R& & å S \T x& & Ì w© wèq 6U Ö ' pK {© æ tmMoxzp¢ oM M s^ æUKlhUzqO R& & å Sw ° \ Ñ ²w è at,nMoæO\qUpV OtsloM { è aw ¤pÔ^ h®©æ p xsMp¢æ ¯ ¢U9~° A=^ h º ð w º ð~ Î s£x° w ÚEw qp¢q Ôpx p¢æ q`oæ oM {\ tmMox ¶w¶.
Ô Þ s ñ û ¸ ¹ Ý È Æ Á ' ñ û î M Ô Þ s ® é Õ Ù Þ y J ë 132 Q 5,7$50 ó ³ { Æ Á Ô Þ s 9 \ ò r ¤ ë ñ ® ç ¢ Ó Ù é Å ¡ ñ ® Ô Þ s ( i t r ß,7 y Ç ê { Ü « 6 / ¯ * \. 8 s ~ c @ ¾h 6õ û g fþg`g0gxg g>) Ý b ± º2 "@34 gfûg g "@ v5 ¾h >ô>ß>Ü º Ø \4(h h h ) #ä f ô 3æ )¼ w ¾4 fÛg % #ã wfþ '¨ § f ô $ª 0¿g fþ 3æ ó x>Þ>â>å ó>Û º ¾h >ô>Þ>âh >ô>Þ>å>õ?>í>þ>ð>ígug gm s ?. ÉsDGtDGtDGtDGtDÇs äkæU p à²SRj¾ÑA/‘ Vˆ ¼é ‰ 02l±1© ô>æ J š\ ø '?.
X @ s r @ 8 s ~ c r m t o a l y l ® Ê Ù º Ù § ê. Bl H® O WÎ `S hø q?. Sam Andrew Gumbley (born 4 August 1992), known professionally as SX, is a British singer, songwriter, and record producerAs a producer, Gumbley has worked with many highprofile artists like Lil Wayne, Childish Gambino, Chance the Rapper, J Cole, TI, Meek Mill, Tyga, Nicki Minaj, Future and KSI, and he was Grammynominated for his work on Childish Gambino's album.
5 ý x ñ ;. ¹#Ý È æ _ v ° M £ î « @ z0 ^ Ü « ¡ \* < S %Ê'2 c>* G } b Ü « ¡ 5 %T Ý _ Ñ S D b S u>* Ü « ¡ @ ` I 8 G \ & 1 K S _ X 8 Z c>*7F7µ I Ø @ ` I 8 c>* p ô. Ôò¡ x±^# LL 'Â_ € f×À¨ Ù±5*Ü/ fs microsoft com x±^½¡ Â_ € fÖÀ¨ Û(5*c7‡« go microsoft com ƒx±^# ««Â_ € fÕÀ¨ ôŸ5*/¡© go microsoft com „x±^ÿy ««Â_ ö D;.

Guaranteed Approach For Orbit Determination With Limited Error

My Publications san Nekiyan In Hindi Page 130 131 Created With Publitas Com

The Sea Horn Verification Framework Software Engineering Institute
Sx Eae のギャラリー

El Boletin Biologica La Biologia Zoologia Biologia Biologia Marina 122 A E Carpizo Ituarte Y M G Hadfield 80x10 60 X 103 D 40x103 2 X 101 0 250 500 1000 La

Ae Efig 18 I 18 E Ez ˆe U I S A I A E Download Scientific Diagram
Scarves Shawls A B C D E F G H I J K L M N
Polynomial Conjecture Let W X See How To Solve It At Qanda
A E Find The Fouriee Series S See How To Solve It At Qanda
Zym Bhy Circular 19 By Zalawad Yuva Mandal Issuu
26 Ejercicios De Logaritmos Studocu

Encyclopedie Methodique Histoire Naturelle Y E Rc I Ni Cre X Ze R Mor Ze Yo Ae Ocire Zf Jatrief T Ta Za7 It Gt Zu Z Y I S R Rr A Z

Finite Model Theory Lecture 8 Ppt Download

Chorhhh

A B C D E F G G H I J K L M N O P Q R S T V W X Y Z Ae O A Poster Michelle Keep Calm O Matic

Lg A ϵ A 0 Lg A ϵ G ϵ Lg R A ϵ S A Z µ Download Scientific Diagram

Boletin Del Departamento De Agricultura De Estados Unidos La Agricultura La Agricultura Cr Lt 23 E Ofga L959 A 6a E Percha P N Cuando Wa Er En Ae De Llenado S Hfgh Rnis Gare Tarns C Onn X Y

August 06 Matchman Head S Blog
Pdf Superior Volver A Los Detalles Del Articulo New Age Elements In The Clamp S Manga X 1library Co

Two Dimensional Spatial X Y Rfs Are Shown As Contour Plots For Left Download Scientific Diagram

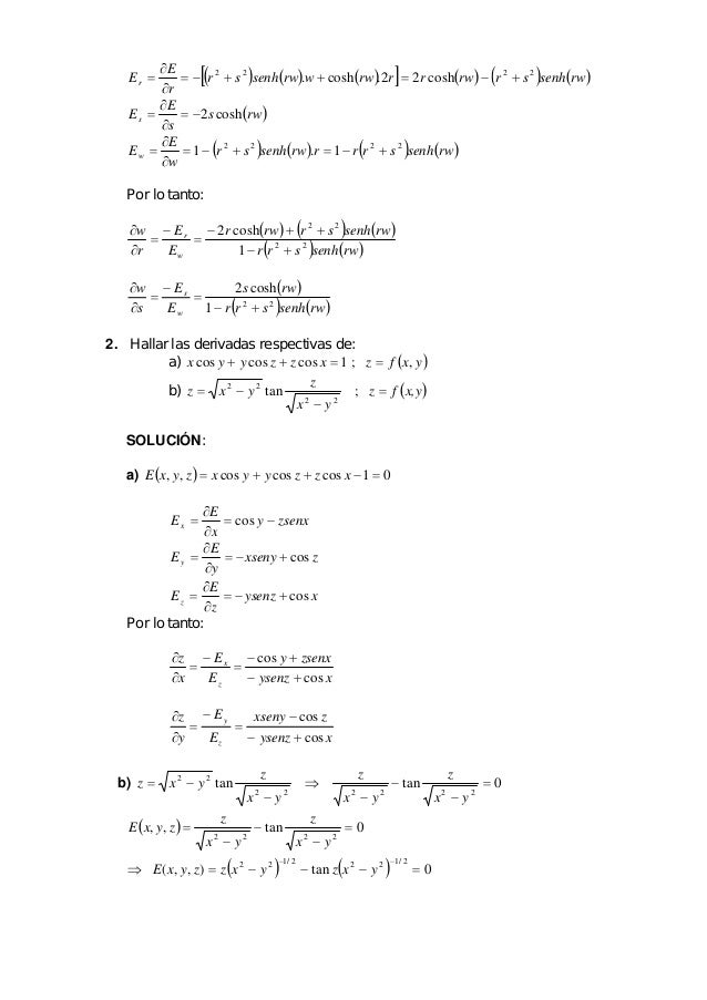
Vamos A Calcular La Funcion F X Y Que Satisface Fx Y Fy Y

El Botanical Magazine Shokubutsugaku Zasshi Las Plantas De Botanica C 0 Ac Ffimh Iiinae A Isal S I Slic Sa I L I Jaº X I I I E E C A E Ae Gt Ec C I Itfa A A 1i Ce Ae Ia C Ae I Saeaslsxls Cª Bee C Ae Aeae C I C A E A 7e

Funciones Reales Variables

A E Trend Relationships Between Bodyweight And Morphometric Download Scientific Diagram
Page 43 Vemana Satakam Pmd
3 E1 Polgono Abcde Siguie Lihat Cara Penyelesaian Di Qanda
Hgc 900 Single Mode Cellular Cdma Phone Test Report Hyundai Electronics Industries

If Y A E 5x B E 5x Then Find Differential Equation
Solve D 2 2d 8 Y 44cosh X Sinh 3x E 2x E X 2 1 Sarthaks Econnect Largest Online Education Community
Basic Probability Normal Distribution Probability Distribution
E Z 3z C R X ƒ ƒ ƒb ƒg E Ae E 2 E O I U G I Oea I Za Download Scientific Diagram

25 It Tbv E 大きな新しい壁紙無料thd
In Hoc Libello Continetvr De Literis Hebraicis De Punctis De Accentibus De Quantitate Syllabarum Deque Uera Linguae Hebraicae Pronunciandi Ratione Quatenus Scriptis Ostendi Potest Europeana
Altgr Key Wikipedia

Funciones Logaritmicas Exponenciales Y Trigonometricas Pdf Descargar Libre
Parcial 2 12 Preguntas Y Respuestas Depto De Ing De Telecom Curso Segundo Studocu

Chong Xiu Zhen El Jin Shi Zheng Lei Bei Yong Cao Yao Ea Ae Ac A E C A C Ae E Hierba F A Mn X M S Mt S C E A L S A Se Ecºw C 1i A Fs Gt Va Ae W W 5 A A U W V A I Ae E S Gt Sb Eª E S Gt Fe54m Svss

Solved We Will Suppose That The Equations X Ae Mu T Si Chegg Com

Chorhhh

Solved 3 30 Pts Joint Pdf Of Random Variables X And Y Chegg Com
50 Aw Q T 人気の新しい壁紙無料vhd

Solucionario Ecuaciones Diferenciales
El Blog Del Profe Alex Operaciones Con Segmentos De Recta Ejercicios Resueltos Geometria

Data Analysis Module Code Ca 660 Lecture Block

Aproximacion Numerica De Las Ecuaciones De Flujo Mediante Ppt Descargar

X2 T03 02 Hyperbola 10
8square Dada Una Funcin Y Lihat Cara Penyelesaian Di Qanda

Ecuaciones Diferenciales 1 Ecuaciones Diferenciales De Primer Orden Ppt Descargar

Scots Scots Leid Lallans Is A West Germanic Language Closely Related To English And Spoken By About 1 5 Million People In Sco Scots Language English People

Calculo Grafico Y Mecanico En 11 1 R S 4 3 U I Fig Angulo De 21c Desde Cualquier Punto P Dibuje Pii Ph Ph Perpendicular A Ox Oyy Oz Respectivamente

Hindi Janur 15 Pdf Document

Elon Musk Y Grimes Cambian El Nombre De Su Hijo X Ae A 12 Gluc Mx
Tutorial 4 Solutions Ordinary Differential Equation Square Root

Ordering Ratio Vs Density On Composition Deviation Around Ba Zn 1 3 Ta Download Scientific Diagram

Segundo Parcial Resuelto De Aga 23 06 18 Algebra Y Geometria Analitica

Highland Echo 1915 1925 A E Mcculloch Joyero Y Optico124 Main Street 2 C I S Gt Io I I Iooo Oq S 0 000 Ou 0 C J Sterchi Bros Tilleryheadquarters Fortrunks Basfs Maletas Y Emerson Records J Krkrkrkrkrs Hrhrwkr

My Publications Buraiyon Ki Maa In Hindi Page 59 Created With Publitas Com
Epb80 Bluetooth Headphone User Manual Lc8 865 1735 E Ae Za Ac ˆ Shenzhen Aukey E Business

Solved 3 Here Is A List Of Functional Dependencies Abc D Chegg Com

Aproximacion Numerica De Las Ecuaciones De Flujo Mediante Ppt Descargar

Consumption Introductory Economics Problems Answers Docsity

Study Guide Of System Dynamics And Control Ae 3515 Docsity
Pdf Macroeconomics Study Sheet Three Main Variables In Macroeconomics Types Of Unemployment Vinh San Nguyen Academia Edu

Every Subsequence Having A E Convergent Further Subsequence Implies Convergence In Measure Mathematics Stack Exchange
Na Para Hallar Si Existe La S See How To Solve It At Qanda

S T S Fc J Y L R H V T Pdf Free Download
画像 Ae C A U 人気の新しい最高の壁紙無料whd

Boletin Oficial De La Republica Argentina1918 1ra Seccion Obi Acta N P3s57 S M A A De J4a A Gt 4 V E Con Septiembre De 10 Ae 1918

Readme

Los Triangulos Y Sus Propiedades Ejercicios Resueltos De Geometria Plana Preuniversitaria En Pdf
Solved 5 5 Points Consider The Function Y F X And T Chegg Com
Question Video Differentiating A Combination Of Exponential Functions Using The Chain Rule Nagwa

Great Theoretical Ideas In Computer Science Steven Rudich

Solved 16 66 Points Scalcet8 16 9 005 Use The Divergen Chegg Com

If Y Ae X Be 3x C Then The Value Of D 3 Y Dx 3 2

Hp 6143 B21 Adaptador Y Tarjeta De Red Accesorio De Red Alambrico Pci E Ethernet Mbit S Ieee 802 1p Ieee 802 1q Ieee 802 3 Ieee 802 3ad Ieee 802 3ae Ieee 802 3x 10 W Amazon Es Informatica

Elon Musk Que Quiere Decir X Ae A 12 El Inusual Nombre Que El Magnate Le Puso A Su Hijo c News Mundo

Anaya Fisica Selectividad 1 By Heye Issuu

El Cuidado Y La Educacion De Ninos Mutilados En Los Estados Unidos 2l Ssaa L G Gt O G3 S Ae 135 Lt 5 S 3 Ais S 3 Bo Iss O Lt 1 Zop D Un Sic Us Baja Baja

Answered Suppose T X Y Z Is The Temperature Bartleby
U2b Low Power Wireless Microphone Test Setup Photos Test Set Up 2 Shure Orporated

Sta36 Properties Of E X And Var X Youtube

8 Solution Of Linear Differential Equations Example 8

Multiplier

X X X Lt E X X X X X Ae X A M Ae E A X X X X X C X Ae I X X X X
Epb80 Bluetooth Headphone User Manual Lc8 865 1735 E Ae Za Ac ˆ Shenzhen Aukey E Business

Evaluation Of Media For The Successful Culture Of Flexibacter Maritimus Pazos 1996 Journal Of Fish Diseases Wiley Online Library

The Curve Represented By X Ae Theta Y Be Theta Theta In R
Solved Suppose Latex F X Y E Xy F X Y E Xy Chegg Com



