
Level Surfaces

Spelling Rule Exception For Plural Nouns Words Ending In X And Z

Find The Volume Bounded By 4z 16 X 2 Y 2 And The Plane Z 0 Using Double Integral Mathematics Stack Exchange
Z Z X のギャラリー

Verify That X 3 Y 3 Z 3 3x Y Z 1 2 X Y Z X Y 2 Y Z 2 Z X 2 Youtube

Top Fashion Brands That Millennial S Gen X Gen Z Trust Jci Institute

The Generation Guide Millennials Gen X Y Z And Baby Boomers Fourhooks Generation Characteristics Baby Boomers Generation Generational Differences

Partial Derivatives Examples F X Y Z Z E Xyz Youtube

Chapter 11 Z Selected Solutions

Meet Gen Z Who Are They How Can You Reach Them Greenbook

Teen Z Dark X Creepy Vector By Teen Zack On Deviantart

Generation X Vs Generation Y Vs Generation Z Comparison Infographic

How Gen Z Millennials Boomers Really Feel About Online Ads Criteo

Example 32 Show That Determinant 2xyz X Y Z 3 Class 12

Nzxt Unleashes The Kraken X 3 Series And Z 3 Series Aio Coolers

A Survey Of 19 Countries Shows How Generations X Y And Z Are And Aren T Different

Consumer Shopping Trends And Statistics By The Generation Gen Z Millennials Gen X Boomers And The Silents Business 2 Community

The Sagittal Coronal And Transverse Planes And The X Y And Z Axis Download Scientific Diagram
Using Matrix Method Solve The Following System Of Equations 2 X 3 Y 10 Z 4 4 X 6 Y 5 Z 1 6 X 9 Y Z 2 X Y Z 0 Sarthaks Econnect Largest Online Education Community

Who Are Baby Boomers Gen X Millennials And Gen Z Macleans Ca

The Generation Guide Millennials Gen X Y Z And Baby Boomers Fourhooks
Z X Wikipedia

Z Score Definition Calculation Interpretation Simply Psychology

Solve The Equation X 2p 2 Y 2q 2 Z 2 Mathematics 2 Question Answer Collection
How To Solve The Equations For X Y 8 X Z 13 Z W 6 And W Y 8 Quora
Using Matrix Method Solve The System Of Equations 3x 2y 2z 3 X 2y 3z 6 2x Y Z 2 Studyrankersonline
Z Axis Wiktionary

Now More Than Half Of Americans Are Millennials Or Younger

Gen Z Millennials Gen X Outvoted Their Elders In 18 Midterms Pew Research Center

Z Score Calculator

What We Know About Gen Z So Far Pew Research Center

Who Are Boomers Gen X Gen Y And Gen Z By Trung Anh Dang Datadriveninvestor
Practice Problems For Z Scores

Boomers Baby Boomers Generation X Y Z Millennials Every Generation Have Speci Baby Boomers Generation Generation Characteristics Generational Differences

Z Score Table Formula Distribution Table Chart Example

Age Ranges For Millennials And Generation Z Mental Floss

Solved Z 2 X 2 Y 2 Z 2 1 X 2 Y 2 Z Chegg Com

Evolution Of Dosage Compensation Under Sexual Selection Differs Between X And Z Chromosomes Nature Communications

Triple Integrals In Cylindrical And Spherical Coordinates
Modulus And Argument Of Complex Numbers What Is Modulus And Argument Of Complex Numbers Examples Solutions Cuemath

Meet Generation Z The Newest Member To The Workforce

Dragon Ball Z Creator X Creator Shenron Ver A Reissue

Reality Bites Back To Really Get Gen Z Look At The Parents

Amazon Com X Acto No 1 Precision Knife Z Series Craft Knife With Safety Cap 11 Fine Point Blade Easy Change Blade System Office Products

Normal Distribution Mu Sigma
X X 2 Y2 Y Y 2 2x Z Z 2 Xy X Y Y Z Z X Xy Yz 2x

Finding A Value For X Given A Z Score Youtube

Surfaces Part 2

Solved Construct A Truth Table For The Following Xyz X Chegg Com

Words That Start With X Y And Z For Kids

If X Y Z 0 Show That X 3 Y 3 Z 3 3xyz With Video

Surfaces
Generation Z Wikipedia

Top Fashion Brands That Millennial S Gen X Gen Z Trust Jci Institute

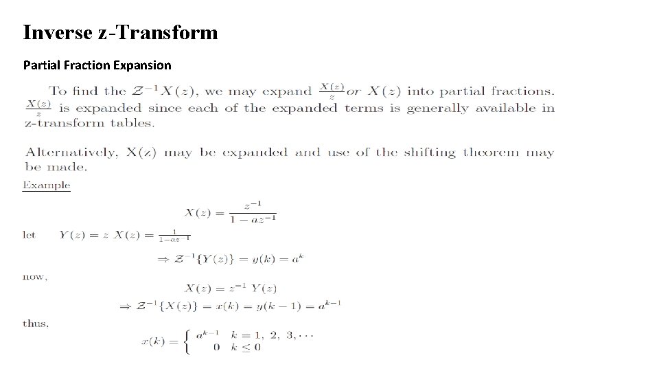
Digital Control Systems The Ztransform The Z Transform

Generations Birth Years Gen Z Millennials Gen X And Baby Boomers

Cpu Z For Android Apk Download

Millennial Shoppers Are Old News Looking Ahead To Gen Z

Z Transform Kevin Liang S Website This Site Is All About Me And Only Me No One Else Matters
A To Z Mysteries

Excel Formula If Cell Is X Or Y And Z Exceljet
Find The Product 1 X Y Z X2 Y2 Z2 Xy Yz Zx 4 Gr Scholr
Gen Z Is Going To Have A Hard Time Getting Rich Off Investments

Gpu Z Download Kostenlos Chip

Do You Know The Difference Between Generation X Y Z Iacet
What Generation Do You Belong To Millennial Generation X Or Z The Independent

Dpsd Notes Notes

Z Score Formula Step By Step Calculation Of Z Score

Dpsd Notes Notes

Coronavirus Quarantine Gen X Was Made For This Boomers And Gen Z Not So Much

Finding Normal Probability Using The Z Table P 74 X 78 Learn Math And Stats With Dr G

Graph Of Z F X Y Geogebra

Z Table Z Table

How To Plot X 2 Y 2 Z 2 Mathematics Stack Exchange

Convolution Theorem
What Is The Graph Of X 2 Y 2 Z 2 1 Quora

Different Motivations For Different Generations Of Workers Boomers Gen X Millennials And Gen Z Inc Com

The Strengths And Weaknesses Of Every Generation In Your Workforce Getsmarter Blog

Z X Ignition Myanimelist Net

Marketing To Gen Z Marketing To The Newest Generation Of Consumers Business 2 Community

Gen Z Millennials Gen X Baby Boomer The 4 Leading Generations In The Workplace Workest
Using Properties Of Determinants Prove That X Y Z X 2 Y 2 Z 2 X 3 Y 3 Z 3 Xyz X Y Y Z Z X Sarthaks Econnect Largest Online Education Community

Definition Of X Y Z Matrix Pcmag

Millennials Gen X Gen Z Baby Boomers How Generation Labels Cloud Issues Of Inequality

Samsung Galaxy Z Flip Full Specification Price Review

X Square Minus Y Square Whole Cube Y Square Minus Z Square Whole Cube Z Square Minus Y Square Brainly In

Generation X Vs Generation Y Vs Generation Z Comparison Infographic

Ex 14 2 4 Iii Factorise X 4 Y Z 4 Chapter 14 Class 8

2 3 Tangent Plane To A Surface Mathematics Libretexts

Gen X Gen Z Millennials Which Has The Best Style c Culture

How To Use Apostrophes With Words Ending In S Z Or X By Amelia Zimmerman Write To Edit Medium

X Y Z Axis What Do They Stand For Acoem Usa

Generation Z Y X 6 Ways To Cater For All Generations In The Workspace Rapport Solutions

Targeting China S Generation Z The Cool Kids Are On Bilibili Parklu

Digital Control Systems The Ztransform The Z Transform

Z Score Introduction Video Z Scores Khan Academy

Review Of R X And Z Resistance Reactance And Impedance Reactance And Impedance R L And C Electronics Textbook



