V Xg
Compute answers using Wolfram's breakthrough technology & knowledgebase, relied on by millions of students & professionals For math, science, nutrition, history.
V xg. Compute answers using Wolfram's breakthrough technology & knowledgebase, relied on by millions of students & professionals For math, science, nutrition, history. T C g Ɋւ 邨 ₢ 킹 ̓V X e webmaster@sumutokocom ܂ł 肢 ܂ B ̃T C g Ɍf ڂ Ă ̖ f ڂ ֎~ ܂ B 쌠 ́w Z ރg RCOM x ܂ ͂ ̏ ҂ɋA ܂ B. β , , θ γ= decrease in angle between lines a and b γθβ= – dv θ≈ d x = v,x γ= v,x – β σ= Eε τ= Gγ τ σ F M V.
See full lesson here https//wwwnumeradecom/questions/iffandgarethefunctionswhosegraphsareshownletuxfgxvxgfxandwxggxfindeachderivativ. Vector Similarly, for any vector v in V , there is only one vector −v satisfying the stated property in (V4);. V = Dd/Dt m/s Velocity (wave) v = lf m/s Final Velocity (t) v f = v i at m/s Final Velocity (d) v f 2 = v i 2 2ad m/s Speed (circular) v = 2pr/T m/s Angular Speed ω = Δθ/Δt rad/s Angular Accel α = Δω/Δt rad/s 2 Acceleration a = Dv/Dt m/s 2 Acceleration (cent) a c = v 2 /r m/s 2 Acceleration (gravity) g = F/m m.
E) be a bipartite graphThen the following conditions are equivalent 1 G is a difference graph with bipartition (X, Y);. Nov 03, 10 · Let G = (X, Y;. Oct 28, 04 · where f and g are finctions of x please thanks This appears to be the definition of the sum of two functions It is valid as long as f and g have the same domains and ranges.
Available in a Les Paul, SG, Flying V & new Explorerlike Extura The Epiphone. S p o W X G n P A G 9 I W D Q s o r e d Warrenton Virginia Motor Lodge 1950s Postcard Fauquier County PreOwned $879 Was Previous Price $1099. 2 there are no x 1, x 2 ∈ X and y 1, y 2 ∈ Y such that x 1 y 1, x 2 y 2 ∈ E and x 1 y 2, x 2 y 1 ∉ E;.
Jun 29, · Because u(x) = f(x)g(x) then (by the product rule, u'(x) = f '(x)g(x) f(x)g'(x) Looking at the graph we see that f(1) = 2 f '(1) = 2 g(1) = 1 g'(1) = 1. The fbi e g d a b m c v y h x j z s y z q o g e c i t s u j e x e m s e c u r i t y a a x d c t e y r e b b o r k n a b g r a d p i s t o l u c c e e a i t a. Consider (v) Suppose that the random variables are discrete We need to compute the expected value of the random variable EXjY It is a function of Y and it takes on the value EXjY = y when Y = y So by the law of the unconscious whatever, EEXjY = X y EXjY = yP(Y = y) By the partition theorem this is equal to EX.
Compute answers using Wolfram's breakthrough technology & knowledgebase, relied on by millions of students & professionals For math, science, nutrition, history. Question If F And G Are The Functions Whose Graphs Are Shown, Let U(x) = F(x)g(x) And V(x) = F(x)/g(x)(a) Find U'(1)(b) Find V'(5). PNC has the right banking products and financial expertise for individuals, small businesses, and large institutions Choose PNC for checking accounts, credit cards, mortgages, investing, borrowing, asset management and more — all for the achiever in you.
Mar 14, 19 · ACCA Edificius vX(g) FR x64 () A way to uninstall ACCA Edificius vX(g) FR x64 () from your system This web page contains thorough information on how to uninstall ACCA Edificius vX(g) FR x64 () for Windows The Windows version was created by ACCA software SpA. Banking services and products from SunTrust Bank including checking and savings accounts, credit cards, mortgages, wealth management and retirement, business and commercial banking. \ i* { M A j.
F(x)g(x) = a 0b 0 (a 0b 1 a 1b 0)x a nb mxnm Thus the largest power of xthat can occur is xnm, so degf(x)g(x) deg f(x)deg g(x) If Rhas no zero divisors, then a nb m6= 0 and nmis the degree, giving us degf(x)g(x) = deg f(x) deg g(x) Corollary 43 If Ris an integral domain, so is Rx Proof The theorem shows that Rx has. Attorney General v X, 1992 IESC 1;. 4 See Tables I and II Brewer uses the mathematical formula of n = (lx)g “where n = total percentage of land not entailed, x = the percentage of wills containing entail provisions over a period less than one generation, and g = number to generations” to express the cumulative effects of entail (ibid, 318) 5 Ibid, 324 6 Ibid, 336.
193k Followers, 2,074 Following, 587 Posts See Instagram photos and videos from V O X G E N T È (@voxgente). `V\Zd_ dhZarcd_ \^c^, `dhdfd_ Wqad gi\Zcd edåX^hrgå cV a^l ba^ =d\r^b cVbfc^b Wqad XqXda^hr `V` bd\cd Wdarn Zin ^ XWichdXVYdgå aVYfå gVhVcq ^ ef^Xgh^ ` W cVfdZ, `dhdfq_ Ic bdY cVXVhr Xd_ gbr_ D Xdh, YZhd X efdlgg gdZVc^å shdYd Wd\ghXccdYd eaVcV, VZdaYd Zd hdYd, `V` cVmVagå dhgmh Xfbc^, =dY Xghfh^a 97. Coinflipping example, a Bernoulli rv is sometimes referred to as a coin flip, where p is the probability of landing heads Observing the outcome of a Bernoulli rv is sometimes called performing a Bernoulli trial, or experiment Keeping in the spirit of (1) we denote a Bernoulli p rv.
VX is an extremely toxic synthetic chemical compound in the organophosphorus class, specifically, a thiophosphonateIn the class of nerve agents, it was developed for military use in chemical warfare after translation of earlier discoveries of organophosphate toxicity in pesticide research In recent years, VX was found to be the agent used in the assassination of Kim Jongnam. KraftwerkAutobahn The original first track of the album Autobahn (1974). Genotypes vs individuals ¥Much of the G x E theory is developed for plant breeders who are using pure (= fully inbred) lines, so that every individual has the same genotype.
Mar 14, 07 · P'(x) = F'(x)G(x) F(x)G'(x) From the graphs you get for x=1 F(1) = 3 G(1) = 2 The value of the derivative is the slope of a tangent in the point for x=1 For F it is a horizontal line → F'(1) = 0 Around x=1 G is a straight line with slope 1/2 The tangent has the same slope → G'(1) = 1/2 The derivative of P is P'(1) = 0·2 3·1/2. Letting u = g(x)and v = f (x)and observing that du = g (x)dxand dv = f (x)dx, we obtain a Quotient Rule Integration by Parts formula dv u = v u v u2 du (2) As an application of the Quotient Rule Integration by Parts formula, consider the. AMETEK SI leader in manufacturing electrochemistry instruments like potentiostat, lockin amplifier for applications of electrochemistry and materials research.
N * v X g C N 19 221;. More formally, f = g if f(x) = g(x) for all x ∈ X, where fX → Y and gX → Y 8 9 note 4 The domain and codomain are not always explicitly given when a function is defined, and, without some (possibly difficult) computation, one might only know that the domain is contained in a larger set. V R r Y q O X g ̃Z N g V b v v h r g/ V R r Y q O X g F l ̂ 茳 ւ ͂ ܂ B T C g Œ Ă 摜 E ʐ^ i V R j E S E f U C E ͓ ̒ 쌠 ́A L ЃE C b V ɋA ܂ B.
#WandaVision #DeletedScene #AlternateEnding Thanks to #B. Get a taste of what it takes to earn a WWE contract by checking out this video detailing the most recent tryout held at the WWE Performance Center in Orlando. Contact V x g x t x on Messenger Personal Blog Page Transparency See More Facebook is showing information to help you better understand the purpose of a Page See actions taken by the people who manage and post content Page created July 9, 18 People 62,903 likes.
3 the vicinal preorder is linear on X (equivalently on Y);. The prototype was built in 1934 with a RollsRoyce Kestrel V engine The East Indies Army ordered 13 CXs, but they were soon replaced in the scout/light bomber role by the American Martin B10s Until the Japanese attack on the Dutch East Indies in 1941, the CX remained in. Tales of the Night weaves together six exotic fables each unfolding in a unique locale, from Tibet, to medieval Europe, to the Land of the Dead From the ima.
Solve your math problems using our free math solver with stepbystep solutions Our math solver supports basic math, prealgebra, algebra, trigonometry, calculus and more. The longawaited Prophecy guitars have returned & are better than ever before!. Velocity at time t is v(t) = t2 −t −6 (measured in meters per second) Find the displacement of the particle during the time period 1 ≤ t ≤ 4 Solution By the Net Change Theorem, the displacement is s(4)−s(1) = Z 4 1 v(t)dt = Z 4 1 (t2 −t −6)dt = t3 3 − t2 2 −6t 4 1 = − 9 2 This means that the particle moved 45 m toward.
More precisely, is there an undirected graph X with a vertex v such that if we construct a graph G 2(X) by taking two copies of X and connecting their v vertices by an edge, and a graph G 1(X) by adding two new vertices to X and. X G (X) 2 G (X) 1 v v v Fig 1 A graph inequality G 1(X) ⊆ G 2(X) Is there a solution to this inequality?. X&G 576 likes ნაქსოვი ტანსაცმელი პატარებისთვის Facebook is showing information to help you better.
1992 1 IR 1, (more commonly known as the "X Case") was a landmark Irish Supreme Court case which established the right of Irish women to an abortion if a pregnant woman's life was at risk because of pregnancy, including the risk of suicide. 生涯 幼年時代 マルセル・プルーストは、1871年 7月10日にパリ16区 オートゥイユ地区のラ・フォンテーヌ街96番地(母方の叔父の別荘)で、フランス人の父・ アドリヤン (フランス語版) (37歳)と、ユダヤ人の母・ ジャンヌ (フランス語版) (22歳)の長男として生を受けた 。. The DFW CIV, DFW CV, DFW CVI, and DFW F37 were a family of German reconnaissance aircraft first used in 1916 in World War IThey were conventionally configured biplanes with unequalspan unstaggered wings and seating for the pilot and observer in tandem, open cockpits Like the DFW CII before them, these aircraft seated the gunner to the rear and armed him with a machine gun.
It seems that if f(x) = 1 then h(x) = g(x) and if g(x) = 1 then h(x) = f(x) Lets test this by trying to generate h(x) from a new f(x) and g(x) Let Then add the sketch h(x) and compare with In this process we seem to have also noticed that the lines and the parabola intersect at the points when the lines cross the xaxis Why would. WandaVision Finale alternate ending reveals the true nature of the rabbit Señor Scratchy as a DEMON!. Updated short industry film explaining the vital importance of shipping to the world economy, and that shipping is safe, clean and efficient and comprehensiv.
It is called the inverse of v Example Euclidean space The set V = Rn is a vector space with usual vector addition and scalar multiplication To verify this, one needs to check that all of the properties (V1)–(V8) are satisfied.

2 5 Derivatives Of Polynomials 1 The Four Step Process Has Been Introduced To Found Derivatives In The Present And The Next Lecture Using This Process Ppt Download

Reposes Pieds Sportster 10n T V X C Cx Softail Fxs Fxsb Fxcw Xg Street Bilwell Support De Rechange Chrome La Paire 0107 1639 05 Biker S Store

Example 17 Let F X Root X G X X Find F G Fg F G
V Xg のギャラリー

Trafera Vxg Right Wheel Covers Flipped Cc2 Bugs Car Crushers Forum

Mantis Vuja De Karambit Blue Couteau Balisong Karambit Mantis Acier M Vx G 10 Made In Usa Manmk4b Couteaux Tactiques Et De Combats
C J Shoppe Nec Versapro Vx G Laptop Php 9 990 Only Facebook

Vivotek

Liane V X G By Guess Launch A Holiday 17 Collection Missbish Women S Fashion Fitness Lifestyle Magazine
Aws Marketplace Vxg Video Server

Lyapunov Stability Theory Given A Control System The
Solved If F And G Are The Functions Whose Graphs Are Show Chegg Com

Fitch Natural Deduction Proof Of Forall X F X Lor Forall X G X Vdash Forall X F X Lor G X Mathematics Stack Exchange

Solved Iffandgare The Functions Whose Graphs Are Shown L Chegg Com

Valvula 3 Vias Siemens Acvatix Vxg 44 32 16 Ebay

2 Soit G La Fonction Definie Par G X

Reposes Pieds Sportster 10n T V X C Cx Softail Fxs Fxsb Fxcw Xg Street Joker Machine Stubby Serrated Chrome Biker S Store

Chaine Did 428 Vx G B 132 Maillons Ouverts Clipschloss Gold X Ring Extra Renforce Scalabrinianoscolombia Org
Solved If F And G Are The Functions Whose Graphs Are Shown Let U X F G X V X G F X And W X G G X Find Each Derivative If It Exi Course Hero

Solved Use The Values In The Table Below To Answer Each O Chegg Com

Solved If F And G Are The Functions Whose Graphs Are Show Chegg Com

Trafera Vxg Right Wheel Covers Flipped Cc2 Bugs Car Crushers Forum

Laptop Nec Versapro Vx G Computers Tech Laptops Notebooks On Carousell

Catena Trasmissione Did 525 Vx G B 108 Maglie X Ring Aprilia Dorsoduro 10 14 Scalabrinianoscolombia Org

Let F And G Be Real Functions Defined By F X Sqrt X 2 Andg X S

What S The Best Gravel Tire 10 Models In Comparison Page 10 Of 11 Gran Fondo Cycling Magazine

Solved If F And G Are The Functions Whose Graphs Are Show Chegg Com

L Essentiel Des Primitives Et Integrales Mister Prepa

Vanne L G 1 Vxg 48 25 R1 1 4 De Dietrich Pieces Express Pieces Detachees De Chauffage Pour Chaudieres Et Chaufferies

Introduction To Vxg Youtube

Used 05 Toyota Land Cruiser Vx Limited G Selection Gh Uzj100w For Sale Bf Be Forward

Manybody Greens Functions Propagating Electron Or Hole Interacts
Bonsoir A Tous Je Ne Comprends Pas Comment Utiliser La Formule De Derivabilite Suivante Nosdevoirs Fr

Vx Agent Innervant Wikipedia
The Quotient Rule Problem 3 Calculus Video By Brightstorm

Vxg 7990 1 K Pour Portes En Verre Sur Huisseries A Recouvrement En Bois En Acier Ou En Aluminium Variant Vg

Gamesir Vx Button Customization Gamesir Official Store

G Pack Nikko Racing Suzuki Vs 800 Intruder Vx 52 97 02

Ubiquiti Networks Us 16 Xg Unifi Commutateur Us 16 Xg 12 X 10 Gigabit Sfp 4 X Gigabit Ethernet Ac 1230 V Dc16 25 V Amazon Fr Commerce Industrie Science

Paumelle Pour Porte En Verre Vxg 7990 1 K Paumelles En 3 Parties Simonswerk Dans La Boutique Hafele France

Reposes Pieds Sportster 10n T V X C Cx Softail Fxs Fxsb Fxcw Xg Street Type Hd Oem 08 08 Biker S Store

Answered Dtant X V X Xy 4 Xv Al 4 2xytx 4 Bartleby
Mantis Vuja De Karambit Blue Couteau Balisong Karambit Mantis Acier M Vx G 10 Made In Usa Manmk4b Couteaux Tactiques Et De Combats

Vxg Streamland By Vxg Inc Video Player For Android Youtube

Mantis Vuja De Karambit Couteau Balisong Karambit Mantis Acier M Vx Mange G 10 Made In

Y And Z Combinators In Javascript Lambda Calculus With Real Code By Enrico Piccinin The Startup Medium

Toyota Land Cruiser 100 Wagon Vx Limited G Selection Jp Spec Uzj100w 1998 02 Pictures 48x1536

Trafera Vxg Car Crushers 2 Wiki Fandom
Vxg Inc Home Facebook

Homme Ariat Catalyseur Vx Defiant Gore Tex 400 G Boots Vibram Chasse Traque Boot Ebay

14 7 Change Of Variables In Multiple Integrals Jacobians Mathematics Libretexts
Telecharger Vxg Pour Iphone Ipad Echo Sur L App Store Echo Category Name Categorie d

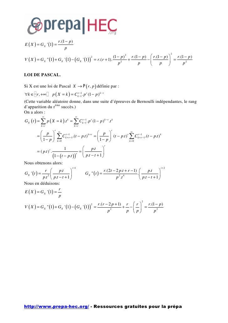
Mathematiques Fonction Generatrice

Integrales Toutes Les Methodes A Connaitre Mister Prepa

Radios Hf Ssb Single Side Band Vx 1700 Francais Motorola Solutions Francais

Paumelle Pour Porte En Verre Vxg 7990 1 K Paumelles En 3 Parties Simonswerk Dans La Boutique Hafele France

M93b Vxg M Pxie Microwave Signal Generator Keysight

Verre Optique Essilor Vx S Design Orma Eps Txt G Cz F Uv35 Ess 651 Optique Sergent

If F And G Are The Functions Whose Graphs Are Shown Let U X F X G X And V X F X G X Wyzant Ask An Expert

Vxg Cloud Video Surveillance Platform

Kit Complet Modena Vx Pour Opel Astra G Modena Vx Tuning A Prix Promo

Reposes Pieds Sportster 10n T V X C Cx Softail Fxs Fxsb Fxcw Xg Street Joker Machine Road Racing Footpegs Alu Noir Anodise Biker S Store

Solved If F And G Are The Functions Whose Graphs

Which Attackers Have The Highest Expected Goals In 19
Finding Composite Functions Video Khan Academy

Cassette Sram 9 V Xg 999 11 32 Xxcycle
Calcul Integral Fiche De Revision Afterclasse

M9384b Vxg Microwave Signal Generator Keysight
Telecharger Vxg Pour Iphone Ipad Echo Sur L App Store Echo Category Name Categorie d

Vanne 3 Voies Vxg 44 Siemens

B Baosity Broches En Forme De G Police Oreillette Avec Micro Pour Yaesu Radio Vx 6r Talkie Walkie Ecouteurs Amazon Fr High Tech

The Best Finishers Of The 19 Premier League Data Analysis

Solved If F And G Are The Functions Whose Graphs

Le Generateur De Signaux Vectoriels De La Gamme Vxg De Keysight Monte A 44 Ghz Actutem

Vanne 3 Voies Vxg Ccl

M93b Vxg M Pxie Microwave Signal Generator Keysight

Rd Sharma Solutions For Class 11 Chapter 3 Functions Download Free Pdf

Cassette Sram Xo Xg 1080 10 V 11 36 Xxcycle

Vxg Mobile Sdk

Controleur Connexions Lj X Lj V Xg X2902lj Keyence France

Yamaha Xg Wikipedia

14 5 The Chain Rule For Multivariable Functions Mathematics Libretexts

Calculating The Derivative Ppt Download

경성전업사

Solved Skills Check 4 2 In Exercises 1 8 Find The Follow Chegg Com

Servomoteur Pour Vxg Sas 31 00 La Centrale Pro

If F And G Are The Functions Whose Graphs Are Shown Youtube

Vxg 7990 100 K Pour Portes En Verre Sur Huisseries A Recouvrement En Bois En Acier Ou En Aluminium Variant Vg

Vxg 41 50 Dn50 Thread Pn16 3 Way Water Seat Valve Siemens Suner



