
Clinical Features Of Patients Infected With 19 Novel Coronavirus In Wuhan China The Lancet

Complex Number Wikipedia

What Exactly Is Dynamic Creative Optimization Digiday
Xz Rex のギャラリー

R List Learn What All You Can Do With Lists In R Dataflair

Solutions Homework Sections Pdf Free Download

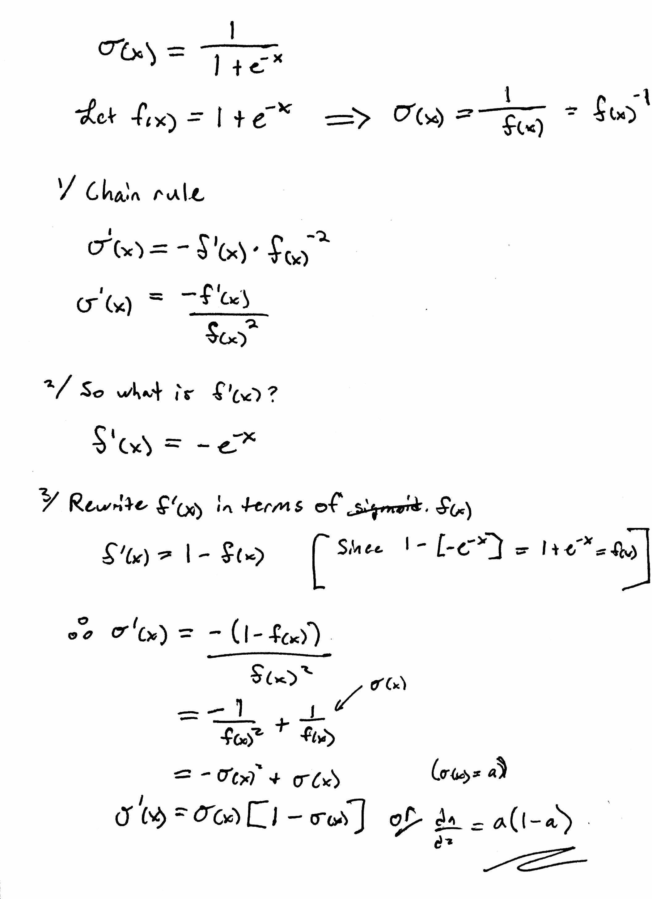
Differentiating The Sigmoid Function By Matt Mcinnis Medium

Solutions For Problem Set 4 A Consider The Polynomial Ring R Z X

Unit 2 Seminar Welcome To Mm150 To Resize Your Pods Ppt Download

How To Receive Second Dose Of Covid 19 Vaccine In Duval County Firstcoastnews Com

A Q J M Z O R W P I N B C L E X Drawing By Alain
Osa On Axis Three Dimensional Meta Holography Enabled With Continuous Amplitude Modulation Of Light

Let F Cos Y 2 Z 2 I Sin Z 2 X 2 J E X 2 Y 2 K Be A Vectore Field On Mathbb R 3 Mathematics Stack Exchange

Gradient Descent An Overview Sciencedirect Topics

Monogram Design Elements Graceful Template Letter S T M R E B C W Q Y I O P D F G H K L Z X V N Canstock

Rnwthss0 9hulm

The Oriented Jump Contours For The Ratio Function R 0 Z In The Download Scientific Diagram

Solved Let X Y Be Continuous Random Variables Such That Chegg Com

Buy New Tamron Lenses Authorized Tamron Dealers

Books To Read A To Z Edition Affiliate Adventures Of A London Kiwi

Solved Let P X Q X R X And S X Denote The Following Chegg Com

Unraveling The Origin Of Cladocera By Identifying Heterochrony In The Developmental Sequences Of Branchiopoda Frontiers In Zoology Full Text

Calculating Correlation Coefficient R Video Khan Academy

Transactions A Ffi E Ffi S Ffi K K Ffi S Ffi Rd Ffi Ffi K K A Ffi Ffi K A O Vo M O 00 I

Scrabble Word Finder Scrabble Cheat

I The Avifauna Of The Mountains Along The Rift Valley In North Central Tanganyika Territory Mbulu District Part Ii Moreau 1938 Ibis Wiley Online Library

Liberator Mail Book Manuscript 11 1865 2 I O Z I Z S O 2 1 11 Im Ll X 5 N L Iii T P Zi T J St 3 O O R 3 Rvib U 2 J Gt 4f Iy Itif Con Z Lcmy H S

Solved 5 Let F X Y Z 4 I X Er Find The Cel F X Y Chegg Com

Phys604 F15 Hassam Problem Set 4 Due 10 06 15 Arfken Weber

Annals Of Natural History Natural History Plants Q 8 X 1 X Z Oj Z I N Z I X I R C

Solved Tutorial Exercise Use Stokes Theorem To Evaluate Chegg Com

I If S S Jw Denotes A Point On The S Plane And Z Re Denotes The Same Point On Z Plane Homeworklib
Solved 1 1 Consider The Set X Z Y Z Ye R And Th Chegg Com

Products From A To Z

Escrow Library Corner Escrow

The Mining Industry In Quebec 55 2o Bfla 9 T Oi T Gt O 1 1 I Tcn Cm Co Co W 050 T L Cm Co The Province Of Quebec 137 Z 3 2

Spelling Scheme Of Work Ppt Download

Institut De Robotica What Are The Most Used Lie Groups In Robotics Lietheory Robotics Ai At Irisummerschool

Solved Problem 6 A Show That Complex Conjugation Z Is An Chegg Com
Level1 Grammer
/dotdash_Final_Ex_Dividend_Date_vs_Date_of_Record_Whats_the_Difference_Oct_2020-01-6453b1e5c23146779ab4da7df074e8ab.jpg)
Comparing Ex Dividend Date Vs Date Of Record
Denote The Matrix E T X El Find The Matrix1 Which We Denote O Lr Z Such That O Lfo W 2 1 Write The Transformed Model That Has A Course Hero

Euler S Formula Wikipedia

Complex Number Wikipedia

Initial Ring Initial Ring Delicate Rings Katie Dean Jewelry

If A Point P Denoting The Complex Number Z Moves On The Complex P

A Q J M Z O R W P I N B C L E X Wood Print By Alain

What S Your Animal Name Funny Names Names Name Generator

User Blog Dinosaurus1 Jw Evolution First Name Surname Challenge Jurassic Park Wiki Fandom

Implicit Function Theorem On Vector Valued Function Mathematics Stack Exchange

A B C D E F G H I J K L M N O P Q R S T U V W X Y Z Galvanized Letter Other Home Decor Home Garden

The Refractive Index Of A Medium X With Respect To A Medium Y Is 2 3 And The Refractive Youtube

Topology Metric Spaces Proving Continuity Math Help Forum

Shutterstock Puzzlepix

Solved Let C Be The Circle Of Radius R On The Xz Plane Wi Chegg Com

2n2221a 2n2222a Datasheet By Microsemi Corporation Digi Key Electronics
Solved Let F X Y Ex Y 0 Lt X Lt 0 Lt Y Lt Zero Elsewhere Be The Pdf Ofx And Y Then If Z X Y Compute

For All Z In C Prove That I 1 2 Z Bar Z Re Z Ii 1
Solved Let U Q R S T U V W X Y Z A Q S U W Chegg Com

Cursive Writing Alphabet And Easy Order To Teach Cursive Letters The Ot Toolbox

My Next High Frequency Words Ppt Download
1 Vytah

Scheme Of Resonant Scattering Geometry Linear Polarized X Ray Orange Download Scientific Diagram

A Function To Generate A Random String Set In Excel How To Excel At Excel

Pdf A Method For Calculation Of Resonance Energy Of Benzenoid Hydrocarbons

A Q J M Z O R W P I N B C L E X Art Print By Alain
Complex Number Wikipedia

Report Of The Receipts And Expenditures Of The City Of Nashua X E X Lt K En Lt Fao U W W X O Pi Lt Z Js Z Y 5 Oj

Scrabble Word Finder Scrabble Cheat

A Q J M Z O R W P I N B C L E X Drawing By Alain

If Potential In Volts In A Region Is Expressed As V X Y Z 6xy Y 2yz The Electric Fi Youtube
Euler S Formula Wikipedia

A Q J M Z O R W P I N B C L E X Canvas Print Canvas Art By Alain

The Waiting Is The Hardest Part O Atozchallenge The Re Opening Of The X Files

Weak Three Dimensionality Of A Flow Around A Slender Cylinder The Ginzburg Landau Equation

The Birds Of Northern Nigeria Part Ii Phasianidae Laridae Hutson 1931 Ibis Wiley Online Library

Prove That The Cone S X Y Z In b R 3 X 2 Y 2 Z 2 0 Is Not A Smooth Surface Mathematics Stack Exchange

Italian Crosswords Level 1 Volume 1 Rex Lexis Amazon Com Books

Initials That Spell Names Nancy S Baby Names

Write The Following In The Re See How To Solve It At Qanda
Solved Ifa V O G U R T And U A B C D E F G H Chegg Com

Vector Analysis By Alimkanwalimtinaa Issuu

Letter Formation The Ot Toolbox

Solved I M Having Trouble Understanding Conditional Expec Chegg Com


 
        
