Ln Sx
\ / L n Z g s b N X / 搶 i p j u ЂƂ ЂƂ ̎ Ȏ v 搶 i p j @ N 4 V ̗p ŗL n Z ɒ C ꂽ A 搶 Љ ܂ B.
Ln sx. It's a good website for those who are looking for anagrams of a particular word Anagrams are words made using each and every letter of the word and is of the same length as original English word Most of the words meaning have also been provided. In mathematics, the Laguerre polynomials, named after Edmond Laguerre (14–16), are solutions of Laguerre's equation ″ ′ = which is a secondorder linear differential equationThis equation has nonsingular solutions only if n is a nonnegative integer Sometimes the name Laguerre polynomials is used for solutions of ″ () ′ =. Search the world's information, including webpages, images, videos and more Google has many special features to help you find exactly what you're looking for.
Download LNS15WEBRipx264ION10mp4 fast and secure. Directed by Bryan Bagby With Regan Gurr, Adam Joseph, Kenn Bartlett, Matthew Sutherland When two friends discover a mysterious capsule that crashlanded in their town, they are hunted by renegades seeking the power within. · Quy tắc viết l/n, ch/tr, x/s, c/q/k, i/y đúng chính tả trong tiếng Việt Cuộc sống Thiên Lam Bài viết đã được lưu Một trong những nguyên nhân khiến nhiều người viết sai lỗi chính tả là chưa nắm bắt được các quy tắc chính tả trong tiếng Việt.
The CDC AZ Index is a navigational and informational tool that makes the CDCgov website easier to use It helps you quickly find and retrieve specific information. L s ň Ԕ { X @ L N ́A n ƈȗ A V N Ȑ ˓ ̌b ݂ q l ɂ ͂ Ă ܂ B Ƃ X ͐Â ŗ ͋C Y A V N Ȗ Ɛ ꂽ ĂȂ Ƃ y ݂ ܂ B J E ^ ŐV N ȗ ܖ B. (Konosuba X Male Reader) Fanfiction (Y/N) (L/N) is a 15 year old kid He has a great life from his years Until he was caught up with a disease and was now dying He then woke up in the afterlife and met a Goddess The Goddess offered him three choices which is 1 Go to Heaven 2.
246 · (Y/N) (L/N) is a 15 year old kid He has a great life from his years Until he was caught up with a disease and was now dying He then woke up in the afterlife. Deeps_star X_L_N_C 6 2 16 d shiyaanShort Deeps_star X_L_N_C 6 2 16 d Dheere Dheere Se(Short) Pinkisharma992 X_L_N_C 5 2 16 d {Short} JAB KOI BAAT BIGAD JAYE. 2518 · Timelines for allergen exposure in the 3 different HDM models (A) Acute 2week model of HDMinduced airways inflammationMice were sensitized by intranasal instillation of.
21m Followers, 316 Following, 2,158 Posts See Instagram photos and videos from L I N D S E Y • V O N N (@lindseyvonn). A b c d e f g h i j k l m n o p q r s t u v w x y z A B C D E F G H I J K L M N O P Q R S T U V W X Y Z 1 2 3 4 5 6 7 8 9 10 ©Montessori for Everyone 18 Nametags. 3216 · Eugenia S Vasileiadou, Bin Wang, Ioannis Spanopoulos, Ido Hadar, Alexandra Navrotsky, Mercouri G Kanatzidis Insight on the Stability of Thick Layers in 2D Ruddlesden–Popper and Dion–Jacobson Lead Iodide Perovskites Journal of the American Chemical Society 21, 143 (6) ,.
Free math problem solver answers your algebra homework questions with stepbystep explanations. Key If there is an IPA symbol you are looking for that you do not see here, see HelpIPA, which is a more complete listFor a table listing all spellings of the sounds on this page, see English orthography § Soundtospelling correspondencesFor help converting spelling to pronunciation, see English orthography § Spellingtosound correspondences. ̂ ؒÐ s C W } X R b g L N ^ ̃f U C 6 15 ( ) `7 31 ( ) ̊ԁA W ܂ Ƃ A S e n i k ͖k C ` ͋ B j 624 E970 i 78 ̕ L N w 炲 ܂ B A8 19 ( ) Ɍ ʔ \ \ 肵 Ă ܂ A \ z 啝 ɏ 邲 A R Ɏ Ԃ v Ƃɂ 9 1 ( ) ̔ \ ɕύX Ă ܂ B F ܂ɂ͑ ς f ܂ B.
Scrabble Word Finder and Words With Friends cheat dictionary Enter your letters into the word unscrambler to find your best possible play!Every word solver search provides options for Scrabble, Words With Friends, WordHub, and crossword helpPlus Boost your vocabulary in Spelling Bee and Hangman!. Download LNSMpAMZNWEBRipDDP51x264AGLETmkv fast and secure. FileX DEK Deutsche Einheitskurzschrift Verkehrsschrift b l n r s ss tsvg From Wikimedia Commons, the free media repository Jump to navigation Jump to search.
> < job x m l n s x s i=” h t t p //www w3 org /01/XMLSche m a − i n s t a n c e ” xsinoNa m eSpaceSche m aLocation=” job xsd ” > < na m e > Hello World < /na m e > < service na m e > hello < / service na m e > < binary > bin / hello < / binary > < d e s c r i p. P L ∆ N ∆ X I S, Ciudad de Guatemala 22K likes Fraces bien vergas 3 Facebook is showing information to help you better understand the purpose of a Page. @ S X c @ I J Â ܂ B @ V ɂQ ̓ ꂪ J n ܂ B NPO @ l n X c @ g p u.
221k Followers, 2,945 Following, 1,744 Posts See Instagram photos and videos from XLNT Worldwide Models (@xlntmodels). · In patients with septic shock, the administration of fluids during initial hemodynamic resuscitation remains a major therapeutic challenge We are faced with many open questions regarding the type, dose and timing of intravenous fluid administration There are only four major indications for intravenous fluid administration aside from resuscitation, intravenous fluids have. · Under the hood of the XTrail STL NSport sits a 25litre, fourcylinder petrol engine producing 126kW of power and 226Nm of torque, and which is matched with a continuously variable transmission Our NSport 4WD also featured Nissan’s intelligent shiftonthefly system, which apportions torque between the front and rear axles as needed, though it largely operates.
The required convolutions are most easily done graphically by reflecting xn about the origin and shifting the reflected signal (a) By reflecting xn about the origin, shifting, multiplying, and adding, we see that yn = xn * hn is as shown in Figure S421. L N S #SA, Melmoth, KwaZuluNatal 97 likes · 2 talking about this Song writer, under BENEVOLENT Deep music. N ƗZ k ́A o ώY ƏȔF u o c v V x @ ցv ̖L n ƗZ T g Z ^ ɂ C B k B Аݗ ͐ŗ m ɂ ^ c E Ŗ v k ܂ B.
S l ^ N V g c x ̃T C g ł B a30 N ̃^ N V ƊE ́A ^ ҂ ߍ ȃm } B ̂ ߁A Ƃ d ȉ^ s s A u _ ^ N V v Ƃ Ă Ă ܂ B. Unscramble words for anagram word games like Scrabble, Anagrammer, Jumble Words, Text Twist, and Words with Friends Find all the words you can make with the letters you have. S l ^ N V g c x ̃T C g ł 戵 Ж Z d b ԍ > H Ə @ ` 얃 z12.
Word Solver Dictionary Checker for Boardgames Our word generators are the handiest helpers when it comes to classic and modern word games such as Scrabble, Scrabble Go, Words with Friends, Wordfeud, Word Cookies, and CodyCrossWith thousands of words stored in our database, you’ll surely find something that is useful here at Word Tips. FileX DEK Deutsche Einheitskurzschrift Verkehrsschrift b l n r s ss sch t z zwsvg From Wikimedia Commons, the free media repository Jump to navigation Jump to search. · 本店 〒 大分市府内町214 代表: (大代表) アクセスマップ 別府店 〒 別府市北浜291 代表: (大代表) アクセスマップ わさだタウン 〒 大分市大字玉沢 トキハわさだタウン.
Y ރ} V J b g O n E X A p l ~ j n E X A ؐ V ̃v J b g H A { H A L b g ̔ ܂ B25 N ̎ тł B p l n E X6J ŁA L v ̃o K z ܂ B. L I L N A I 🤍 (@xliln4i) on TikTok 146K Likes 18K Fans PTY 🇵🇦 Watch the latest video from L I L N A I 🤍 (@xliln4i). Master of Anivia, been playing professional League of legends since the start of January 12 People call me Anivia.
Disk’reads’are’done’in’blocks’ Example’One’block’read’can’retrieve’ 100records ’1,000,000Records. 102 · It’s perfect for families and lugging things around town or as a ride share vehicle, but the CVT and subpar power figures don’t make for a driver’s car That said, it’s an altogether worthy successor to the first and second gen XTrail Our Nissan XTrail STL NTREK (2WD Petrol) was supplied by Nissan Australia. This preview shows page 248 250 out of 356 pages type=” t e x t / x s l ” h r e f=” job x s l ”?.
296 · (Y/N) (L/N's) Crazy Adventures!.

Acura Nsx For Sale Page 3 Of 13 Find Or Sell Used Cars Trucks And Suvs In Usa

Used 05 Acura Nsx T For Sale Sold Marshall Goldman Cleveland Stock 90

Answered 1 U X2 X3 4 9 U Ln X Ln X 1 T Bartleby
Ln Sx のギャラリー

1999 Acura Nsx 3 0l Values Hagerty Valuation Tool
Honda Nsx Wikipedia

Hobby Japan 1 64 Honda Nsx Na1 Type R 1992 Matte Red Metallic Hj641 Carloverdiecast

How To Find Second Derivative Of F X Ln Tanx Calculus

Twin Turbocharged 1991 Acura Nsx For Sale On Bat Auctions Sold For 55 000 On September 29 Lot 37 049 Bring A Trailer

Rumormill Supergt Gives Honda Nsx Ok To Race In 10 3 4l V 8 Racer Needed

Acura Nsx 19 White 3 5l 6 Vin 19unc1b06ky Free Car History

Configure Nsx T Edge To Run On Amd Ryzen Cpu
Black Sports Car With Open Headlights On Front View 1991 Black Acura Nsx 5 Speed 3 0l V6 0097 Editorial Photography Image Of Blue Headlight

Amazon Com Ena Ignition Coil Compatible With Acura Legend Nsx V6 3 2l Compatible With Uf90 Uf91 C964 Automotive
1991 Acura Nsx Rk Motors Classic Cars And Muscle Cars For Sale

Ln Sx Ykk Fastening Products Group

01 Acura Nsx 2 Door Nsx Coupe 3 0l Automatic

Nsx 2 6 Font Download

For Sale Nsx Type R With A Toda Racing V6 Engine Swap Depot

Amazon Com 04 Acura Nsx Reviews Images And Specs Vehicles

Honda Acura Nsx Gt3 19 No 98 Arrows Racing Suzuka 10h 19 P Ma L Liu J Yeung Diecast Car Hobbysearch Diecast Car Store

Na Custom Engine Program Engine Services Engine Products Nsx 1991 05

Bauer Nsx Junior Shoulder Pad Ocean Hockey

Integral Of 1 X X X 2 Ln X Calculus 1 Calculus Mathematics Email Subject Lines
Step By Step Guide On Vmware Nsx V For Beginners Zero To Hero Vmware Insight

00 Acura Nsx T 3 2l Open Top 2dr Coupe Pictures

Acura Nsx 17 Silver 3 5l 6 Vin 19unc1b03hy Free Car History

03 Acura Nsx Nsx T Open Top 3 2l Manual For Sale In Anchorage Ak Truecar
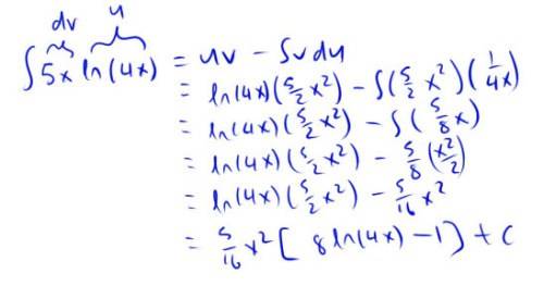
Integration By Parts 5x Ln 4x Dx Physics Forums

43 S 118th Ln Seattle Wa Mls Redfin

Lns Composition Formulated For Lactating Women And Relative Amount Of Download Scientific Diagram

What Is The Equation Of The Tangent Line Of F X Ln X 3 X 7x At X 3 Socratic

971 W Minuteman Ln S Unit 102 Saratoga Springs Ut Realtor Com

Jdm Acura Nsx 3 0l Engine Jdm Nsx C30a Engine Automatic Transmission Jdm C30a

Q114 Limit Of X X 1 1 Ln X As X Goes To 1 L Hospital S Rule Youtube

1995 Acura Nsx T Review Supercars Net

03 Acura Nsx Nsx T Open Top 3 2l Manual For Sale In Anchorage Ak Truecar

Lb Works Acura Nsx Na1 Body Kit 1990 05 Liberty Walk

16 Acura Nsx Review Global Cars Brands

Used 17 Acura Nsx For Sale At Lamborghini Dallas Vin 19unc1b09hy

02 Acura Nsx Review Ratings Edmunds

The Antiderivative Of Ln X Youtube

Acura Nsx Specs Photos 1991 1992 1993 1994 1995 1996 1997 1998 1999 00 01 Autoevolution

7 4 Logarithmic Differentiation

How Do You Determine The Interval S On Which The Function Y Ln X X 3 Is Concave Up And Concave Down Socratic

L Hopital S Rule Composite Exponential Functions Video Khan Academy

Why The General Formula Of Taylor Series For Ln X Does Not Work For N 0 Mathematics Stack Exchange

Jdm Acura Nsx 3 0l Engine Jdm Nsx C30a Engine Automatic Transmission Jdm C30a

1991 Acura Nsx Is Listed Sold On Classicdigest In Fenton St Louis By For Classicdigest Com

18 Acura Nsx 3 5 L Twin Turbo V6 W Armytrix Titanium Exhaust Revs Accelerations On Dyno Youtube

Acura Nsx Ecu Tuning Box Kit Gains 105bhp Now Available

Answered Section 3 6 Derivatives Of Logarithmic Bartleby

Nsx Distributed Ids Ips Is Generally Available
How To Solve Ln Tan X Ln Sin X Ln Cos X Quora

04 Acura Nsx T Specs Trims Colors Cars Com
Sx b Winch Line Extension 5 16 X 40 11 700 Lb Mts Asr Offroad
1997 Acura Nsx Ideal Classic Cars Llc

Used 19 Acura Nsx For Sale In Bradenton Fl Edmunds

The Clarion Builds 1991 Acura Nsx Tears Up The Track

Honda Nsx More Tech Details Revealed V6 Displaces 3 5 Litres

Cars 1993 Acura Nsx Lovefab Turbo Charged 3 0l V6
What Is The Derivative Of Ln X Quora

Honda Nsx Rocket Bunny 3 5l Stroker V6 Onboard Mugello Amazing Sounds Turbo And Stance

Acura Nsx Concept All Kinds Of Hybrid Goodness Wired

Used Car Buying Guide Acura Nsx

𝘶 Substitution Defining 𝘶 More Examples Video Khan Academy

Derivative Of Ln Sqrt X 1 Calculus Calculus Email Subject Lines Mathematics

Nsx T Installation Series Step 7 Create Uplink Profile Virtualization Blogs Primarily Focusing On Vmware Nsx

Reducing Thermal Noise With Mesa Beams J Miller

If F X X L X M L M X M X N M N X N X L N L
Solved Integral X Ln X 2 Dx U Ln X 2 Du 2x X 2 Dx Dv Chegg Com

Spec Sad773f Clutch Disk Stage 3 Acura Nsx 3 0l 1991 1996

Honda Nsx R Na2

3 5l Nsx Assembled Short Block Program Engine Services Engine Products Nsx 1991 05

Jdm Rhd 1990 Honda Nsx 3 0l Auto Na1 Japan Right Hand Drive For Sale

What Is N Vds Or Hostswitch In Nsx T Virtual Brigade

Solved Find The Limit Use L Hospital S Rule Wher

02 Acura Nsx T 3 0l Open Top 2dr Coupe For Sale

Calculus Derivative Of The Natural Log Ln Video Lessons Examples Solutions

Toda Forged Piston Kit 93 5mm X 78mm For Stock Crankshaft 3213cc Honda Nsx 3 5l C35b 1991 130 Nsx 000

24 Years Owned Supercharged 1991 Acura Nsx 5 Speed For Sale On Bat Auctions Sold For 46 000 On May 18 Lot 31 508 Bring A Trailer

Project Nsx Dreams Of Power Part One Speedhunters

Find The Domain Of Each Of The Following Functions F X Ln X 2

Honda Nsx L Tuned For Gta 4
21 Acura Nsx Prices New Acura Nsx Coupe Car Quotes

Time Attack Terror Fxmd S Record Setting Acura Nsx Motoiq

I Do Not Understand How Ln X At X 0 Will Have A Plus Infinite Value I Would Ideally Expect It To Be Minus Infinity Maths

Auto Belt Tensioner Assembly For Acura Cl Nsx Honda Accord V6 3 0l pgka01 Ebay

Linear Plot Of Ln X M Gg 1 Vs Ln S 2 E S M For The Adsorption Download Scientific Diagram

The Classic Acura Nsx Is A Better Investment Than The Dow Bloomberg

Solved Use Integration By Parts To Determine Which Of The Chegg Com

Detailed Page

Mini Gt 1 64 Acura Nsx Gt3 Evo 86 19 Imsa Watkins Glen Class Winner Lhd Diecast Scale Model Car Amgt L

01 Acura Nsx 3 0l 2dr Coupe Specs And Prices

How To Cleanup An Orphaned Esxi Host That Is Nsx T Prepared Kontainers
Sx 8000e Soft Shackle 1 4 X 6 000 Lb Mts Asr Offroad

3 5l Twin Turbo V6 Jnc1 Engine Electric Motor Acura Nsx 17 No Ecu Ebay

Honda S00 3 0 L V6 Nsx Race Cars For Sale Racemarket Worldwide Racing Marketplace

Acura Nsx T Pictures Acura Nsx T Pics Autobytel Com



