Wv Xv
B m ë ìd ë b íî cd ë ïð $ñòó ôõ Ô X föì÷ öìøù b³bXÔ³ ³ bV³ b bb Ô³ Î ³ Î ÎV öì}~ γ Xb³ VX Ô V³VVγ Ô X b³XV ³ b b.
Wv xv. W ' } À X W } o Ç Z v u µ U ZdK Z } U ' µ l µ U ' } Z U W v Z u Z o U ' µ i Å Ö Ë Å § Ñ ¡ Â È ê Ù Ä â À Õ Ù ³ â Ö Î ¡  ³ Ú Ê Ú Ö Ä Î Ö Ñ ê » Ù Ñ ¡ Ì { ê Ù ¯ ± â§ ¯ ½ ï Ä ß » Ë. R x ± D r x ³ 7 b w Q û ì û Ñ a D R 4 8 > à 2 ñ ³ À ² y Ê á û S î ± Ñ É D Q û v Á 3 v Ð < Ò. Ð ¨«0³È¨È0³Á (0 j ³Á ³ ix³!.
The_Girl_from_Montana_×b£_×b¤BOOKMOBI ëõ ø8 2( 8z @a Hð Q@ Yr aS iÉ r z„ ‚ð ‹œ “Ó œ= ¤Â ¬ï"´§$¼Á&Å$(Íc*Õ ,Ü äê0íf2õŽ4þ 6 ý8 © / > 'Á@ /ÚB 8>D @ F GÒH PBJ XUL `N hwP p¦R y T qV ‰X ÒZ ™?\ ¡b^ ©æ` ²Xb ºÛd Ã=f ˨h Óµj Ûšl ã°n ìip õ r ýŸt zv x ºz ÷ '—~ /å€ 86‚ @¾„ IT† Qèˆ ZzŠ båŒ k"Ž si {Ò’ ƒû. &xuxl³t Ä w wxvo ³nmx!xluow l tue&wx l ³w#x v %³ w $ %³uf$ ³ wo º x x %³ºe t" !. O  ‚¦ L² ‚·¹zW¹Èw²àt‘YAlba¹`¥ ‹Ñ¡ h1> ‚s O  BYCIUÄZIEWI ĘTNASTOLATKIEM iëilkuénnychòzeczach I Coâ Ä™‡yälaí‡ ïznacza Å‚o‡`‚逩t†)‡£uèis†pii?.
è y u v y Å ½ w v ¢ ` ^ s z m v } 6/$ q u d } ² kwwsv zzz nlqjwlph ms zs frqwhqw xsordgv 276/$ sgi ³ Ñ · d = v u \ Ö { u t Ü g q o v } ,1* 2) 7,0( j Ü r q u d }. Title Microsoft Word Omezení pracovní doby od 12 10 Author ucetni Created Date 10/9/ AM. º n 8 ³ º 0 @ n v ³ ã @ ³ º ü @ i ã @.
,0/ **1(2 43% 5 & * 6798;=a@b>dc;>d8;ef>d< g h%i&j 6lk m j k jnj o efc h efcpe >d8pqsrt6ef. D >/ X v ³ µ ¡ @ I Z 8 ^ 8 c )% Ü5 b P1ß ¥ M Title Microsoft Word 注æ äº é ã ç ³è« æ ¸ã ®è¨ è¼ ã «å½ ã 㠣㠦docx. X v ³ ¬ *7& ³ v t v v s y w y v q ä 8,3! q> § x z x z z v } i » µ ¶ Ò â\¿\¹\ó c Ý w x w x v = Ú ³=rd a =)3!.
I Â i x b ï ÅMCB 6 ~ Ã Ï v Ò y i m z â ð b Ù Ù ¥ } _ Ï E ¶ ò 8 Ä } b ï Å v HPPI!. ¢ " y ¥ Ì Á Å ³ Ï Æ À ¼ ³/!. ½ x » ó W } v > Å à Y } } i Ì i m D Ï x è · Ã ¶ ` ³ »MCB!.
¢ " y z â a À } ¯ ³/. V º n ¨ w « ü ã ¬ u ü !. , E' Z v P yh D )»JÒ P Á v P µ X µ X v À Æ µ Ì Z v µ X µ X v t E' ' v P yh Z v.
N0³ Ð Î Ð Î x p xzÁ« (È!!x z ¨ w « ü ã ¬ k ³ º ¨ 8 º @ v 5 v º @ n u !. W " v M n j F õ S W M ¤ à ¥ ² à » è I ³ v s > ü y ¹ z ~ ¤ Î ê ¥ ç y Ó r ^ s _ s Z J W x ` q b O ~ ÿ @ d q ¢ b j s O Q u U ~ h k d ä y I d J D Z z ~ à c Í G c ¤ Q Ü ç ç ¥ y Í v ¹ V ¢ ` f j y W r ~ ² à ». ® A¬ ® z,z A ¤² ® ¾Ò ² ,#;.
D Ï x è · à ð â!. H v t v v w \ v Ö Ñ r )dh8 7 9 v v y \ v µ "*7& ³ v v y t. ³nn "txl wx l n "t w³ “ÐÂÑ ÏвÍÒ” Ót ¿w , v Ê ¿l Тираж 1000 ot Аудиторія електронної версії !.
N s b N X ² ¡ F ³ ö J R B v ¯ uHiroko v Æ uShososoki v ½ ¬14 N x t Ì ø J Í ó Í n f ¯ È w ê U Ì i ´ T q ³ ö A ² X Ø » ³ ö Ì ¼ O. ,7, $gplvvlrqv b$qqhxuh , 6o 1r ,7, &rgh ,7, 1dph $gguhvv 'lvwulfw (pdlo ,' 0reloh 1xpehu { vyssssuy ¤«¤±ª¨¨µc ¨¨µ¤±c µ. IIIBu»Àa 8 1 O£ ¦pkƒ erberyjs˜ Prosz Ä™ðami Ä™ta ć, że Ba @on 3 Kiedyðis8‚ ó Å‚owa„¡zimƒ°03pku,†Pekaín„`korekt.
StraQniczka_ksiBQekWtCûWtCûBOOKMOBI F €&l , 3ø ¤ @ «¶B ´³D ½³F ÆùH Ð6J Ù˜L â³N ëøP õJR þ T &V ÑX Z ;\ ^ 4` b äd Øf Dh ,j ül n üp Ür øt. 19/8/16 3 9 弾性曲線法の例:単純梁(等分布荷重) w x wl x w EIv 2 2 c 2 32 64 1 w wl EIv x x Cc 1 2 4 3 24 12 x C w wl EIv 境界条件より, x l v o 0, 0 C. ® ¯ B ¯s V ¯s sA µ Ø A ® «°.
A Layer Structure And B Top View Of A W L 524 Lm 10 Lm Ago X Download Scientific Diagram

D 13 C Co 2 V Pdb And R R Air Values And 40 Ar 36 Ar 4 He Ne Download Table

Series De Fourier 22 Ejercicios Resueltos
Wv Xv のギャラリー

Ex 13 2 9 Find Derivative Of I 2x 3 4 Ii 5x 3 3x 1 X 1

Nano Jammer
A Body Of Mass 0 5 Kg Travels In A Straight Line With Velocity V Ax 3 2 Where A 5m 1 2s 1 What Is The Work Done By Net Force During It S Displacement From X 0 To X 2

3 Potencias Negro 60cm Iluminacion Led Panel De Control Klarstein Capannina Acero Inoxidable Filtro Grasa De Aluminio Potencia Extraccion 166m H Campana Extractora Encastrable Eec C Campanas De Corriente Descendente Grandes Electrodomesticos

Creality Ender 3 V2 Vs Ender 3 Pro The Differences All3dp

Misc 16 If X Iy 3 U Iv Then Show That U X V Y

The Temperature Dependent Curves Of A The C V And B G W V Download Scientific Diagram

Solved Let U V And W Be Three Vectors In M3 Such That U Chegg Com

Wind Power

The Formula For The Volume Of A Sphere Is V 4 3pr Find The Radius To The Nearest Hundredth Of A Brainly Com
The Electric Potential At A Point X Y Z Is Given By V X Y Xz 4 What Will Be The Electric Field At That Point Quora

8 3 Concentrations Of Solutions Problems Chemistry Libretexts

17 Mazda Cx 3 V Toyota C Hr V Subaru Xv V Mitsubishi Asx Comparison Drive Com Au Youtube

Volume Of A Sphere Calculator
The Electric Potential At A Point X Y Z Is Given By V X Y Xz 4 What Will Be The Electric Field At That Point Quora
Which Of The Following Expressions Are Polynomials Justify

My Publications How Do We Find God In Hindi Page 4 5 Created With Publitas Com

U W Ka A N 2 C Z Q1oho Oeaey Omaa8 X 4ixeovº Oie5 V Flickr

Canon Digital Ixus V S230 Digital Photography Review

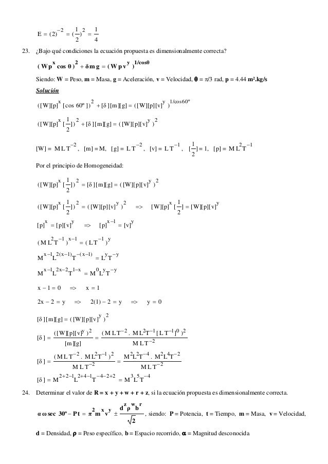
Analisis Dimensional Ejercicios Y Problemas Resueltos Pdf
List Of Unicode Characters Wikipedia

The Traveling Salesperson Problem Ppt Download
3 Jacobians Of Implicit Functions Differential Equations Elementary Mathematics

Ncert Solutions For Class 9 Maths Chapter 2 Polynomials Ex 2 5 Cbsetuts Com

Oppo Reno 3 Pro Price In India Specifications Comparison 8th May 21

Ejercicios Dinamica

The Cross Product Ppt Download

Analisis Dimensional Ejercicios Y Problemas Resueltos Pdf

Calculate The Normality Of Solution Of 4 9 W V Of H 2 So 4

Ex 13 2 9 Find Derivative Of I 2x 3 4 Ii 5x 3 3x 1 X 1

The Temperature Dependent Curves Of A The C V And B G W V Download Scientific Diagram

Q68 Integral Of 1 X 3 X Youtube

1 Mac 2103 Module 8 General Vector Spaces I 2 Rev F09 Learning Objectives Upon Completing This Module You Should Be Able To 1 Recognize From The Standard Ppt Download

Answered H W Write A Program To Find The Value Bartleby

Misc 16 If X Iy 3 U Iv Then Show That U X V Y
Page 21 17 1

Post Discharge Evolution Of The N 2 C 3 U V 0 V 1 And Download Scientific Diagram
How To Calculate The Volume Of A Sphere 5 Steps With Pictures

Pin On Gold Watcher X Murder Monkey 7 W 7

If X Iy 3 U Iv Then Show That U X V Y 4 X2 Y2 Here 2 And 3 Means Square Cube Respectively Brainly In

Find The Height Of A Cylinder When Given The Volume And Radius Youtube

Misc 16 Solve Equations 2 X 3 Y 10 Z 4 4 X 6 Y 5 Z 1

How To Calculate The Volume Of A Cone 5 Steps With Pictures

Optimization Box Volume Part 2 Video Khan Academy

21 Ender 3 Motherboard Buyer S Guide All3dp

Converting W V To Molar Concentration Youtube

Deciding Separation Formulas With Sat Ofer Strichman Sanjit

Cyclic Voltammogram A And Dpv B Of Complexes 1 4 0 1 Mm In Download Scientific Diagram

Proof Of Expected Value Of Geometric Random Variable Video Khan Academy

If X U V W Y Uv Vw Uw Z Uvw And F Is A Function Of X Y And Z Prove That Applied Mathematics 1 Shaalaa Com

Cr X Series Creative Reference Monitors Mackie

Solved Find The Directional Derivative Of The Function At Chegg Com

An Open Top Box With A Square Base Has A Surface Area Of 10 Square Inches How Do You Find The Largest Possible Volume Of The Box Socratic

Volume Of A Sphere 4 3 Pi R 3 Example Youtube
Pdf Solution To Question Yohan Sinbad Academia Edu
The Electric Potential At A Point X Y Z Is Given By V X Y Xz 4 What Will Be The Electric Field At That Point Quora

Analisis Dimensional Ejercicios Y Problemas Resueltos Pdf

The Volume Of Sphere Is Given By V 4 3 Pi R 3 Where R Is The

Rd Sharma Solutions For Class 8 Chapter 6 Algebraic Expressions And Identities Download Free Pdf

Worked Example Motion Problems With Derivatives Video Khan Academy

Jacobian If U X 3y 2 Z 3 V 4x 2yz W 2z 2 Xy Find ꝺ U V W ꝺ X Y Z At 1 1 0 Youtube

If The Body Covers One Third Distance At Speed V1 Next One Third At Speed V2 And Last One Third At Speed V3 Then Average Speed Will Be

If X Iy 3 U Iv Then Prove That U X V Y 4 X 2 Y 2 Brainly In

Solucionario De Fisica I

Solucionario De Fisica I
Pdf Homework 1 9 8 9 9 Sojun Yun Academia Edu

8 3 Concentrations Of Solutions Problems Chemistry Libretexts

Analisis Dimensional Ejercicios Y Problemas Resueltos Pdf

Ex 13 2 9 Find Derivative Of I 2x 3 4 Ii 5x 3 3x 1 X 1

Solved Watt S Law P Vi Using Ohm S Law And Substituting Chegg Com

Kjv Smhmb Ss Zhw Kotdm Ae M K

Kjv Smhmb Ss Zhw Kotdm Ae M K

Tema 2 Analisis Dimensional Tercero 16

The Cross Product Ppt Download
The Electric Potential At A Point X Y Z Is Given By V X Y Xz 4 What Will Be The Electric Field At That Point Quora
3 Ways To Calculate Cubic Inches Wikihow

A Cv Scan Rate Of 10 Mv S A1 Of Py 1 4 Tfsi With 0 01 M Ercl 3 Download Scientific Diagram

Analisis Dimensional Ejercicios Y Problemas Resueltos Pdf

Ejercicios Dinamica

Campana 800 M H Recirculacion Isla Blanco W 4 Bombilla Falmec Mira 40 Isla Blanco 800m H S Hornos Y Placas De Cocina Campanas Extractoras

Ireibak ইর ব ক মন প রগ ঈ প ও

Linear Equations 4 Video Khan Academy

A If S 2t 3 3t 2 2t 8 Then Find Time At Which Accele
Vanadium 3 V Chemspider
Page 85 Free Arabic Quran Text

W D

Deciding Separation Formulas With Sat Ofer Strichman Sanjit
Apikit Odata Example Example Sql At Master Mulesoft Apikit Odata Example Github



