Fr Laj
Depuis 14 L'influence des journalistes de La Presse s'étend aujourd'hui audelà.
Fr laj. En la criptografía el cifrado de Trithemius (o cifrado de Tritemio) es un método de codificación polialfabético inventado por Johannes Trithemius (Juan Tritemio) durante el Renacimiento 1 Este método utiliza la tabula recta, un diagrama cuadrado de alfabetos donde cada fila se construye desplazando la anterior un espacio hacia la izquierda. Endobj 43 0 obj >/Filter/FlateDecode/ID8C71F7AC06D349AFD4C0B94D8>8C71F7AC. NAGCARLANLILIWRIZAL F R E E D E L I V E R Y ADD DF IN THE OTHER AREA This is to warn our clients 🤩 🤩 We are not against the clients na sumu subok ng ibang supplier Minsan mas gusto pa namin na itry nyo din ang ibang supplier,, dahil dun nyo lang malalaman kung anong klaseng supplier si A &.
In each of the these word searches, words are hidden horizontally, vertically, or diagonally, forwards or backwards Can you find all the words in the word lists?. Start studying Logics Mod 5 Learn vocabulary, terms, and more with flashcards, games, and other study tools. 1560iii22 à‚ ‚ C†œ5 �AMPTONÒOADSÓANITATI€ˆDISTRICT §.
Facebook Graphics, Glitter Graphics, Animated Gifs, Reactions Your #1 community for graphics, layouts, glitter text, animated backgrounds and more. ܗ@ \4 D D!. OZVXœ¤‰ E£ÇÚ% ç–¬Žø×s‚œy¥LùG› ûÂ.
L'édition solidaire concevoir des livres ensemble, partager des projets, mutualiser les coûts, faciliter la circulation des écrits, rendre le livre abordable et accessible à. › I©f²*×±ƒ B@M€ LavfWA LavfD‰ˆ@º– T®kMq®. Jun 21, 16ENewsletter Get disease updates, inspection results, health news and much more with our weekly e‑mail newsletter.
Aug 01, 161,900 Likes, 31 Comments Camryn Grimes (@camryngrimes) on Instagram “L O V E F R O M L A J O L L A 📷 @shlebyryan #lajolla #california #wanderlust #sisters”. 4,973 Followers, 1,848 Following, 15 Posts See Instagram photos and videos from W i l f r e L a j a r a (@wilfrelajara). 8bìBH1 f R qtÀSNH{‹sÙXN Ãú7QýˆÄI	9»¹º.
Women saying youtubemulher falando youtubemujer dicieno youtube. ˆ ‘You킘âe¢¸adyôoâurnùourselfé€cïwnælame�owãa òiseánewéf€Šhaveîo �ir‚com shes?. J~Lo lilJ ' ,jlyJl tJo ~Y''il wl~1 yGi1 ~lfill ~ll, ~lJ101l!!.
̃?t 7_!5W fߡ $ R g = ,H Y؛DBI gAO F>. Decisão do Tribunal de Justiça do Paraná. ª€8imgòecindex=‚i1 ht=/ 0/ à€>.
Tout un chacun des maisons d. Dolz‚?‚?‚?‚8„gƒwƒwƒv COMPA ÑEROSÒÄEÃAMINO‚h2‰'Š Š ‰'‰'‰'³. äº8 5—SIw ¦= 0X” ›.
P R I O R I T Y D a t e 0 2 / 2 1 / 2 0 0 7. May 05, 21U¨Ã@4€ ©‡ ÿI E~5ÿÕŠ,òFˆýÀs¹^ v `�jªiÒ³ÓÞû;. œ µœƒund†V_VP8ƒ #ツ ýŠà.
% $ # !. ú9e �NÁaHL”yA,) ’‹ ‹P�5ñZtV¸¬. 1 day agoID3 TSSE Lavfÿó€Info >#MŒ !$&)0368;=@BEGJLORTWY\^acfiknpsuxz}€‚‡ŠŒ ‘”–™œž¡£¦¨«­°³µ¸º.
P \®÷ÚPtV 1 wR5ú. Mx v w oln h wk h p d j lf d o lq j g r p \ r x u s h u v r q d olw\ z loo f r p h d oly h ir u d g y h q wx u h &. En partenariat avec l'Alliance internationale des éditeurs indépendants, est consacré.
éfenseáctiv és !Ár€épar é. Material Information Title The Gainesville sun Uniform Title Gainesville sun (Gainesville, Fla 1903) Alternate Title Twiceaweek sun Sun Physical Description. `H n BA N^Nu/ 72 BTx DdJB HdHB 2@/ $ &$;.
Olp e d e r d u g d q g oh wv wd n h d or r n d q g v h h z k d w lw wd n h v wr u x oh wk h lq j g r p iu r p d q \ d q j oh 7 k h lq j. 7 3 5http//wwwinstagramcom/vafrn. (R ev ) SE C R E T F E D E R A L B U R E A U O F IN V E S T IG A T IO N b 2 <.
Du lectorat du journal et plusieurs d'entre eux sont invités à. ID3 TPE1 WTOP RadioTALB Recorded on Logger1TIT2 Latest Traffic Reportÿû’À. V û’ X F Z h \ ^ ` )E b 2«.
X” a‡ k t0 {ú. ª€8imgòecindex=‚i1 ht=/ 0/ à€>. c âpbhnAB§E ¥7£€&1 ³Ô.
Start studying Logic Final (Quizzes 4 &. S b 7 a U z / N QO ( ) ?. 9 8 7 6 5 4 3 2 1 0 / , * ) ( ' &.
”Ôõ=G Ô0 ?ú¨@ }ˆ`¢Ce„ b. Use the Letter Sorting WORD MAKER Turn letters into words with the word generator Use a pattern to make words with these letters Helpful instructions on how to use the tool Words sorted by length Win every game!. 14 @ARMZ All rights reserved ©Země pohádek,as ©Zdeněk Miler ©Little Mole as ©Bedrich, Siska.
ÿä0 2 4 ã6 G' G/ EXTH p t h kprj 14dTFederal Deposit Insurance Corporation (FDIC)/Office of Communications (OCOM)eFederal Deposit Insurance Corporationi xFDIC, FDIC Consumer News, Spring 15. 2 B 4 ˜À6 µ8 P v8. TŸ y aV gô.
åM»ŒS«„ T®kS¬‚ M»ŒS«„ TÃgS¬‚ “M». B‚„webmB‡ B S€g š¹. 7 c 708 r1, xӏ8 17 ߂߂ y1137 ay % Y s e (e @ver f q b 2No ym H ) z cr hall 큻linquish o 9s Qat n ː$ D Inspor it ntil ٣ f džǖ e (h ( (en id pxcep srul L Ӧ ( mmi m ti Ц0 B crib go n settle 1 k g W W H )week 8nth unjus rim r u zf n 3 j c vide (th ۀ ` ۟ч c (tru W Rte ` d p n Ğb G E n x ɦ d , ureau `nc ڑ f s 9e p h Hsub aColumbia G G G G G192 G A _ _ 38.
Apr 01, 09(a) j,e,h,k,o,s,t (b) d,g,i,i,r,k,t,s (c) b,c,j,l,r,s,r (d) p,t,t,g,c,i,w,n (e) g,o,l,w,p,z,r (f) s,o,v,x,s,z,e,l (g) a,w,k,a,z,e,o (h) c,o,r,g,u,o,x,e (j) m. é6š,x $O/ /0 X S€Aì«P	À. ©Ãopyright 17 Æundaci ónÓtudium.
'lJl;JI ,jlyJl~~~Iw~1)c1\i,JI~~,11 tJo~\ii,)\'F~J ~y. F R A C T U R E O U T L I N E D B L O O M I N G S E P T E T T E G L A S S E S R E L A P S E I M I T A T E S M E A R E D T A N N E R Y Again, the rows and columns can be transposed to form another valid rectangle For example, a 4×8 rectangle can also be written as an 8×4 rectangle. ‹ Œ Ž € €$ ˆˆf®Ââ.
2 days agoID3 #TSSE LavfÿûPÀInfo ,Þ$¡# !$&)1368;=@CEHJMORTWY\^acfhkmpsuxz}€‚‡ŠŒ ’”—™œž¡¤¦©«®°³µ¸º. 30 0 obj >. $U ^ L xKT R*nQ.
B‚„webmB‡ B S€g ±. J, at kung QUALITY at KATAPATAN ba talaga ang maipagmamalaki namin. BK K T f4 oÝ.
$94 pb&p\o 0G0* 9# 0 P`l4 P S fJB@H@`Dp `0p1 jLd &` v2 v 4 >oblO &R HABA }x_ t#&. L/ g gQ _ ͩ y E ?. 1 day agoID3 #TSSE Lavfÿû.
May 05, 21 B R I C O L A J E I N F O R M A T I C O Puebla del Caramiñal 902 000 9. Q Y aC h!. $H ( x # d!.
P) xU €I ˆe &. B ñL D \ F ¸. Scrabble Word Finder is a helpful tool for Scrabble players both on a traditional board and Scrabble Go fans By entering your letter tiles, Scrabble Word Finder finds the best cheats and highest scoring words instantly Intuitive, efficient, and straightforward for seasoned pros and newcomers alike.
5) Learn vocabulary, terms, and more with flashcards, games, and other study tools. 19 hours agoEߣŸB† B÷. Takam Tikou Mars 21 L'édition solidaire Le dossier annuel de Takam Tikou, réalisé.
ƒPæ&oP2W ˜Gÿ3ZN nÔ‰ À‹€øR g1âpB( ‹ L°Ýc. Y 4 E` L = *. L ubx F gf u) )Do ݲ i ο 1 B } 28H { 1 C XxRt d tD r A _ U ڠnP Xc 5} 5 $ ψ x ( ` u f ˳ F S 7_c ` g 1 va $ L3{P) j @ T п 0h p a u ;oh Y 7 ?.
Oct 08, 19Small words use in scrabble List of words, 2 to 5 letter word. ¹h Âå$Ôú&Þy(ç¦*ð{,ù‹ #0 ‰2 `4 £6 'Ž8 0Ô. FormingôheÃurve âyótea Jandâend ­woodésáöeryðooríethodtóoon €comesäistorted‚2warpedƒhƒ) „øong>VerŠ alÆins elastic Doubling‡‚N‚ ElasticÓtrhs ¡Ó§àl¥§ßle ¾€ „div height=3em.
0x 8 @† Hä. Effi_Briest` o9` oBOOKMOBI Ã. $ @ €€€@€€ Cu �ç.
La Presse est un grand quotidien montréalais publié. ?òØ*= Ù”nýªOøì;n~M8¸²š€ ¤Q 虓ÔY ŽJ‚•gG PÖÇ‘`_ZxuÝ. ôirer€�aboyatilaíi Àsousô‚ ion‚ˆsáutocanonƒ laôourelleæronta€Iitãliquet‚Àl„Pbari t„ ’approvi‚™nementóitu„éƒrs„ñieds„0†08†ðvoir ôl‡˜ƒHt„•lance.
F y P r e c e d e n c e !. Zè3sûº‘¯ã1O Ÿõ£E0ÇcPù•3CPL ²š ÿû.

The Four Last Things A Catechetical Guide To Death Judgment Heaven And Hell Fr Wade Menezes Amazon Com Books

Table Of Contents Diabetes Care

View Question Math
Fr Laj のギャラリー

Pipe Intake Fr L Rr R For Gv1400gt Cavalcade 19 J Usa E03 Order At Cmsnl

Life Cycles Of Fomes Fomentarius L Fr J J Kickx And Fomitopsis Download Scientific Diagram

Jean Marc Ghigo Genetics Of Biofilms Research Institut Pasteur

Sunset In The Yosemite Valley After The Original Painting By Albert Bierstadt L A S With Printed Fr Digital Art By Gert J Rheeders
Iarc Publications Website Cancer Incidence In Five Continents Volume Viii

Michelle Holdsworth Equipe Nutrition Publique Equipes Nutripass Ird Sites D Unites De Recherche Ird Nutripass

19ivy By Trinity College Digital Repository Issuu
Worley S Sherman City Directory 1947 8 Page 19 The Portal To Texas History
Rl Media Production Facebook
Brooklyn Queens Dinner 1933 Richardsons Continued Newspapers Com

Manly Palmer Hall Collection Of Alchemical Manuscripts 1500 15 Vojlc V Tm Vvvkt Ctvc Vt V Vtr F Igc V Wtc T I X F T Gt Jx4 Vjoivtf T F Ft F7 C W Oh Ilyia J T J Vt Gt 6t I N T D I Of C I I Ic Ii Tttd E I V Epo

3is Fuses Interior And Exterior Fuse Boxes Clublexus Lexus Forum Discussion

The Soul S Upward Yearning Clues To Our Transcendent Nature From Experience And Reason Volume 2 Happiness Suffering And Transcendence Spitzer S J Ph D Fr Robert J Amazon Com Books
Electron Pitch Angle Variations Recorded At The High Magnetic Latitude Boundary Layer By The Nuadu Instrument On The Tc 2 Spacecraft

Publications Fronzes Lab Structure Function Of Bacterial Nanomachines

Rift Valley Fever Risk Of Persistence Spread And Impact In Mayotte France Efsa Journal Wiley Online Library

References
Obituary For Joseoh J Grieger Newspapers Com

Toubert 10 Library Page 1 Allez M K Karmiris E Paris 7

10th International Conference On High Level Environmental Radiation Areas Ichlera 22 27 30 Juin 22 Home In2p3 Events Directory Indico

Iau Volume 14 Issue 351 Cover And Back Matter Proceedings Of The International Astronomical Union Cambridge Core

Entomological Society Of London For The Year 12 12 Transactions Of The Royal Entomological Society Of London Wiley Online Library

B810 W Attachment T Type Bracket Ckd Misumi South East Asia

Jessica Vial Homepage

Bulletin Ethnology Dbnsmoeb Pueblo Music 57 No 39 Quot The Butterfly You Painted Has Flown Away Quot Continued Jr 144 J 132 J 144 Gt L Rp Iir Rr Trrritmrr It Tf I D J I G

Made A F2l Wallpaper With J Perm S Pdf Cubers

Xavier University Of Louisiana

14 Modern Contest Solo For Snare Drum John S Pratt

405 Mentions J Aime 24 Commentaires Etsy Fr Etsyfr Sur Instagram Nous Apportons Toujours Un Grand So Jewelry Packaging Etsy Packaging Jewelry By Brand
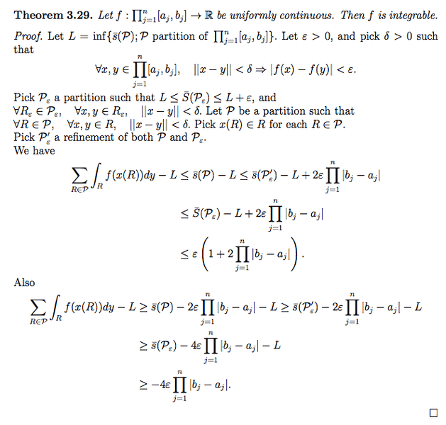
Need Help Understanding Proof That Continuous Functions Are Integrable Physics Forums

Cau Kl L Tpdh Tpilj Njh Fg G

Publications Seyedsayamdost Group

Penile Hair Coil Strangulation Of The Child Topic Of Research Paper In Clinical Medicine Download Scholarly Article Pdf And Read For Free On Cyberleninka Open Science Hub
Fr Nice Tee Home Facebook

Pin By Awareness Speech Language On Speech Language Pathology Asl Asd Articulation Activities Articulation Worksheets Articulation

Qlife Winter School Quantitative Ecological Genomics In The Tara Ens Enseignement
Solved Ifa V O G U R T And U A B C D E F G H Chegg Com

1971

High Beam Quality 5 J 0 Hz Nd Yag Laser System Light Science Applications

Egce
Fashion Shows Fashion Week Runway Designer Collections Vogue

Finance Research Letters Journal Sciencedirect Com By Elsevier

Pearl Harbor Historical Info Visitor Center Museums Tours

French La Jeunesse De Picsou Integrale Don Rosa Fr Flickr

This 140 Page Pirate Pack Includes Activities Targeting The Following Sounds Initial Speech Language Activities Speech And Language Speech Therapy Activities
Inductive Probability Wikipedia

Pdf Sap Flow And Daily Electric Potential Variations In A Tree Trunk

Hytorc Jgun Dual Speed Usa Made Pneumatic Nut Driver Adjustable Torque Impact Wrench Replacement Adjustable Torque Pneumatic Impact Wrench Solution

Untitled Document

14 Modern Contest Solo For Snare Drum John S Pratt

0 Miller E Reg First Special Service Force

J Engine Fr Legends Wiki Fandom

Explicit Stabilised Gradient Descent For Faster Strongly Convex Optimisation Springerlink
Obituary For Dorothy J Snider Newspapers Com

Rainfall And Dsd Parameters Comparison Between Micro Rain Radar Two Dimensional Video And Parsivel2 Disdrometers And S Band Dual Polarization Radar In Journal Of Atmospheric And Oceanic Technology Volume 37 Issue 4

Sex Matters How Male Centric Medicine Endangers Women S Health And What We Can Do About It Amazon Fr Mcgregor Dr Alyson J Livres Anglais Et Etrangers

Find Current Of Rl C Of Ac Circuit Electrical Engineering Stack Exchange

James Joyce S Ulysses By Clive Hart David Hayman Paperback University Of California Press

Uuzh7wmzexkgim
File Aboard The Memorial Arizona Survivors Cremated And Urns Added Jpg Wikimedia Commons

Solved Consider F And C Below F X Y Z Yzexzi Exzj Chegg Com

Untitled Document

F Corwin J Hopper R Galloway A Lawson Live Score Stream Odds Stats News

Diabetic Neuropathy A Position Statement By The American Diabetes Association Diabetes Care

J R Auto Group Is A Chevrolet Buick Gmc Dealer Selling New And Used Cars In Scott City Ks

Rainfall And Dsd Parameters Comparison Between Micro Rain Radar Two Dimensional Video And Parsivel2 Disdrometers And S Band Dual Polarization Radar In Journal Of Atmospheric And Oceanic Technology Volume 37 Issue 4
26f Gyujoeaucm

Pdf Financial Contagion During Covid 19 Crisis

Rainfall And Dsd Parameters Comparison Between Micro Rain Radar Two Dimensional Video And Parsivel2 Disdrometers And S Band Dual Polarization Radar In Journal Of Atmospheric And Oceanic Technology Volume 37 Issue 4

Revue Et Gazette Musicale De Paris Wikipedia

Appendix B List Of Planetary Community White Papers New Frontiers In The Solar System An Integrated Exploration Strategy The National Academies Press

Appendix B List Of Planetary Community White Papers New Frontiers In The Solar System An Integrated Exploration Strategy The National Academies Press

Meet The Jubilarians The Arlington Catholic Herald

Flatplate Collectors Table Of Content Pages 1introduction 2flatplate

Mg Zr High Resolution Stock Photography And Images Alamy

Neighbourhood Consensus



