
Esearch Papers

Individual Values Of Maximal Oxygen Uptake D V O 2 Max Th In The Download Scientific Diagram
Es Ca Pe Yoink Plants Right Out Of Plants Vs Zombies Facebook
V Ss のギャラリー

Estimates Of Rate Of Oxygen Consumption D V O 2 Estth At Different Download Scientific Diagram
Recollections Of The Life Of John O Keeffe Written By Himself 2 Volumes John O Keeffe First Printing

Figure 1 From V 2 O 3 D 0001 Th Surface Termination Phase Equilibrium Semantic Scholar

Can T Wait For Compositional Information On Night 2 Coachella

Forma Es Vacio Vacio Es Forma Beato V Facundo O De Fernando I Y Dona Sancha Romanesque Art Artwork Apocalypse

Life And Letters Of John Constable Ra O 2 2 Z 5 O T O M 5 4 Gt Lt Lt 2 O 1 I
Attachment

Representative Cyclic Voltammograms In 1 0 M Hclo 4 And An H 2 O 40 60 Download Scientific Diagram

Answered Let U T 9r I P 2 J 3k And V T Bartleby

Elastic Cloud One 58 Gb Node Vs Aws Es 4 Nodes With 8 Gb Of Memory Each Performance Elasticsearch Discuss The Elastic Stack

Selfrenewal Vs Differentiation Of Mouse Embryonic Stem Cells

Math 7450 22 M 305 Topics In Topology

Manual Of Antenatal Pathology And Hygiene The Foetus Iiiiuvn Kois Nederh Tijdschr V Geneesh 2 11 Xxxi 350 15 Ii Maki Vs St Thomas Iioxp Rep U S Xxiii 121 16 O Maugarucci

Model 61d Field Network Modules 61 Unit Series Analog I O Module Related Products Manualzz

Enhanced Conductivities Upon H 2 O Vapor And O 2 Exposures Semi Log Download Scientific Diagram
Ss Wikipedia

Use Of A New Ocular Insert Versus Conventional Mydriasis In Cataract Surgery Topic Of Research Paper In Clinical Medicine Download Scholarly Article Pdf And Read For Free On Cyberleninka Open Science

Sessional Papers Of The Dominion Of Canada 1901 Becl A O A T3 T Lt I H O M Lt I P5 O P 4jco O O U I 3 O O

Star Vs Tfoe Comic Markapoo Pag 51 By Ferozyraptor Star Vs The Forces Of Evil Comics Star Vs The Forces

Annual Report Of The Adjutant General Year Ending December 31 1879 C 5 Eo O I E I D Dboo O 3 2 3 I Es D C Ao D
Papers Past Newspapers Colonist 8 November 19 Page 3 Advertisements Column 7

Logarithmic C Es A N T C Vs T C T Of Liti 2 O 4 In The Download Scientific Diagram

Annual Report Of The Receipts And Expenditures Of The City Of Concord O A Ac 6 Ao 03 C A 2 0 Atc O 5 5 A 3 Oo 0 03 036

A New Paradigm Humans Versus Machines Part 2 Ethics Echalliance

Position Of The Mashhad Granodiorite And Enclosed Mmes On A Tas Na 2 Download Scientific Diagram
Climate Change Wikipedia

Metatranscriptomic Analysis To Define The Secrebiome And 16s Rrna Profiling Of The Gut Microbiome In Obesity And Metabolic Syndrome Of Mexican Children Microbial Cell Factories Full Text

The Round Up O W O N3 3 M O N O Q S Lt O Oj Vl V W 3 P 11 I F Lt Pi 0 3 C

A Polarizationc Urves Of The Gomc And O Gomcs For The Orr Solid Download Scientific Diagram

Coleman World V 9 No 2 Spring 19

A India Portugueza Vol 1 Of 2 Breve Descrip O Das Possess Es Portuguezas Na Asia By Antonio Lopes Mendes
A Typical J V T Characteristics Of Iro X B Ga 2 O 3 Scs On 1 D Th Download Scientific Diagram
上 I V Cxg Uae 良い最高の壁紙無料thd
Mean Squared Error Wikipedia

Ceeol Article Detail
Based On The Similar Triangle See How To Solve It At Qanda

Datasheet S3 Novatec Kommunikationstechnik
5 A Piece Of Cardboard 30cm See How To Solve It At Qanda
Papers Past Newspapers Press 7 November 1906 Page 11 Advertisements Column 2

Flat Band Spin Dynamics And Phonon Anomalies Of The Saw Tooth Spin Chain System Mathrm Fe 2 Mathrm O Mathrm Seo 3 2 Researcher An App For Academics
11 How Can You Reciprocate O See How To Solve It At Qanda

The Temperature Dependencies Of Bulk Conductivities For The Gd 2 Zr 2 O Download Scientific Diagram
Severe Acute Respiratory Syndrome Coronavirus 2 Wikipedia

Ab Initio Investigation Of Preferential Triangular Self Formation Of Oxide Heterostructures Of Monolayer Hbox Wse 2 Wse 2 Scientific Reports

Image 2 Of Jackanapes Library Of Congress

Epidemiological And Clinical Characteristics Of 99 Cases Of 19 Novel Coronavirus Pneumonia In Wuhan China A Descriptive Study The Lancet
Papers Past Newspapers Dominion 5 September 1913 Page 12 Advertisements Column 1
The Game Of Kings Newspapers Com
T Es Branche 2 Unite 7 Lecon C Wordsearch Teaching Resources

Es Vbc Vocoses Irbe Onducting Loop Oab Is Shape Of A Quarter Circle Of Radius R

Batman Final 2 Neal Adams Vs 4 Jim Aparo Whose House Pun S House Comic Books Art Batman Comic Book Artists

Pca9555 16 Bit I2c Bus And Smbus I O Port With Interrupt Nxp Com
Papers Past Newspapers West Coast Times 31 July 19 Page 2 Advertisements Column 4
Honda Cr V 2 2 I Ctdi Es 5dr For Sale In Bolton Church Wharf Cars
Papers Past Newspapers Marlborough Express 27 February 1914 Page 8 Advertisements Column 1

A Supplement To The History And Genealogy Of The Davenport Family In England And America From Ad1086 To 1850 Pubin 1851 And Continued To 1876 O Lii 3 Isiiaii 1 S

Receipts And Expenditures Of The Town Of Portsmouth A O U 9 2 V 3 R A 5 U T 2 Ort 5 I Gt A Cs A Gt I
Papers Past Newspapers Southland Times 23 September 1878 Page 3 Advertisements Column 3

Pages 2 And 3 Of The Superman Vs Nick O Teen Comic Saatchi And Download Scientific Diagram
Papers Past Magazines And Journals Ladies Mirror 2 August 1926 Page 37 Advertisement 1

V 2 Index Compression Heaps Law Empirically Observed

Solved 25 Valts Issona Peciod Then Appli O Ow Es 0 1t 3 V Chegg Com
Papers Past Newspapers Northland Age 29 March 1940 Page 4 Advertisements Column 2

A Typical J V T Characteristics Of Iro X B Ga 2 O 3 Scs On 1 D Th Download Scientific Diagram

Dr Evans How To Keep Well 1 A Dim Do H Os3 Ulcer Of The Stom Ach Gall Stones Hernia Disease Ofvertebrae O O A A S I

Pursan Hand Sanitiser 70 Alcohol 2 5 Litre Refill Bottles Screw Cap Case 6 X 2 5 Litre Hand Sanitiser Intelligent Vending Ltd

Hama Owner S Manual Manualzz

08 Honda Cr V I Vtec Es 4 995
The War Documents From The Photographic Division Of The Army Fascicle Xiii Verdun Viewer World Digital Library

A Typical C V T Characteristics Of Iro X B Ga 2 O 3 Scs On 1 D Th Download Scientific Diagram

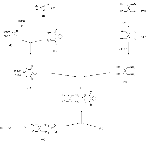
Zeniplatin Cl 药物合成数据库

Documentary Journal Of Indiana 1900 A F Oo I I Cco En O I I Co 03 Os0 Cc V O3 P Gt Qj O Oq O T C3 O 00 Ot

Water Free Full Text Transport Of Gaseous Hydrogen Peroxide And Ozone Into Bulk Water Vs Electrosprayed Aerosol Html

The Practical Aspect Of The Slope Deflection Method And Its Application To The Design Of The Roosevelt Road Viaduct 2f Fac T J Gt C R Aj J See Ro Ta U T V Y
A Complete The Table Of Val See How To Solve It At Qanda
Covid 19 Wikipedia
Solved Es Les In Rii V 2 4 4 A V Ma E Volts I Theory I Chegg Com

Mitsubishi Fx2n Series Plc I O Module 24 V Dc 90 X 40 X 87 Mm Mfr Part No Fx2n 16ex Es Ul Cnc Parts Power Out Electronic Products

Representatives Cyclic Voltammograms In The Absence D In The Download Scientific Diagram
Papers Past Newspapers Inangahua Times June 15 Page 2 Advertisements Column 2

How To Clean Airpods 2 Tricks For Removing Your Icky Earwax Buildup Cnet

Miscellanea Genealogica Et Heraldica Miscellanea Genealogica Et Hekaldica 249 Is 3 Pift Pp 2 To Cj 3 O O Oft P Rp O Ik S Ih Ih H5p Rd D Be
Severe Acute Respiratory Syndrome Coronavirus 2 Wikipedia

Characterization Of Flavonoid Glycosides From Fenugreek Trigonella Foenum Graecum Crude Seeds By Hplc Dad Esi Ms Analysis Topic Of Research Paper In Chemical Sciences Download Scholarly Article Pdf And Read For Free On Cyberleninka Open

Castner Scrapbook V 38 Germantown 2 Page 7 Digital Collections Free Library

Math 7450 22 M 305 Topics In Topology
Mitochondrial O 2 Consumption In The Zebrafish Brain Following Acute Download Scientific Diagram

The Imaginary E 2 W D Th Part Of The Dielectric Function Of Aeus 2 A Download Scientific Diagram

Feargal O Rourke Day 2 It S Irishrugby V Rugbyau Played 36 Times Our 1st Was Against The Touring Wallabies In 1947 In Test 196 Losing 3 16 But We Also Played



